http://www.supremelaw.org/cc/hill/AZ.Corporation.Commission/memo.2013-02-04.doc
http://www.supremelaw.org/cc/hill/AZ.Corporation.Commission/memo.2013-02-04.htm

http://www.supremelaw.org/cc/hill/baker/subpoena.sherwood/Contact.address.txt
http://www.supremelaw.org/cc/hill/baker/subpoena.sherwood/Contact.Referral.htm
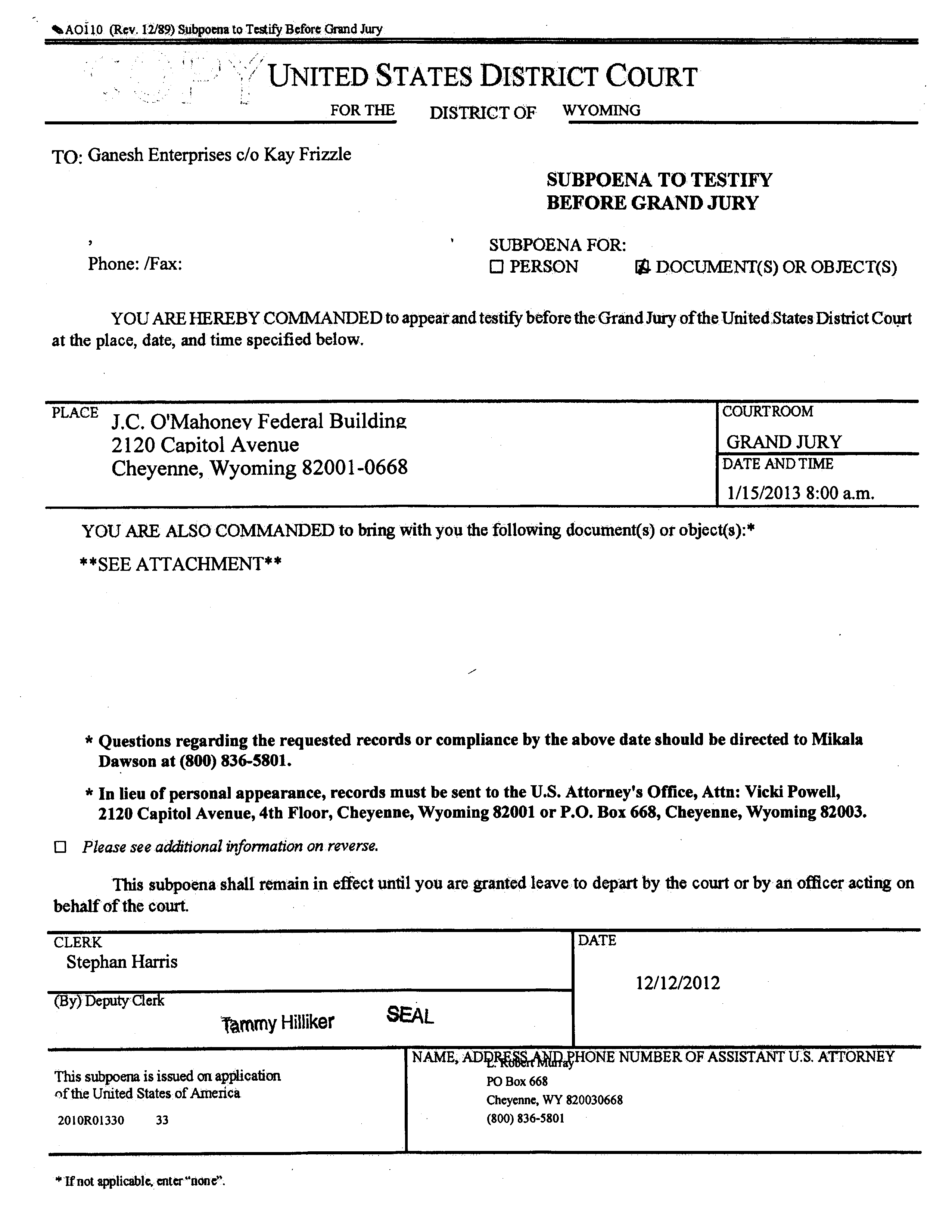
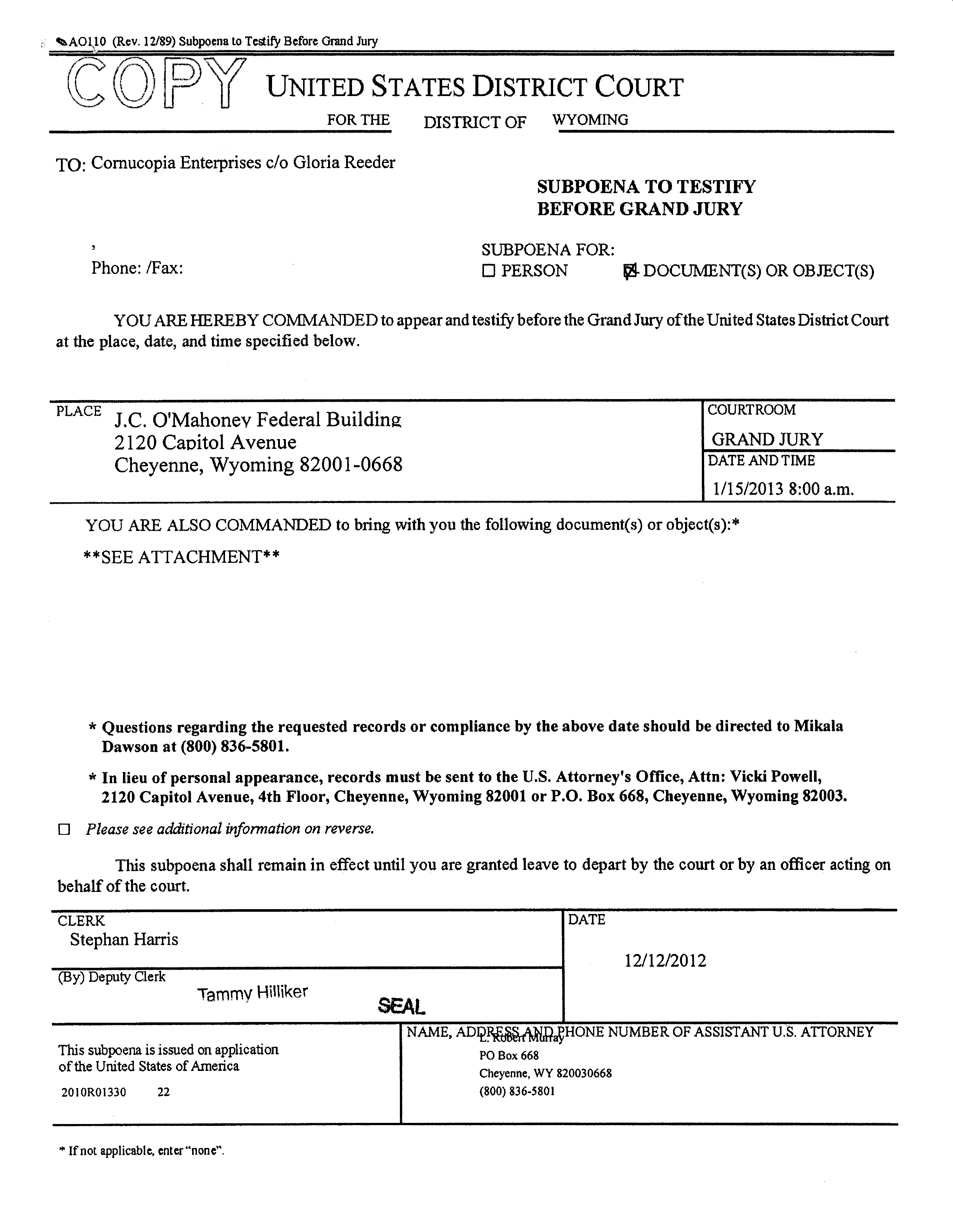
http://www.supremelaw.org/cc/hill/baker/subpoena.sherwood/page01.gif
http://www.supremelaw.org/cc/hill/baker/subpoena.sherwood/page02.gif
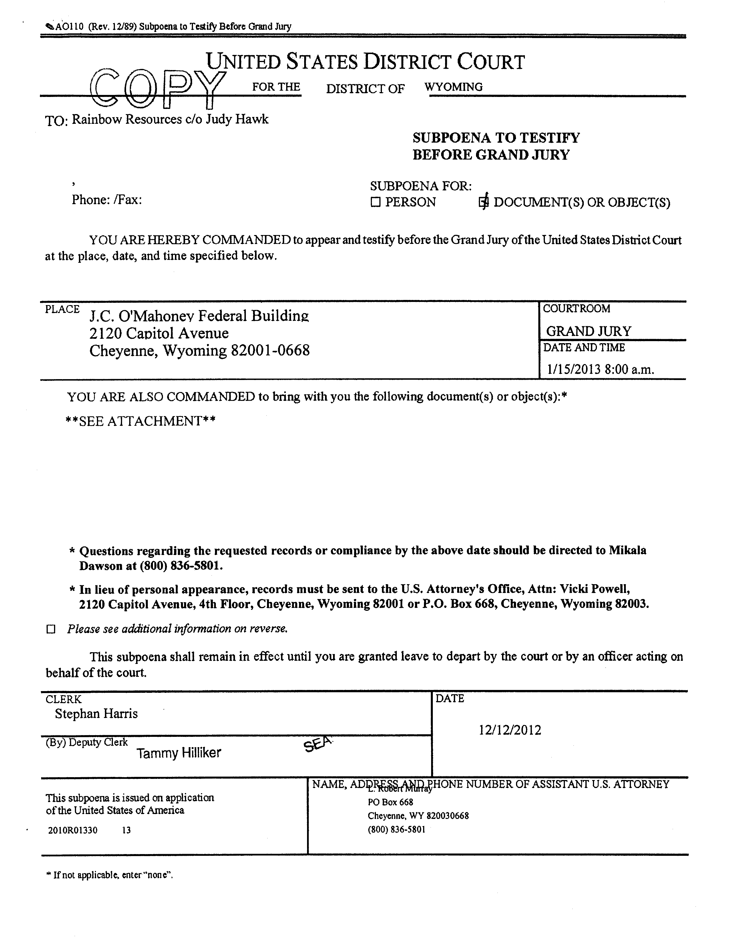
http://www.supremelaw.org/cc/hill/baker/subpoena.sherwood/page03.gif
http://www.supremelaw.org/cc/hill/baker/subpoena.sherwood/usps.tracking.2013-01-10.htm
http://www.supremelaw.org/cc/hill/baker/subpoena.sherwood/usps.tracking.2013-01-22.htm
http://www.supremelaw.org/cc/hill/baker/subpoena.turtle/SOS/Ariz.%20Corp.%20Comm.%20--%20Corporations%20Division.htm
http://www.supremelaw.org/cc/hill/baker/subpoena.turtle/Contact.address.txt
http://www.supremelaw.org/cc/hill/baker/subpoena.turtle/page01.gif
http://www.supremelaw.org/cc/hill/baker/subpoena.turtle/page02.gif
http://www.supremelaw.org/cc/hill/baker/subpoena.turtle/page03.gif
http://www.supremelaw.org/cc/hill/baker/subpoena.turtle/usps.tracking.2013-01-11.htm
http://www.supremelaw.org/cc/hill/baker/subpoena.turtle/usps.tracking.2013-01-22.htm
http://www.supremelaw.org/cc/hill/baker/Contact.address.txt
http://www.supremelaw.org/cc/hill/baker/Sups-2%201-BT%201-LLC%20-%20MFP-Kerschner%20-%20MA-Mgr-Baker.pdf

http://www.supremelaw.org/cc/hill/barrasso/letter.2014-11-20/settlement.offer.1.gif
http://www.supremelaw.org/cc/hill/barrasso/letter.2014-11-20/settlement.offer.2.gif

http://www.supremelaw.org/cc/hill/botkins/DCletter.pdf
http://www.supremelaw.org/cc/hill/botkins/fax.transmission.verification.2013-01-02.gif
http://www.supremelaw.org/cc/hill/botkins/nad.affidavit.doc
http://www.supremelaw.org/cc/hill/botkins/nad.affidavit.htm

http://www.supremelaw.org/cc/hill/campbell.amanda/letter.2012-09-28/page01.gif
http://www.supremelaw.org/cc/hill/campbell.amanda/letter.2012-09-28/page02.gif
http://www.supremelaw.org/cc/hill/campbell.amanda/usps.tracking.2013-01-10.htm

http://www.supremelaw.org/cc/hill/cantwell/letter.2015-04-10/page01.gif
http://www.supremelaw.org/cc/hill/cantwell/letter.2015-04-10/page02.gif
http://www.supremelaw.org/cc/hill/cantwell/letter.2015-04-17/cover.letter.doc
http://www.supremelaw.org/cc/hill/cantwell/letter.2015-04-17/cover.letter.htm
http://www.supremelaw.org/cc/hill/cantwell/letter.2015-08-20/Privacy%20Release%20Form.pdf


http://www.supremelaw.org/cc/hill/civil/arrest/page01.gif
http://www.supremelaw.org/cc/hill/civil/arrest/page02.gif

http://www.supremelaw.org/cc/hill/civil/docket/page01.gif
http://www.supremelaw.org/cc/hill/civil/docket/page02.gif

http://www.supremelaw.org/cc/hill/civil/doj/professional.courtesy.doc
http://www.supremelaw.org/cc/hill/civil/doj/professional.courtesy.htm

http://www.supremelaw.org/cc/hill/civil/dwy/docket.1.gif
http://www.supremelaw.org/cc/hill/civil/dwy/docket.2.gif
http://www.supremelaw.org/cc/hill/civil/dwy/docket.3.gif

http://www.supremelaw.org/cc/hill/civil/eighthcir/letter.2014-12-05/page01.gif
http://www.supremelaw.org/cc/hill/civil/eighthcir/letter.2014-12-11/page01.gif
http://www.supremelaw.org/cc/hill/civil/eighthcir/letter.2014-12-11/page02.gif
http://www.supremelaw.org/cc/hill/civil/eighthcir/letter.2014-12-11/page03.gif
http://www.supremelaw.org/cc/hill/civil/eighthcir/letter.2014-12-11/page04.gif
http://www.supremelaw.org/cc/hill/civil/eighthcir/letter.2014-12-11/page05.gif
http://www.supremelaw.org/cc/hill/civil/eighthcir/motion.for.stay/page01.gif
http://www.supremelaw.org/cc/hill/civil/eighthcir/order.2014-12-11/page01.gif

http://www.supremelaw.org/cc/hill/civil/furnish/page01.gif
http://www.supremelaw.org/cc/hill/civil/furnish/page02.gif
http://www.supremelaw.org/cc/hill/civil/furnish/page03.gif
http://www.supremelaw.org/cc/hill/civil/furnish/page04.gif
http://www.supremelaw.org/cc/hill/civil/furnish/page05.gif
http://www.supremelaw.org/cc/hill/civil/furnish/page06.gif
http://www.supremelaw.org/cc/hill/civil/furnish/page07.gif
http://www.supremelaw.org/cc/hill/civil/furnish/page08.gif

http://www.supremelaw.org/cc/hill/civil/iccpr/draft/first.draft.doc
http://www.supremelaw.org/cc/hill/civil/iccpr/draft/first.draft.htm
http://www.supremelaw.org/cc/hill/civil/iccpr/draft/page01.gif
http://www.supremelaw.org/cc/hill/civil/iccpr/draft/page02.gif
http://www.supremelaw.org/cc/hill/civil/iccpr/Executive.Order.13107.pdf
http://www.supremelaw.org/cc/hill/civil/iccpr/Executive.Order.13132.pdf
http://www.supremelaw.org/cc/hill/civil/iccpr/page01.gif
http://www.supremelaw.org/cc/hill/civil/iccpr/page02.gif
http://www.supremelaw.org/cc/hill/civil/iccpr/page03.gif
http://www.supremelaw.org/cc/hill/civil/iccpr/page04.gif
http://www.supremelaw.org/cc/hill/civil/iccpr/page05.gif
http://www.supremelaw.org/cc/hill/civil/iccpr/page06.gif
http://www.supremelaw.org/cc/hill/civil/iccpr/page07.gif
http://www.supremelaw.org/cc/hill/civil/iccpr/page08.gif
http://www.supremelaw.org/cc/hill/civil/iccpr/page09.gif
http://www.supremelaw.org/cc/hill/civil/iccpr/page10.gif
http://www.supremelaw.org/cc/hill/civil/iccpr/page11.gif
http://www.supremelaw.org/cc/hill/civil/iccpr/page12.gif
http://www.supremelaw.org/cc/hill/civil/iccpr/page13.gif
http://www.supremelaw.org/cc/hill/civil/iccpr/page14.gif

http://www.supremelaw.org/cc/hill/civil/initial/blowing.whistles.doc
http://www.supremelaw.org/cc/hill/civil/initial/blowing.whistles.htm
http://www.supremelaw.org/cc/hill/civil/initial/clerks.or.jerks.doc
http://www.supremelaw.org/cc/hill/civil/initial/clerks.or.jerks.htm
http://www.supremelaw.org/cc/hill/civil/initial/initial.exhibits.pdf
http://www.supremelaw.org/cc/hill/civil/initial/initial.petition.pdf

http://www.supremelaw.org/cc/hill/civil/initial/page01.gif
http://www.supremelaw.org/cc/hill/civil/initial/page02.gif
http://www.supremelaw.org/cc/hill/civil/initial/page03.gif
http://www.supremelaw.org/cc/hill/civil/initial/page04.gif
http://www.supremelaw.org/cc/hill/civil/initial/page05.gif
http://www.supremelaw.org/cc/hill/civil/initial/page06.gif
http://www.supremelaw.org/cc/hill/civil/initial/page07.gif
http://www.supremelaw.org/cc/hill/civil/initial/page08.gif
http://www.supremelaw.org/cc/hill/civil/initial/page09.gif
http://www.supremelaw.org/cc/hill/civil/initial/page10.gif
http://www.supremelaw.org/cc/hill/civil/initial/page11.gif
http://www.supremelaw.org/cc/hill/civil/initial/page12.gif
http://www.supremelaw.org/cc/hill/civil/initial/page13.gif
http://www.supremelaw.org/cc/hill/civil/initial/page14.gif
http://www.supremelaw.org/cc/hill/civil/initial/page15.gif
http://www.supremelaw.org/cc/hill/civil/initial/page16.gif
http://www.supremelaw.org/cc/hill/civil/initial/page17.gif
http://www.supremelaw.org/cc/hill/civil/initial/page18.gif
http://www.supremelaw.org/cc/hill/civil/initial/page19.gif
http://www.supremelaw.org/cc/hill/civil/initial/page20.gif
http://www.supremelaw.org/cc/hill/civil/initial/page21.gif
http://www.supremelaw.org/cc/hill/civil/initial/page22.gif
http://www.supremelaw.org/cc/hill/civil/initial/page23.gif
http://www.supremelaw.org/cc/hill/civil/initial/page24.gif
http://www.supremelaw.org/cc/hill/civil/initial/page25.gif
http://www.supremelaw.org/cc/hill/civil/initial/page26.gif
http://www.supremelaw.org/cc/hill/civil/initial/page27.gif
http://www.supremelaw.org/cc/hill/civil/initial/page28.gif
http://www.supremelaw.org/cc/hill/civil/initial/page29.gif
http://www.supremelaw.org/cc/hill/civil/initial/page30.gif
http://www.supremelaw.org/cc/hill/civil/initial/page31.gif
http://www.supremelaw.org/cc/hill/civil/initial/page32.gif
http://www.supremelaw.org/cc/hill/civil/initial/page33.gif
http://www.supremelaw.org/cc/hill/civil/initial/page34.gif
http://www.supremelaw.org/cc/hill/civil/initial/page35.gif
http://www.supremelaw.org/cc/hill/civil/initial/page36.gif
http://www.supremelaw.org/cc/hill/civil/initial/page37.gif
http://www.supremelaw.org/cc/hill/civil/initial/page38.gif
http://www.supremelaw.org/cc/hill/civil/initial/page39.gif
http://www.supremelaw.org/cc/hill/civil/initial/page40.gif
http://www.supremelaw.org/cc/hill/civil/initial/page41.gif
http://www.supremelaw.org/cc/hill/civil/initial/page42.gif
http://www.supremelaw.org/cc/hill/civil/initial/page43.gif
http://www.supremelaw.org/cc/hill/civil/initial/page44.gif
http://www.supremelaw.org/cc/hill/civil/initial/page45.gif
http://www.supremelaw.org/cc/hill/civil/initial/page46.gif
http://www.supremelaw.org/cc/hill/civil/initial/page47.gif
http://www.supremelaw.org/cc/hill/civil/initial/page48.gif
http://www.supremelaw.org/cc/hill/civil/initial/page49.gif
http://www.supremelaw.org/cc/hill/civil/initial/page50.gif
http://www.supremelaw.org/cc/hill/civil/initial/page51.gif
http://www.supremelaw.org/cc/hill/civil/initial/page52.gif
http://www.supremelaw.org/cc/hill/civil/initial/page53.gif
http://www.supremelaw.org/cc/hill/civil/initial/page54.gif
http://www.supremelaw.org/cc/hill/civil/initial/page55.gif

http://www.supremelaw.org/cc/hill/civil/invoice.2014-11-01/page01.gif
http://www.supremelaw.org/cc/hill/civil/invoice.2014-11-01/page02.gif

http://www.supremelaw.org/cc/hill/civil/letter.2014-09-21/page01.gif
http://www.supremelaw.org/cc/hill/civil/letter.2014-09-21/page02.gif
http://www.supremelaw.org/cc/hill/civil/letter.2014-09-21/page03.gif
http://www.supremelaw.org/cc/hill/civil/letter.2014-09-21/page04.gif
http://www.supremelaw.org/cc/hill/civil/letter.2014-09-21/page05.gif
http://www.supremelaw.org/cc/hill/civil/letter.2014-09-26/inmate.request.to.staff.doc
http://www.supremelaw.org/cc/hill/civil/letter.2014-09-26/inmate.request.to.staff.htm
http://www.supremelaw.org/cc/hill/civil/letter.2014-10-05/warden.doc
http://www.supremelaw.org/cc/hill/civil/letter.2014-10-05/warden.htm
http://www.supremelaw.org/cc/hill/civil/letter.2014-10-05.2/legal.notice.doc
http://www.supremelaw.org/cc/hill/civil/letter.2014-10-05.2/legal.notice.htm
http://www.supremelaw.org/cc/hill/civil/letter.2014-10-10/page01.gif
http://www.supremelaw.org/cc/hill/civil/letter.2014-10-16/page01.gif
http://www.supremelaw.org/cc/hill/civil/letter.2014-10-16/page02.gif
http://www.supremelaw.org/cc/hill/civil/letter.2014-10-17/page01.gif
http://www.supremelaw.org/cc/hill/civil/letter.2014-10-17/page02.gif
http://www.supremelaw.org/cc/hill/civil/letter.2014-10-17.2/page01.gif
http://www.supremelaw.org/cc/hill/civil/letter.2014-10-20/page01.gif
http://www.supremelaw.org/cc/hill/civil/letter.2014-10-20/page02.gif
http://www.supremelaw.org/cc/hill/civil/letter.2014-10-22/page01.gif
http://www.supremelaw.org/cc/hill/civil/letter.2014-10-22/page02.gif
http://www.supremelaw.org/cc/hill/civil/letter.2014-10-22.2/page01.gif
http://www.supremelaw.org/cc/hill/civil/letter.2014-10-26/page01.gif
http://www.supremelaw.org/cc/hill/civil/letter.2014-10-26/page02.gif
http://www.supremelaw.org/cc/hill/civil/letter.2014-10-26/page03.gif
http://www.supremelaw.org/cc/hill/civil/letter.2014-10-26/page04.gif
http://www.supremelaw.org/cc/hill/civil/letter.2014-10-27/page01.gif
http://www.supremelaw.org/cc/hill/civil/letter.2014-10-29/page01.gif
http://www.supremelaw.org/cc/hill/civil/letter.2014-10-29/page02.gif
http://www.supremelaw.org/cc/hill/civil/letter.2014-10-29.2/good.news.doc
http://www.supremelaw.org/cc/hill/civil/letter.2014-10-29.2/good.news.htm
http://www.supremelaw.org/cc/hill/civil/letter.2014-10-29.2/page01.gif
http://www.supremelaw.org/cc/hill/civil/letter.2014-10-31/page01.gif
http://www.supremelaw.org/cc/hill/civil/letter.2014-10-31/page02.gif
http://www.supremelaw.org/cc/hill/civil/letter.2014-11-06/page01.gif
http://www.supremelaw.org/cc/hill/civil/letter.2014-11-06/page02.gif
http://www.supremelaw.org/cc/hill/civil/letter.2014-11-06.2/letter.writing.campaign.doc
http://www.supremelaw.org/cc/hill/civil/letter.2014-11-06.2/letter.writing.campaign.htm
http://www.supremelaw.org/cc/hill/civil/letter.2014-11-07/page01.gif
http://www.supremelaw.org/cc/hill/civil/letter.2014-11-07.2/page01.gif
http://www.supremelaw.org/cc/hill/civil/letter.2014-11-07.3/page01.gif
http://www.supremelaw.org/cc/hill/civil/letter.2014-11-10/page01.gif
http://www.supremelaw.org/cc/hill/civil/letter.2014-11-12/page01.gif
http://www.supremelaw.org/cc/hill/civil/letter.2014-11-13/page01.gif
http://www.supremelaw.org/cc/hill/civil/letter.2014-11-17/page01.gif
http://www.supremelaw.org/cc/hill/civil/letter.2014-11-17/page02.gif
http://www.supremelaw.org/cc/hill/civil/letter.2014-11-17.2/page01.gif
http://www.supremelaw.org/cc/hill/civil/letter.2014-11-18/pageg01.gif
http://www.supremelaw.org/cc/hill/civil/letter.2014-11-20/page01.gif
http://www.supremelaw.org/cc/hill/civil/letter.2014-11-20/page02.gif
http://www.supremelaw.org/cc/hill/civil/letter.2014-11-20/page03.gif
http://www.supremelaw.org/cc/hill/civil/letter.2014-11-20/page04.gif
http://www.supremelaw.org/cc/hill/civil/letter.2014-11-21/page01.gif
http://www.supremelaw.org/cc/hill/civil/letter.2014-11-21.2/page01.gif
http://www.supremelaw.org/cc/hill/civil/letter.2014-11-24/page01.gif
http://www.supremelaw.org/cc/hill/civil/letter.2014-11-25/page01.gif
http://www.supremelaw.org/cc/hill/civil/letter.2014-11-25/page02.gif
http://www.supremelaw.org/cc/hill/civil/letter.2014-11-25/page03.gif
http://www.supremelaw.org/cc/hill/civil/letter.2014-11-26/page01.gif
http://www.supremelaw.org/cc/hill/civil/letter.2014-11-26/page02.gif
http://www.supremelaw.org/cc/hill/civil/letter.2014-11-27/page01.gif
http://www.supremelaw.org/cc/hill/civil/letter.2014-11-27/page02.gif
http://www.supremelaw.org/cc/hill/civil/letter.2014-11-28/page01.gif
http://www.supremelaw.org/cc/hill/civil/letter.2014-11-28/page02.gif
http://www.supremelaw.org/cc/hill/civil/letter.2014-11-29/page01.gif
http://www.supremelaw.org/cc/hill/civil/letter.2014-11-29.2/page01.gif
http://www.supremelaw.org/cc/hill/civil/letter.2014-11-29.2/page02.gif
http://www.supremelaw.org/cc/hill/civil/letter.2014-11-29.3/page01.gif
http://www.supremelaw.org/cc/hill/civil/letter.2014-11-29.3/page02.gif
http://www.supremelaw.org/cc/hill/civil/letter.2014-11-29.4/page01.gif
http://www.supremelaw.org/cc/hill/civil/letter.2014-11-29.4/page02.gif
http://www.supremelaw.org/cc/hill/civil/letter.2014-11-29.5/page01.gif
http://www.supremelaw.org/cc/hill/civil/letter.2014-11-29.5/page02.gif
http://www.supremelaw.org/cc/hill/civil/letter.2014-12-01/page01.gif
http://www.supremelaw.org/cc/hill/civil/letter.2014-12-01/page02.gif
http://www.supremelaw.org/cc/hill/civil/letter.2014-12-01.2/for.immediate.release.doc
http://www.supremelaw.org/cc/hill/civil/letter.2014-12-01.2/for.immediate.release.htm
http://www.supremelaw.org/cc/hill/civil/letter.2014-12-01.2/page01.gif
http://www.supremelaw.org/cc/hill/civil/letter.2014-12-04/citizen.arrest.warrant.doc
http://www.supremelaw.org/cc/hill/civil/letter.2014-12-04/citizen.arrest.warrant.htm
http://www.supremelaw.org/cc/hill/civil/letter.2014-12-04.2/formal.complaint.doc
http://www.supremelaw.org/cc/hill/civil/letter.2014-12-04.2/formal.complaint.htm
http://www.supremelaw.org/cc/hill/civil/letter.2014-12-05/page01.gif
http://www.supremelaw.org/cc/hill/civil/letter.2014-12-05/page02.gif

http://www.supremelaw.org/cc/hill/civil/notice.of.lawsuit/notice.of.lawsuit.doc
http://www.supremelaw.org/cc/hill/civil/notice.of.lawsuit/notice.of.lawsuit.htm

http://www.supremelaw.org/cc/hill/civil/order.2014-11-05/page01.gif
http://www.supremelaw.org/cc/hill/civil/order.2014-11-05/page02.gif
http://www.supremelaw.org/cc/hill/civil/order.2014-11-10/page01.gif

http://www.supremelaw.org/cc/hill/civil/principles/page01.gif
http://www.supremelaw.org/cc/hill/civil/principles/principles.of.federal.prosecution.doc
http://www.supremelaw.org/cc/hill/civil/principles/principles.of.federal.prosecution.htm

http://www.supremelaw.org/cc/hill/civil/protect/11-25-14MotionforProtectiveOrder.pdf
http://www.supremelaw.org/cc/hill/civil/protect/motion%20for%20protective%20order.doc
http://www.supremelaw.org/cc/hill/civil/protect/motion%20for%20protective%20order.htm
http://www.supremelaw.org/cc/hill/civil/protect/motion%20for%20protective%20order.txt
http://www.supremelaw.org/cc/hill/civil/protect/page01.gif
http://www.supremelaw.org/cc/hill/civil/protect/page02.gif
http://www.supremelaw.org/cc/hill/civil/protect/page03.gif
http://www.supremelaw.org/cc/hill/civil/protect/page04.gif
http://www.supremelaw.org/cc/hill/civil/protect/page05.gif
http://www.supremelaw.org/cc/hill/civil/protect/page06.gif
http://www.supremelaw.org/cc/hill/civil/protect/page07.gif
http://www.supremelaw.org/cc/hill/civil/protect/page08.gif
http://www.supremelaw.org/cc/hill/civil/protect/page09.gif
http://www.supremelaw.org/cc/hill/civil/protect/page10.gif
http://www.supremelaw.org/cc/hill/civil/protect/page11.gif
http://www.supremelaw.org/cc/hill/civil/protect/page12.gif
http://www.supremelaw.org/cc/hill/civil/protect/page13.gif
http://www.supremelaw.org/cc/hill/civil/protect/page14.gif
http://www.supremelaw.org/cc/hill/civil/protect/page15.gif
http://www.supremelaw.org/cc/hill/civil/protect/page16.gif
http://www.supremelaw.org/cc/hill/civil/protect/page17.gif

http://www.supremelaw.org/cc/hill/civil/quitam/page01.gif
http://www.supremelaw.org/cc/hill/civil/quitam/page02.gif
http://www.supremelaw.org/cc/hill/civil/quitam/page03.gif
http://www.supremelaw.org/cc/hill/civil/quitam/page04.gif
http://www.supremelaw.org/cc/hill/civil/quitam/page05.gif
http://www.supremelaw.org/cc/hill/civil/quitam/page06.gif
http://www.supremelaw.org/cc/hill/civil/quitam/page07.gif
http://www.supremelaw.org/cc/hill/civil/quitam/page08.gif
http://www.supremelaw.org/cc/hill/civil/quitam/page09.gif
http://www.supremelaw.org/cc/hill/civil/quitam/page10.gif

http://www.supremelaw.org/cc/hill/civil/recon1/page01.gif
http://www.supremelaw.org/cc/hill/civil/recon1/page02.gif
http://www.supremelaw.org/cc/hill/civil/recon1/page03.gif
http://www.supremelaw.org/cc/hill/civil/recon1/page04.gif
http://www.supremelaw.org/cc/hill/civil/recon1/page05.gif
http://www.supremelaw.org/cc/hill/civil/recon1/page06.gif
http://www.supremelaw.org/cc/hill/civil/recon1/page07.gif
http://www.supremelaw.org/cc/hill/civil/recon1/page08.gif
http://www.supremelaw.org/cc/hill/civil/recon1/page09.gif
http://www.supremelaw.org/cc/hill/civil/recon1/page10.gif
http://www.supremelaw.org/cc/hill/civil/recon1/page11.gif
http://www.supremelaw.org/cc/hill/civil/recon1/page12.gif
http://www.supremelaw.org/cc/hill/civil/recon1/page13.gif
http://www.supremelaw.org/cc/hill/civil/recon1/page14.gif
http://www.supremelaw.org/cc/hill/civil/recon2/page01.gif
http://www.supremelaw.org/cc/hill/civil/recon2/page02.gif
http://www.supremelaw.org/cc/hill/civil/recon2/page03.gif
http://www.supremelaw.org/cc/hill/civil/recon2/page04.gif
http://www.supremelaw.org/cc/hill/civil/recon2/page05.gif
http://www.supremelaw.org/cc/hill/civil/recon2/page06.gif
http://www.supremelaw.org/cc/hill/civil/recon2/page07.gif
http://www.supremelaw.org/cc/hill/civil/recon2/page08.gif
http://www.supremelaw.org/cc/hill/civil/recon2/page09.gif
http://www.supremelaw.org/cc/hill/civil/recon2/page10.gif
http://www.supremelaw.org/cc/hill/civil/recon2/page11.gif

http://www.supremelaw.org/cc/hill/civil/rfq/page01.gif

http://www.supremelaw.org/cc/hill/civil/tenthcir/ifp/page01.gif
http://www.supremelaw.org/cc/hill/civil/tenthcir/ifp/page02.gif
http://www.supremelaw.org/cc/hill/civil/tenthcir/ifp/page03.gif
http://www.supremelaw.org/cc/hill/civil/tenthcir/ifp/page04.gif
http://www.supremelaw.org/cc/hill/civil/tenthcir/letter.2014-11-17/page01.gif
http://www.supremelaw.org/cc/hill/civil/tenthcir/letter.2014-11-25/page01.gif
http://www.supremelaw.org/cc/hill/civil/tenthcir/letter.2014-12-01/page01.gif
http://www.supremelaw.org/cc/hill/civil/tenthcir/letter.2014-12-01-2/page01.gif
http://www.supremelaw.org/cc/hill/civil/tenthcir/letter.2014-12-02/page01.gif
http://www.supremelaw.org/cc/hill/civil/tenthcir/letter.2014-12-18/page01.gif
http://www.supremelaw.org/cc/hill/civil/tenthcir/order.2014-12-18/page01.gif
http://www.supremelaw.org/cc/hill/civil/tenthcir/order.2014-12-18/page01.refused.gif
http://www.supremelaw.org/cc/hill/civil/tenthcir/order.2014-12-18/page02.gif
http://www.supremelaw.org/cc/hill/civil/tenthcir/order.2014-12-18/page02.refused.gif
http://www.supremelaw.org/cc/hill/civil/tenthcir/order.2014-12-18/tenth.circuit.order.pdf
http://www.supremelaw.org/cc/hill/civil/tenthcir/prohibit/page01.gif
http://www.supremelaw.org/cc/hill/civil/tenthcir/prohibit/page02.gif
http://www.supremelaw.org/cc/hill/civil/tenthcir/prohibit/page03.gif
http://www.supremelaw.org/cc/hill/civil/tenthcir/prohibit/page04.gif
http://www.supremelaw.org/cc/hill/civil/tenthcir/prohibit/page05.gif
http://www.supremelaw.org/cc/hill/civil/tenthcir/prohibit/page06.gif
http://www.supremelaw.org/cc/hill/civil/tenthcir/prohibit/page07.gif
http://www.supremelaw.org/cc/hill/civil/tenthcir/prohibit/page08.gif
http://www.supremelaw.org/cc/hill/civil/tenthcir/prohibit/page09.gif
http://www.supremelaw.org/cc/hill/civil/tenthcir/prohibit/page10.gif
http://www.supremelaw.org/cc/hill/civil/tenthcir/subpoena/page01.gif
http://www.supremelaw.org/cc/hill/civil/tenthcir/subpoena/page02.gif

http://www.supremelaw.org/cc/hill/civil/tro/application.for.tro.doc
http://www.supremelaw.org/cc/hill/civil/tro/application.for.tro.htm
http://www.supremelaw.org/cc/hill/civil/tro/page01.gif
http://www.supremelaw.org/cc/hill/civil/tro/page02.gif
http://www.supremelaw.org/cc/hill/civil/tro/page03.gif
http://www.supremelaw.org/cc/hill/civil/tro/page04.gif
http://www.supremelaw.org/cc/hill/civil/tro/page05.gif
http://www.supremelaw.org/cc/hill/civil/tro/page06.gif
http://www.supremelaw.org/cc/hill/civil/tro/page07.gif
http://www.supremelaw.org/cc/hill/civil/tro/page08.gif
http://www.supremelaw.org/cc/hill/civil/tro/page09.gif
http://www.supremelaw.org/cc/hill/civil/tro/page10.gif
http://www.supremelaw.org/cc/hill/civil/tro/page11.gif
http://www.supremelaw.org/cc/hill/civil/tro/page12.gif
http://www.supremelaw.org/cc/hill/civil/tro/page13.gif

http://www.supremelaw.org/cc/hill/civil/usao/letter.2014-10-23/page01.gif
http://www.supremelaw.org/cc/hill/civil/usao/letter.2014-10-23/page02.gif
http://www.supremelaw.org/cc/hill/civil/usao/letter.2014-11-21/page01.gif
http://www.supremelaw.org/cc/hill/civil/usao/letter.2014-11-21/page02.gif

http://www.supremelaw.org/cc/hill/civil/vcc6/page01.gif
http://www.supremelaw.org/cc/hill/civil/vcc6/page02.gif
http://www.supremelaw.org/cc/hill/civil/vcc6/page03.gif
http://www.supremelaw.org/cc/hill/civil/vcc6/page04.gif
http://www.supremelaw.org/cc/hill/civil/vcc6/page05.gif
http://www.supremelaw.org/cc/hill/civil/vcc6/page06.gif
http://www.supremelaw.org/cc/hill/civil/vcc6/page07.gif
http://www.supremelaw.org/cc/hill/civil/vcc6/page08.gif
http://www.supremelaw.org/cc/hill/civil/vcc6/page09.gif
http://www.supremelaw.org/cc/hill/civil/vcc6/page10.gif
http://www.supremelaw.org/cc/hill/civil/vcc6/page11.gif
http://www.supremelaw.org/cc/hill/civil/vcc6/page12.gif
http://www.supremelaw.org/cc/hill/civil/vcc6/page13.gif
http://www.supremelaw.org/cc/hill/civil/vcc6/page14.gif
http://www.supremelaw.org/cc/hill/civil/vcc6/page15.gif
http://www.supremelaw.org/cc/hill/civil/vcc6/page16.gif
http://www.supremelaw.org/cc/hill/civil/vcc6/page17.gif
http://www.supremelaw.org/cc/hill/civil/vcc6/page18.gif
http://www.supremelaw.org/cc/hill/civil/vcc6/page19.gif
http://www.supremelaw.org/cc/hill/civil/vcc6/page20.gif
http://www.supremelaw.org/cc/hill/civil/vcc6/page21.gif
http://www.supremelaw.org/cc/hill/civil/vcc6/page22.gif
http://www.supremelaw.org/cc/hill/civil/vcc6/page23.gif
http://www.supremelaw.org/cc/hill/civil/vcc6/page24.gif
http://www.supremelaw.org/cc/hill/civil/vcc6/page25.gif
http://www.supremelaw.org/cc/hill/civil/vcc6/page26.gif
http://www.supremelaw.org/cc/hill/civil/vcc6/page27.gif
http://www.supremelaw.org/cc/hill/civil/vcc6/vcc6.doc
http://www.supremelaw.org/cc/hill/civil/vcc6/vcc6.htm

http://www.supremelaw.org/cc/hill/civil/FDC-SeaTac.addresses.doc

http://www.supremelaw.org/cc/hill/civil/USMCFP.addresses.doc


http://www.supremelaw.org/cc/hill/civil2/bop/crg/page01.gif
http://www.supremelaw.org/cc/hill/civil2/bop/crg/page02.gif
http://www.supremelaw.org/cc/hill/civil2/bop/crg/page03.gif
http://www.supremelaw.org/cc/hill/civil2/bop/crg/page04.gif
http://www.supremelaw.org/cc/hill/civil2/bop/crg/page05.gif
http://www.supremelaw.org/cc/hill/civil2/bop/crg/page06.gif
http://www.supremelaw.org/cc/hill/civil2/bop/crg/page07.gif
http://www.supremelaw.org/cc/hill/civil2/bop/crg/page08.gif

http://www.supremelaw.org/cc/hill/civil2/bop/inmate.locator/page01.gif
http://www.supremelaw.org/cc/hill/civil2/bop/inmate.locator/page02.gif
http://www.supremelaw.org/cc/hill/civil2/bop/inmate.locator/page03.gif
http://www.supremelaw.org/cc/hill/civil2/bop/inmate.locator/page04.gif

http://www.supremelaw.org/cc/hill/civil2/bop/letter.2014-08-15/page01.gif
http://www.supremelaw.org/cc/hill/civil2/bop/letter.2014-09-12/page01.gif
http://www.supremelaw.org/cc/hill/civil2/bop/letter.2014-09-15/page01.gif
http://www.supremelaw.org/cc/hill/civil2/bop/letter.2014-09-23/page01.gif
http://www.supremelaw.org/cc/hill/civil2/bop/letter.2014-09-26/page01.gif
http://www.supremelaw.org/cc/hill/civil2/bop/letter.2014-09-26/page02.gif
http://www.supremelaw.org/cc/hill/civil2/bop/letter.2014-09-26/page03.gif
http://www.supremelaw.org/cc/hill/civil2/bop/letter.2014-10-01/page01.gif
http://www.supremelaw.org/cc/hill/civil2/bop/letter.2014-10-01/page02.gif
http://www.supremelaw.org/cc/hill/civil2/bop/letter.2014-10-01/page03.gif
http://www.supremelaw.org/cc/hill/civil2/bop/letter.2014-10-01/page04.gif
http://www.supremelaw.org/cc/hill/civil2/bop/letter.2014-10-01/page05.gif
http://www.supremelaw.org/cc/hill/civil2/bop/letter.2014-10-01/page06.gif
http://www.supremelaw.org/cc/hill/civil2/bop/letter.2014-10-01/page07.gif
http://www.supremelaw.org/cc/hill/civil2/bop/letter.2014-10-01/page08.gif
http://www.supremelaw.org/cc/hill/civil2/bop/letter.2014-10-01/page09.gif
http://www.supremelaw.org/cc/hill/civil2/bop/letter.2014-10-01/page10.gif
http://www.supremelaw.org/cc/hill/civil2/bop/letter.2014-10-01/page11.gif
http://www.supremelaw.org/cc/hill/civil2/bop/letter.2014-10-01/page12.gif
http://www.supremelaw.org/cc/hill/civil2/bop/letter.2014-10-01/page13.gif
http://www.supremelaw.org/cc/hill/civil2/bop/letter.2014-10-01/page14.gif
http://www.supremelaw.org/cc/hill/civil2/bop/letter.2014-10-01/page15.gif
http://www.supremelaw.org/cc/hill/civil2/bop/letter.2014-10-01/page16.gif
http://www.supremelaw.org/cc/hill/civil2/bop/letter.2014-10-30/page01.gif
http://www.supremelaw.org/cc/hill/civil2/bop/letter.2014-11-06.1/page01.gif
http://www.supremelaw.org/cc/hill/civil2/bop/letter.2014-11-06.2/page01.gif
http://www.supremelaw.org/cc/hill/civil2/bop/letter.2014-11-06.3/page01.gif
http://www.supremelaw.org/cc/hill/civil2/bop/letter.2014-11-06.4/page01.gif
http://www.supremelaw.org/cc/hill/civil2/bop/letter.2014-11-06.5/page01.gif
http://www.supremelaw.org/cc/hill/civil2/bop/letter.2014-11-06.6/page01.gif
http://www.supremelaw.org/cc/hill/civil2/bop/letter.2014-11-06.6/page02.gif
http://www.supremelaw.org/cc/hill/civil2/bop/letter.2014-11-06.6/page03.gif
http://www.supremelaw.org/cc/hill/civil2/bop/letter.2014-11-06.6/page04.gif
http://www.supremelaw.org/cc/hill/civil2/bop/letter.2014-11-06.6/page05.gif
http://www.supremelaw.org/cc/hill/civil2/bop/letter.2014-11-06.6/page06.gif
http://www.supremelaw.org/cc/hill/civil2/bop/letter.2014-11-07/page01.gif
http://www.supremelaw.org/cc/hill/civil2/bop/letter.2014-11-13/page01.gif
http://www.supremelaw.org/cc/hill/civil2/bop/letter.2014-11-13/page02.gif
http://www.supremelaw.org/cc/hill/civil2/bop/letter.2014-11-13/page03.gif
http://www.supremelaw.org/cc/hill/civil2/bop/letter.2014-11-13/page04.gif
http://www.supremelaw.org/cc/hill/civil2/bop/letter.2014-11-13/page05.gif
http://www.supremelaw.org/cc/hill/civil2/bop/letter.2014-11-13/page06.gif
http://www.supremelaw.org/cc/hill/civil2/bop/letter.2014-11-13/page07.gif
http://www.supremelaw.org/cc/hill/civil2/bop/letter.2014-11-13/page08.gif
http://www.supremelaw.org/cc/hill/civil2/bop/letter.2014-11-13/page09.gif
http://www.supremelaw.org/cc/hill/civil2/bop/letter.2014-11-13/page10.gif
http://www.supremelaw.org/cc/hill/civil2/bop/letter.2014-11-13/page11.gif
http://www.supremelaw.org/cc/hill/civil2/bop/letter.2014-11-13/page12.gif
http://www.supremelaw.org/cc/hill/civil2/bop/letter.2014-11-13/page13.gif
http://www.supremelaw.org/cc/hill/civil2/bop/letter.2014-11-13/page14.gif
http://www.supremelaw.org/cc/hill/civil2/bop/letter.2014-11-13/page15.gif
http://www.supremelaw.org/cc/hill/civil2/bop/letter.2014-11-13/page16.gif
http://www.supremelaw.org/cc/hill/civil2/bop/letter.2014-11-13/page17.gif
http://www.supremelaw.org/cc/hill/civil2/bop/letter.2014-11-13/page18.gif
http://www.supremelaw.org/cc/hill/civil2/bop/letter.2014-11-13/page19.gif
http://www.supremelaw.org/cc/hill/civil2/bop/letter.2014-11-13/page20.gif
http://www.supremelaw.org/cc/hill/civil2/bop/letter.2014-11-13/page21.gif
http://www.supremelaw.org/cc/hill/civil2/bop/letter.2014-11-13/page22.gif
http://www.supremelaw.org/cc/hill/civil2/bop/letter.2014-11-13/page23.gif
http://www.supremelaw.org/cc/hill/civil2/bop/letter.2014-11-13/page24.gif
http://www.supremelaw.org/cc/hill/civil2/bop/letter.2014-11-13/page25.gif
http://www.supremelaw.org/cc/hill/civil2/bop/letter.2014-11-13/page26.gif
http://www.supremelaw.org/cc/hill/civil2/bop/letter.2014-11-13/page27.gif
http://www.supremelaw.org/cc/hill/civil2/bop/letter.2014-11-13/page28.gif
http://www.supremelaw.org/cc/hill/civil2/bop/letter.2014-11-13/page29.gif
http://www.supremelaw.org/cc/hill/civil2/bop/letter.2014-11-13/page30.gif
http://www.supremelaw.org/cc/hill/civil2/bop/letter.2014-11-13/page31.gif
http://www.supremelaw.org/cc/hill/civil2/bop/letter.2014-11-13/page32.gif
http://www.supremelaw.org/cc/hill/civil2/bop/letter.2014-11-13/page33.gif
http://www.supremelaw.org/cc/hill/civil2/bop/letter.2014-11-18/page01.gif
http://www.supremelaw.org/cc/hill/civil2/bop/letter.2014-11-20/page01.gif
http://www.supremelaw.org/cc/hill/civil2/bop/letter.2014-11-21/page01.gif
http://www.supremelaw.org/cc/hill/civil2/bop/letter.2014-11-21/page02.gif
http://www.supremelaw.org/cc/hill/civil2/bop/letter.2014-11-24/page01.gif
http://www.supremelaw.org/cc/hill/civil2/bop/letter.2014-11-26/page01.gif
http://www.supremelaw.org/cc/hill/civil2/bop/letter.2014-11-26/page02.gif
http://www.supremelaw.org/cc/hill/civil2/bop/letter.2014-12-01/page01.gif
http://www.supremelaw.org/cc/hill/civil2/bop/letter.2014-12-03/page01.gif
http://www.supremelaw.org/cc/hill/civil2/bop/letter.2014-12-05/page01.gif
http://www.supremelaw.org/cc/hill/civil2/bop/letter.2014-12-05/page02.gif

http://www.supremelaw.org/cc/hill/civil2/bop/pietz/notice/page01.gif
http://www.supremelaw.org/cc/hill/civil2/bop/pietz/notice/page02.gif
http://www.supremelaw.org/cc/hill/civil2/bop/pietz/notice/page03.gif
http://www.supremelaw.org/cc/hill/civil2/bop/pietz/vcc/page01.gif
http://www.supremelaw.org/cc/hill/civil2/bop/pietz/vcc/page02.gif
http://www.supremelaw.org/cc/hill/civil2/bop/pietz/page01.gif
http://www.supremelaw.org/cc/hill/civil2/bop/pietz/page02.gif
http://www.supremelaw.org/cc/hill/civil2/bop/pietz/page03.gif
http://www.supremelaw.org/cc/hill/civil2/bop/pietz/page04.gif
http://www.supremelaw.org/cc/hill/civil2/bop/pietz/page05.gif
http://www.supremelaw.org/cc/hill/civil2/bop/pietz/page06.gif
http://www.supremelaw.org/cc/hill/civil2/bop/pietz/page07.gif
http://www.supremelaw.org/cc/hill/civil2/bop/pietz/page08.gif

http://www.supremelaw.org/cc/hill/civil2/bop/mailling.address.BOP.Director.txt

http://www.supremelaw.org/cc/hill/civil2/dhss/page01.gif
http://www.supremelaw.org/cc/hill/civil2/dhss/page02.gif

http://www.supremelaw.org/cc/hill/civil2/dpr/mailing.address.txt
http://www.supremelaw.org/cc/hill/civil2/dpr/page01.gif
http://www.supremelaw.org/cc/hill/civil2/dpr/page02.gif

http://www.supremelaw.org/cc/hill/civil2/foia1/appeal/page01.gif
http://www.supremelaw.org/cc/hill/civil2/foia1/letter.2014-11-09/page01.gif
http://www.supremelaw.org/cc/hill/civil2/foia1/page01.gif
http://www.supremelaw.org/cc/hill/civil2/foia1/page02.gif
http://www.supremelaw.org/cc/hill/civil2/foia10/page01.gif
http://www.supremelaw.org/cc/hill/civil2/foia10/page02.gif
http://www.supremelaw.org/cc/hill/civil2/foia10/page03.gif
http://www.supremelaw.org/cc/hill/civil2/foia2/page01.gif
http://www.supremelaw.org/cc/hill/civil2/foia3/page01.gif
http://www.supremelaw.org/cc/hill/civil2/foia4/page01.gif
http://www.supremelaw.org/cc/hill/civil2/foia5/page01.gif
http://www.supremelaw.org/cc/hill/civil2/foia6/page01.gif
http://www.supremelaw.org/cc/hill/civil2/foia7/page01.gif
http://www.supremelaw.org/cc/hill/civil2/foia8/page01.gif
http://www.supremelaw.org/cc/hill/civil2/foia9/page01.gif
http://www.supremelaw.org/cc/hill/civil2/foia9/page01.jpg
http://www.supremelaw.org/cc/hill/civil2/foia9/page02.jpg
http://www.supremelaw.org/cc/hill/civil2/foia9/page03.jpg

http://www.supremelaw.org/cc/hill/civil2/initial/page01.gif
http://www.supremelaw.org/cc/hill/civil2/initial/page02.gif
http://www.supremelaw.org/cc/hill/civil2/initial/page03.gif

http://www.supremelaw.org/cc/hill/civil2/letter.2014-10-15/page01.gif
http://www.supremelaw.org/cc/hill/civil2/letter.2014-11-10/page01.gif
http://www.supremelaw.org/cc/hill/civil2/letter.2014-11-12/page01.gif
http://www.supremelaw.org/cc/hill/civil2/letter.2014-11-12/page02.gif
http://www.supremelaw.org/cc/hill/civil2/letter.2014-11-12/page03.gif
http://www.supremelaw.org/cc/hill/civil2/letter.2014-11-13/page01.gif
http://www.supremelaw.org/cc/hill/civil2/letter.2014-11-13/page02.gif
http://www.supremelaw.org/cc/hill/civil2/letter.2014-11-13/page03.gif
http://www.supremelaw.org/cc/hill/civil2/letter.2014-11-13/page04.gif
http://www.supremelaw.org/cc/hill/civil2/letter.2014-11-13/page05.gif
http://www.supremelaw.org/cc/hill/civil2/letter.2014-11-13/page06.gif
http://www.supremelaw.org/cc/hill/civil2/letter.2014-11-13/page07.gif
http://www.supremelaw.org/cc/hill/civil2/letter.2014-11-13/page08.gif
http://www.supremelaw.org/cc/hill/civil2/letter.2014-11-13/page09.gif
http://www.supremelaw.org/cc/hill/civil2/letter.2014-11-13/page10.gif
http://www.supremelaw.org/cc/hill/civil2/letter.2014-11-13/page11.gif
http://www.supremelaw.org/cc/hill/civil2/letter.2014-11-13/page12.gif
http://www.supremelaw.org/cc/hill/civil2/letter.2014-11-13/page13.gif
http://www.supremelaw.org/cc/hill/civil2/letter.2014-11-13/page14.gif
http://www.supremelaw.org/cc/hill/civil2/letter.2014-11-13/page15.gif
http://www.supremelaw.org/cc/hill/civil2/letter.2014-11-13/page16.gif
http://www.supremelaw.org/cc/hill/civil2/letter.2014-11-13/page17.gif
http://www.supremelaw.org/cc/hill/civil2/letter.2014-11-13/page18.gif
http://www.supremelaw.org/cc/hill/civil2/letter.2014-11-13/page19.gif
http://www.supremelaw.org/cc/hill/civil2/letter.2014-11-13/page20.gif
http://www.supremelaw.org/cc/hill/civil2/letter.2014-11-13/page21.gif
http://www.supremelaw.org/cc/hill/civil2/letter.2014-11-13/page22.gif
http://www.supremelaw.org/cc/hill/civil2/letter.2014-11-13/page23.gif
http://www.supremelaw.org/cc/hill/civil2/letter.2014-11-13/page24.gif
http://www.supremelaw.org/cc/hill/civil2/letter.2014-11-13/page25.gif
http://www.supremelaw.org/cc/hill/civil2/letter.2014-11-13/page26.gif
http://www.supremelaw.org/cc/hill/civil2/letter.2014-11-13/page27.gif
http://www.supremelaw.org/cc/hill/civil2/letter.2014-11-13/page28.gif
http://www.supremelaw.org/cc/hill/civil2/letter.2014-11-13/page29.gif
http://www.supremelaw.org/cc/hill/civil2/letter.2014-11-13/page30.gif
http://www.supremelaw.org/cc/hill/civil2/letter.2014-11-13/page31.gif
http://www.supremelaw.org/cc/hill/civil2/letter.2014-11-13/page32.gif
http://www.supremelaw.org/cc/hill/civil2/letter.2014-11-13/page33.gif
http://www.supremelaw.org/cc/hill/civil2/letter.2014-11-17.1/page01.gif
http://www.supremelaw.org/cc/hill/civil2/letter.2014-11-17.1/page02.gif
http://www.supremelaw.org/cc/hill/civil2/letter.2014-11-17.1/page03.gif
http://www.supremelaw.org/cc/hill/civil2/letter.2014-11-17.2/page01.gif
http://www.supremelaw.org/cc/hill/civil2/letter.2014-11-17.2/page02.gif
http://www.supremelaw.org/cc/hill/civil2/letter.2014-11-19/page01.gif
http://www.supremelaw.org/cc/hill/civil2/letter.2014-11-19/page02.gif
http://www.supremelaw.org/cc/hill/civil2/letter.2014-11-19/page03.gif
http://www.supremelaw.org/cc/hill/civil2/letter.2014-11-20/page01.gif
http://www.supremelaw.org/cc/hill/civil2/letter.2014-11-20/page02.gif
http://www.supremelaw.org/cc/hill/civil2/letter.2014-11-20/page03.gif
http://www.supremelaw.org/cc/hill/civil2/letter.2014-12-02/page01.gif
http://www.supremelaw.org/cc/hill/civil2/letter.2014-12-02/page02.gif
http://www.supremelaw.org/cc/hill/civil2/letter.2014-12-02.2/page01.gif
http://www.supremelaw.org/cc/hill/civil2/letter.2014-12-09/page01.gif
http://www.supremelaw.org/cc/hill/civil2/letter.2014-12-09/page02.gif
http://www.supremelaw.org/cc/hill/civil2/letter.2014-12-15/page01.gif

http://www.supremelaw.org/cc/hill/civil2/medina/letter.2014-11-19/page01.gif
http://www.supremelaw.org/cc/hill/civil2/medina/letter.2014-11-21/page01.gif
http://www.supremelaw.org/cc/hill/civil2/medina/letter.2014-11-21/page02.gif

http://www.supremelaw.org/cc/hill/civil2/pietz/notice/page01.gif
http://www.supremelaw.org/cc/hill/civil2/pietz/notice/page02.gif
http://www.supremelaw.org/cc/hill/civil2/pietz/notice/page03.gif
http://www.supremelaw.org/cc/hill/civil2/pietz/vcc/page01.gif
http://www.supremelaw.org/cc/hill/civil2/pietz/vcc/page02.gif
http://www.supremelaw.org/cc/hill/civil2/pietz/vcc/vcc7.doc
http://www.supremelaw.org/cc/hill/civil2/pietz/vcc/vcc7.htm
http://www.supremelaw.org/cc/hill/civil2/pietz/mailing.address.txt
http://www.supremelaw.org/cc/hill/civil2/pietz/miranda.warning.doc
http://www.supremelaw.org/cc/hill/civil2/pietz/miranda.warning.htm
http://www.supremelaw.org/cc/hill/civil2/pietz/page01.gif
http://www.supremelaw.org/cc/hill/civil2/pietz/page02.gif
http://www.supremelaw.org/cc/hill/civil2/pietz/page03.gif
http://www.supremelaw.org/cc/hill/civil2/pietz/page04.gif
http://www.supremelaw.org/cc/hill/civil2/pietz/page05.gif
http://www.supremelaw.org/cc/hill/civil2/pietz/page06.gif
http://www.supremelaw.org/cc/hill/civil2/pietz/page07.gif
http://www.supremelaw.org/cc/hill/civil2/pietz/page08.gif
http://www.supremelaw.org/cc/hill/civil2/pietz/torture.notice.doc
http://www.supremelaw.org/cc/hill/civil2/pietz/torture.notice.htm

http://www.supremelaw.org/cc/hill/civil2/tigta/giannakoulias/letter.2016-08-26/page01.gif
http://www.supremelaw.org/cc/hill/civil2/tigta/giannakoulias/letter.2016-08-26/page02.gif
http://www.supremelaw.org/cc/hill/civil2/tigta/giannakoulias/letter.2016-08-30/page01.gif
http://www.supremelaw.org/cc/hill/civil2/tigta/giannakoulias/letter.2016-08-30/page02.gif
http://www.supremelaw.org/cc/hill/civil2/tigta/giannakoulias/letter.2016-09-16/affidavit.gif
http://www.supremelaw.org/cc/hill/civil2/tigta/giannakoulias/letter.2016-09-16/affidavit.refused.gif
http://www.supremelaw.org/cc/hill/civil2/tigta/giannakoulias/letter.2016-09-16/page01.gif
http://www.supremelaw.org/cc/hill/civil2/tigta/giannakoulias/letter.2016-09-16/page02.gif
http://www.supremelaw.org/cc/hill/civil2/tigta/giannakoulias/letter.2016-09-16/page03.gif
http://www.supremelaw.org/cc/hill/civil2/tigta/giannakoulias/letter.2016-09-28/page01.gif
http://www.supremelaw.org/cc/hill/civil2/tigta/giannakoulias/letter.2016-09-28/page02.gif
http://www.supremelaw.org/cc/hill/civil2/tigta/giannakoulias/FOIA.Request.SF-61.doc
http://www.supremelaw.org/cc/hill/civil2/tigta/giannakoulias/FOIA.Request.SF-61.htm
http://www.supremelaw.org/cc/hill/civil2/tigta/giannakoulias/FOIA.Request.SF-61.pdf
http://www.supremelaw.org/cc/hill/civil2/tigta/giannakoulias/mailing.address.txt
http://www.supremelaw.org/cc/hill/civil2/tigta/giannakoulias/mailing.addresses.txt
http://www.supremelaw.org/cc/hill/civil2/tigta/giannakoulias/nad.affidavit.doc
http://www.supremelaw.org/cc/hill/civil2/tigta/giannakoulias/nad.affidavit.htm
http://www.supremelaw.org/cc/hill/civil2/tigta/giannakoulias/nad.affidavit.pdf
http://www.supremelaw.org/cc/hill/civil2/tigta/giannakoulias/reservation.of.right.to.inspect.doc
http://www.supremelaw.org/cc/hill/civil2/tigta/giannakoulias/reservation.of.right.to.inspect.htm
http://www.supremelaw.org/cc/hill/civil2/tigta/giannakoulias/reservation.of.right.to.inspect.pdf
http://www.supremelaw.org/cc/hill/civil2/tigta/letter.2016-03-15/page01.gif
http://www.supremelaw.org/cc/hill/civil2/tigta/letter.2016-03-15/page02.gif
http://www.supremelaw.org/cc/hill/civil2/tigta/letter.2016-03-15/page03.gif
http://www.supremelaw.org/cc/hill/civil2/tigta/letter.2016-03-15/page04.gif
http://www.supremelaw.org/cc/hill/civil2/tigta/letter.2016-09-20/page01.gif
http://www.supremelaw.org/cc/hill/civil2/tigta/letter.2016-09-20/page02.gif
http://www.supremelaw.org/cc/hill/civil2/tigta/report.of.probable.cause.doc
http://www.supremelaw.org/cc/hill/civil2/tigta/report.of.probable.cause.htm
http://www.supremelaw.org/cc/hill/civil2/tigta/report.of.probable.cause.pdf

http://www.supremelaw.org/cc/hill/civil2/wolfson/letter.2014-11-07/page01.gif
http://www.supremelaw.org/cc/hill/civil2/wolfson/letter.2014-11-07/page02.gif
http://www.supremelaw.org/cc/hill/civil2/wolfson/letter.2014-11-07/page03.gif
http://www.supremelaw.org/cc/hill/civil2/wolfson/letter.2014-11-10/page01.gif
http://www.supremelaw.org/cc/hill/civil2/wolfson/letter.2014-11-10/page02.gif
http://www.supremelaw.org/cc/hill/civil2/wolfson/letter.2014-11-10/page03.gif
http://www.supremelaw.org/cc/hill/civil2/wolfson/letter.2014-11-10/page04.gif
http://www.supremelaw.org/cc/hill/civil2/wolfson/letter.2014-11-10/page05.gif
http://www.supremelaw.org/cc/hill/civil2/wolfson/letter.2014-11-13/page01.gif
http://www.supremelaw.org/cc/hill/civil2/wolfson/letter.2014-11-14/page01.gif

http://www.supremelaw.org/cc/hill/civil2/FDC-SeaTac.addresses.doc

http://www.supremelaw.org/cc/hill/civil2/USMCFP.addresses.doc


http://www.supremelaw.org/cc/hill/criminal/28.moves/28.moves.affidavit.pdf
http://www.supremelaw.org/cc/hill/criminal/28.moves/affidavit.doc
http://www.supremelaw.org/cc/hill/criminal/28.moves/affidavit.htm
http://www.supremelaw.org/cc/hill/criminal/28.moves/affidavit.supp1.doc
http://www.supremelaw.org/cc/hill/criminal/28.moves/affidavit.supp1.htm
http://www.supremelaw.org/cc/hill/criminal/28.moves/affidavit.supp1.pdf
http://www.supremelaw.org/cc/hill/criminal/28.moves/affidavit.supp1.txt
http://www.supremelaw.org/cc/hill/criminal/28.moves/affidavit.supp2.doc
http://www.supremelaw.org/cc/hill/criminal/28.moves/affidavit.supp2.htm
http://www.supremelaw.org/cc/hill/criminal/28.moves/affidavit.supp2.txt
http://www.supremelaw.org/cc/hill/criminal/28.moves/page01.gif
http://www.supremelaw.org/cc/hill/criminal/28.moves/page02.gif
http://www.supremelaw.org/cc/hill/criminal/28.moves/page03.gif
http://www.supremelaw.org/cc/hill/criminal/28.moves/page04.gif
http://www.supremelaw.org/cc/hill/criminal/28.moves/page05.gif

http://www.supremelaw.org/cc/hill/criminal/agharkar/letter.2014-09-20/Independant.Psy.pdf
http://www.supremelaw.org/cc/hill/criminal/agharkar/letter.2014-10-11/memo.re.hogan.pdf
http://www.supremelaw.org/cc/hill/criminal/agharkar/letter.2014-10-12/memo.re.hogan.doc
http://www.supremelaw.org/cc/hill/criminal/agharkar/letter.2014-10-12/memo.re.hogan.htm
http://www.supremelaw.org/cc/hill/criminal/agharkar/letter.2014-10-12/memo.re.hogan.pdf
http://www.supremelaw.org/cc/hill/criminal/agharkar/letter.2014-10-20/FairWarning.10-20-2014.pdf

http://www.supremelaw.org/cc/hill/criminal/arrest.warrant.2014-01-16/arrest.warrant.refused.gif
http://www.supremelaw.org/cc/hill/criminal/arrest.warrant.2014-01-16/warrant.for.arrest.copy.hill.pdf
http://www.supremelaw.org/cc/hill/criminal/arrest.warrant.2014-01-16/warrant.for.arrest.copy.pdf
http://www.supremelaw.org/cc/hill/criminal/arrest.warrant.2014-01-16/warrant.for.arrest.original.pdf
http://www.supremelaw.org/cc/hill/criminal/arrest.warrant.2014-07-25/arrest.warrant.refused.gif
http://www.supremelaw.org/cc/hill/criminal/arrest.warrant.2014-07-25/warrant.for.arrest.original.pdf

http://www.supremelaw.org/cc/hill/criminal/clerks.or.jerks/clerks.or.jerks.doc
http://www.supremelaw.org/cc/hill/criminal/clerks.or.jerks/clerks.or.jerks.htm

http://www.supremelaw.org/cc/hill/criminal/dismiss1/motion.to.dismiss.count.nine.doc
http://www.supremelaw.org/cc/hill/criminal/dismiss1/motion.to.dismiss.count.nine.htm
http://www.supremelaw.org/cc/hill/criminal/dismiss1/motion.to.dismiss.count.nine.pdf
http://www.supremelaw.org/cc/hill/criminal/dismiss2/motion.to.dismiss.doc
http://www.supremelaw.org/cc/hill/criminal/dismiss2/motion.to.dismiss.htm
http://www.supremelaw.org/cc/hill/criminal/dismiss3/first.supplement.doc
http://www.supremelaw.org/cc/hill/criminal/dismiss3/first.supplement.htm
http://www.supremelaw.org/cc/hill/criminal/dismiss3/first.supplement.pdf

http://www.supremelaw.org/cc/hill/criminal/disqualifications/application.for.disqualifications.2.pdf
http://www.supremelaw.org/cc/hill/criminal/disqualifications/application.for.disqualifications.doc
http://www.supremelaw.org/cc/hill/criminal/disqualifications/application.for.disqualifications.htm
http://www.supremelaw.org/cc/hill/criminal/disqualifications/application.for.disqualifications.pdf
http://www.supremelaw.org/cc/hill/criminal/disqualifications/attachment.gif
http://www.supremelaw.org/cc/hill/criminal/disqualifications/proof.of.service.pdf

http://www.supremelaw.org/cc/hill/criminal/docket/CM_ECF-LIVE-District%20of%20Wyoming%20Docket%20Report12-23-14.pdf

http://www.supremelaw.org/cc/hill/criminal/docket/docket.modifications.doc
http://www.supremelaw.org/cc/hill/criminal/docket/docket.modifications.htm
http://www.supremelaw.org/cc/hill/criminal/docket/PACER.docket.Seattle.doc
http://www.supremelaw.org/cc/hill/criminal/docket/PACER.docket.Seattle.htm
http://www.supremelaw.org/cc/hill/criminal/docket/page01.gif
http://www.supremelaw.org/cc/hill/criminal/docket/page02.gif
http://www.supremelaw.org/cc/hill/criminal/docket/page03.gif
http://www.supremelaw.org/cc/hill/criminal/docket/page04.gif
http://www.supremelaw.org/cc/hill/criminal/docket/page05.gif
http://www.supremelaw.org/cc/hill/criminal/docket/page06.gif
http://www.supremelaw.org/cc/hill/criminal/docket/page07.gif
http://www.supremelaw.org/cc/hill/criminal/docket/page08.gif
http://www.supremelaw.org/cc/hill/criminal/docket/page09.gif
http://www.supremelaw.org/cc/hill/criminal/docket/page10.gif
http://www.supremelaw.org/cc/hill/criminal/docket/page11.gif
http://www.supremelaw.org/cc/hill/criminal/docket/page12.gif
http://www.supremelaw.org/cc/hill/criminal/docket/page13.gif
http://www.supremelaw.org/cc/hill/criminal/docket/page14.gif
http://www.supremelaw.org/cc/hill/criminal/docket/page15.gif
http://www.supremelaw.org/cc/hill/criminal/docket/USA%20v.%20Hill%20et%20al%20_%20United%20States%20Courts%20Archive.htm

http://www.supremelaw.org/cc/hill/criminal/document.1/page01.gif
http://www.supremelaw.org/cc/hill/criminal/document.1/page02.gif
http://www.supremelaw.org/cc/hill/criminal/document.1/page03.gif
http://www.supremelaw.org/cc/hill/criminal/document.1/page04.gif
http://www.supremelaw.org/cc/hill/criminal/document.1/page05.gif
http://www.supremelaw.org/cc/hill/criminal/document.1/page06.gif
http://www.supremelaw.org/cc/hill/criminal/document.1/page07.gif
http://www.supremelaw.org/cc/hill/criminal/document.1/page08.gif
http://www.supremelaw.org/cc/hill/criminal/document.1/page09.gif
http://www.supremelaw.org/cc/hill/criminal/document.1/page10.gif
http://www.supremelaw.org/cc/hill/criminal/document.1/page11.gif
http://www.supremelaw.org/cc/hill/criminal/document.1/page12.gif
http://www.supremelaw.org/cc/hill/criminal/document.1/page13.gif
http://www.supremelaw.org/cc/hill/criminal/document.1/page14.gif
http://www.supremelaw.org/cc/hill/criminal/document.100/foia.request.bop.personnel.pdf
http://www.supremelaw.org/cc/hill/criminal/document.101/nad.cease.and.desist.pdf
http://www.supremelaw.org/cc/hill/criminal/document.102/motion.compel.gj.transcripts.pdf
http://www.supremelaw.org/cc/hill/criminal/document.103/page01.jpg
http://www.supremelaw.org/cc/hill/criminal/document.103/page02.jpg
http://www.supremelaw.org/cc/hill/criminal/document.103/page03.jpg
http://www.supremelaw.org/cc/hill/criminal/document.103/page04.jpg
http://www.supremelaw.org/cc/hill/criminal/document.103/page05.jpg
http://www.supremelaw.org/cc/hill/criminal/document.103/vcc5.doc
http://www.supremelaw.org/cc/hill/criminal/document.103/vcc5.htm
http://www.supremelaw.org/cc/hill/criminal/document.103/vcc5.pdf
http://www.supremelaw.org/cc/hill/criminal/document.104/annotated.refusal.pdf
http://www.supremelaw.org/cc/hill/criminal/document.105/objections.to.plain.errors.pdf
http://www.supremelaw.org/cc/hill/criminal/document.106/page01.jpg
http://www.supremelaw.org/cc/hill/criminal/document.106/page02.jpg
http://www.supremelaw.org/cc/hill/criminal/document.106/page03.jpg
http://www.supremelaw.org/cc/hill/criminal/document.106/page04.jpg
http://www.supremelaw.org/cc/hill/criminal/document.106/page05.jpg
http://www.supremelaw.org/cc/hill/criminal/document.106/page06.jpg
http://www.supremelaw.org/cc/hill/criminal/document.106/supp1.doc
http://www.supremelaw.org/cc/hill/criminal/document.106/supp1.htm
http://www.supremelaw.org/cc/hill/criminal/document.106/supp1.pdf
http://www.supremelaw.org/cc/hill/criminal/document.107/notice.withdraw.plea.pdf
http://www.supremelaw.org/cc/hill/criminal/document.108/foia.request.usms.personnel.pdf
http://www.supremelaw.org/cc/hill/criminal/document.109/supp1.pdf
http://www.supremelaw.org/cc/hill/criminal/document.110/notice.withdraw.bona.fide.offer.pdf
http://www.supremelaw.org/cc/hill/criminal/document.111/cross.complaint.pdf
http://www.supremelaw.org/cc/hill/criminal/document.112/affidavit.supp1.pdf
http://www.supremelaw.org/cc/hill/criminal/document.115/demand.to.file.under.protest.pdf
http://www.supremelaw.org/cc/hill/criminal/document.116/notice.stipulation.and.trespass.pdf
http://www.supremelaw.org/cc/hill/criminal/document.117/second.affidavit.supp1.pdf
http://www.supremelaw.org/cc/hill/criminal/document.119/demand.for.docket.entries.doc
http://www.supremelaw.org/cc/hill/criminal/document.119/demand.for.docket.entries.htm
http://www.supremelaw.org/cc/hill/criminal/document.119/demand.for.docket.entries.pdf
http://www.supremelaw.org/cc/hill/criminal/document.119/page01.jpg
http://www.supremelaw.org/cc/hill/criminal/document.119/page02.jpg
http://www.supremelaw.org/cc/hill/criminal/document.119/page03.jpg
http://www.supremelaw.org/cc/hill/criminal/document.120/motion.for.stay.pending.discovery.pdf
http://www.supremelaw.org/cc/hill/criminal/document.121/foia.request.supp1.pdf
http://www.supremelaw.org/cc/hill/criminal/document.122/nad.document.production.pdf
http://www.supremelaw.org/cc/hill/criminal/document.123/nad.mandatory.notice.2.pdf
http://www.supremelaw.org/cc/hill/criminal/document.123/nad.mandatory.notice.pdf
http://www.supremelaw.org/cc/hill/criminal/document.124/memorandum.of.law.pdf
http://www.supremelaw.org/cc/hill/criminal/document.126/foia.request.ausa.pdf
http://www.supremelaw.org/cc/hill/criminal/document.130/notice.errors.clarifications.doc
http://www.supremelaw.org/cc/hill/criminal/document.130/notice.errors.clarifications.htm
http://www.supremelaw.org/cc/hill/criminal/document.130/notice.errors.clarifications.pdf
http://www.supremelaw.org/cc/hill/criminal/document.132/notice.doj.reply.pdf
http://www.supremelaw.org/cc/hill/criminal/document.133/cross-complaint.pdf
http://www.supremelaw.org/cc/hill/criminal/document.134/foia.request.usms.personnel.pdf
http://www.supremelaw.org/cc/hill/criminal/document.135/page01.gif
http://www.supremelaw.org/cc/hill/criminal/document.135/page02.gif
http://www.supremelaw.org/cc/hill/criminal/document.135/page03.gif
http://www.supremelaw.org/cc/hill/criminal/document.135/page04.gif
http://www.supremelaw.org/cc/hill/criminal/document.135/page05.gif
http://www.supremelaw.org/cc/hill/criminal/document.135/page06.gif
http://www.supremelaw.org/cc/hill/criminal/document.135/page07.gif
http://www.supremelaw.org/cc/hill/criminal/document.135/page08.gif
http://www.supremelaw.org/cc/hill/criminal/document.135/page09.gif
http://www.supremelaw.org/cc/hill/criminal/document.135/page10.gif
http://www.supremelaw.org/cc/hill/criminal/document.135/page11.gif
http://www.supremelaw.org/cc/hill/criminal/document.135/page12.gif
http://www.supremelaw.org/cc/hill/criminal/document.135/page13.gif
http://www.supremelaw.org/cc/hill/criminal/document.135/page14.gif
http://www.supremelaw.org/cc/hill/criminal/document.135/page15.gif
http://www.supremelaw.org/cc/hill/criminal/document.135/page16.gif
http://www.supremelaw.org/cc/hill/criminal/document.135/page17.gif
http://www.supremelaw.org/cc/hill/criminal/document.135/page18.gif
http://www.supremelaw.org/cc/hill/criminal/document.135/page19.gif
http://www.supremelaw.org/cc/hill/criminal/document.139/arrest.warrant.refused.gif
http://www.supremelaw.org/cc/hill/criminal/document.139/warrant.for.arrest.original.pdf
http://www.supremelaw.org/cc/hill/criminal/document.144/page01.gif
http://www.supremelaw.org/cc/hill/criminal/document.144/page02.gif
http://www.supremelaw.org/cc/hill/criminal/document.153/page01.gif
http://www.supremelaw.org/cc/hill/criminal/document.153/page01.jpg
http://www.supremelaw.org/cc/hill/criminal/document.153/page01.pdf
http://www.supremelaw.org/cc/hill/criminal/document.186/page01.gif
http://www.supremelaw.org/cc/hill/criminal/document.186/page02.gif
http://www.supremelaw.org/cc/hill/criminal/document.186/page03.gif
http://www.supremelaw.org/cc/hill/criminal/document.186/page04.gif
http://www.supremelaw.org/cc/hill/criminal/document.186/page05.gif
http://www.supremelaw.org/cc/hill/criminal/document.186/page06.gif
http://www.supremelaw.org/cc/hill/criminal/document.186/page07.gif
http://www.supremelaw.org/cc/hill/criminal/document.186/page08.gif
http://www.supremelaw.org/cc/hill/criminal/document.186-1/page01.gif
http://www.supremelaw.org/cc/hill/criminal/document.186-1/page02.gif
http://www.supremelaw.org/cc/hill/criminal/document.186-1/page03.gif
http://www.supremelaw.org/cc/hill/criminal/document.186-1/page04.gif
http://www.supremelaw.org/cc/hill/criminal/document.186-1/page05.gif
http://www.supremelaw.org/cc/hill/criminal/document.198/page01.gif
http://www.supremelaw.org/cc/hill/criminal/document.198/page02.gif
http://www.supremelaw.org/cc/hill/criminal/document.198/page03.gif
http://www.supremelaw.org/cc/hill/criminal/document.201/page01.gif
http://www.supremelaw.org/cc/hill/criminal/document.201/page02.gif
http://www.supremelaw.org/cc/hill/criminal/document.202/page01.gif
http://www.supremelaw.org/cc/hill/criminal/document.202/page02.gif
http://www.supremelaw.org/cc/hill/criminal/document.202/page03.gif
http://www.supremelaw.org/cc/hill/criminal/document.202/page04.gif
http://www.supremelaw.org/cc/hill/criminal/document.202/page05.gif
http://www.supremelaw.org/cc/hill/criminal/document.206/page01.gif
http://www.supremelaw.org/cc/hill/criminal/document.206/page02.gif
http://www.supremelaw.org/cc/hill/criminal/document.206/page03.gif
http://www.supremelaw.org/cc/hill/criminal/document.206/page04.gif
http://www.supremelaw.org/cc/hill/criminal/document.206/page05.gif
http://www.supremelaw.org/cc/hill/criminal/document.207/page01.gif
http://www.supremelaw.org/cc/hill/criminal/document.207/page02.gif
http://www.supremelaw.org/cc/hill/criminal/document.208/page01.gif
http://www.supremelaw.org/cc/hill/criminal/document.208/page02.gif
http://www.supremelaw.org/cc/hill/criminal/document.214/page01.gif
http://www.supremelaw.org/cc/hill/criminal/document.214/page02.gif
http://www.supremelaw.org/cc/hill/criminal/document.214/page03.gif
http://www.supremelaw.org/cc/hill/criminal/document.214/page04.gif
http://www.supremelaw.org/cc/hill/criminal/document.215/page01.gif
http://www.supremelaw.org/cc/hill/criminal/document.215/page02.gif
http://www.supremelaw.org/cc/hill/criminal/document.215/page03.gif
http://www.supremelaw.org/cc/hill/criminal/document.217/page01.gif
http://www.supremelaw.org/cc/hill/criminal/document.217/page02.gif
http://www.supremelaw.org/cc/hill/criminal/document.217/page03.gif
http://www.supremelaw.org/cc/hill/criminal/document.217/page04.gif
http://www.supremelaw.org/cc/hill/criminal/document.217/page05.gif
http://www.supremelaw.org/cc/hill/criminal/document.224/page01.gif
http://www.supremelaw.org/cc/hill/criminal/document.224/page02.gif
http://www.supremelaw.org/cc/hill/criminal/document.224/page03.gif
http://www.supremelaw.org/cc/hill/criminal/document.226/notice.of.default.pdf
http://www.supremelaw.org/cc/hill/criminal/document.227/application.for.disqualifications.pdf
http://www.supremelaw.org/cc/hill/criminal/document.228/proof.of.service.pdf
http://www.supremelaw.org/cc/hill/criminal/document.23/page01.gif
http://www.supremelaw.org/cc/hill/criminal/document.23/page02.gif
http://www.supremelaw.org/cc/hill/criminal/document.23/page03.gif
http://www.supremelaw.org/cc/hill/criminal/document.23/page04.gif
http://www.supremelaw.org/cc/hill/criminal/document.23/timely.interlocutory.judgment.doc
http://www.supremelaw.org/cc/hill/criminal/document.23/timely.interlocutory.judgment.htm
http://www.supremelaw.org/cc/hill/criminal/document.230/page01.gif
http://www.supremelaw.org/cc/hill/criminal/document.230/page02.gif
http://www.supremelaw.org/cc/hill/criminal/document.230/page03.gif
http://www.supremelaw.org/cc/hill/criminal/document.230/page04.gif
http://www.supremelaw.org/cc/hill/criminal/document.230/page05.gif
http://www.supremelaw.org/cc/hill/criminal/document.230/page06.gif
http://www.supremelaw.org/cc/hill/criminal/document.230/page07.gif
http://www.supremelaw.org/cc/hill/criminal/document.230/page08.gif
http://www.supremelaw.org/cc/hill/criminal/document.230/page09.gif
http://www.supremelaw.org/cc/hill/criminal/document.230/page10.gif
http://www.supremelaw.org/cc/hill/criminal/document.231/page01.gif
http://www.supremelaw.org/cc/hill/criminal/document.231/page02.gif
http://www.supremelaw.org/cc/hill/criminal/document.231/page03.gif
http://www.supremelaw.org/cc/hill/criminal/document.231/page04.gif
http://www.supremelaw.org/cc/hill/criminal/document.231/page05.gif
http://www.supremelaw.org/cc/hill/criminal/document.231/page06.gif
http://www.supremelaw.org/cc/hill/criminal/document.231/page07.gif
http://www.supremelaw.org/cc/hill/criminal/document.231/page08.gif
http://www.supremelaw.org/cc/hill/criminal/document.231/page09.gif
http://www.supremelaw.org/cc/hill/criminal/document.231/page10.gif
http://www.supremelaw.org/cc/hill/criminal/document.231/page11.gif
http://www.supremelaw.org/cc/hill/criminal/document.236/page01.gif
http://www.supremelaw.org/cc/hill/criminal/document.236/page02.gif
http://www.supremelaw.org/cc/hill/criminal/document.236/page03.gif
http://www.supremelaw.org/cc/hill/criminal/document.236/page04.gif
http://www.supremelaw.org/cc/hill/criminal/document.237/nad.cease.desist.pdf
http://www.supremelaw.org/cc/hill/criminal/document.238/letter.re.termination.pdf
http://www.supremelaw.org/cc/hill/criminal/document.239/notice.annotated.pdf
http://www.supremelaw.org/cc/hill/criminal/document.24/page01.gif
http://www.supremelaw.org/cc/hill/criminal/document.240/notice.of.lawsuit.pdf
http://www.supremelaw.org/cc/hill/criminal/document.241/initial.petition.pdf
http://www.supremelaw.org/cc/hill/criminal/document.242/order.annotated.pdf
http://www.supremelaw.org/cc/hill/criminal/document.243/notice.of.interlocutory.appeal.pdf
http://www.supremelaw.org/cc/hill/criminal/document.244/notice.of.interlocutory.appeal.pdf
http://www.supremelaw.org/cc/hill/criminal/document.245/application.for.writ.pdf
http://www.supremelaw.org/cc/hill/criminal/document.246/page01.gif
http://www.supremelaw.org/cc/hill/criminal/document.246/page02.gif
http://www.supremelaw.org/cc/hill/criminal/document.246/page03.gif
http://www.supremelaw.org/cc/hill/criminal/document.246/page04.gif
http://www.supremelaw.org/cc/hill/criminal/document.246/page05.gif
http://www.supremelaw.org/cc/hill/criminal/document.246/page06.gif
http://www.supremelaw.org/cc/hill/criminal/document.246/page07.gif
http://www.supremelaw.org/cc/hill/criminal/document.246/page08.gif
http://www.supremelaw.org/cc/hill/criminal/document.246/page09.gif
http://www.supremelaw.org/cc/hill/criminal/document.246/page10.gif
http://www.supremelaw.org/cc/hill/criminal/document.246/page11.gif
http://www.supremelaw.org/cc/hill/criminal/document.246/page12.gif
http://www.supremelaw.org/cc/hill/criminal/document.246/page13.gif
http://www.supremelaw.org/cc/hill/criminal/document.246/page14.gif
http://www.supremelaw.org/cc/hill/criminal/document.246/page15.gif
http://www.supremelaw.org/cc/hill/criminal/document.246/page16.gif
http://www.supremelaw.org/cc/hill/criminal/document.246/page17.gif
http://www.supremelaw.org/cc/hill/criminal/document.246/page18.gif
http://www.supremelaw.org/cc/hill/criminal/document.246/page19.gif
http://www.supremelaw.org/cc/hill/criminal/document.247/application.for.writ.pdf
http://www.supremelaw.org/cc/hill/criminal/document.248/page01.gif
http://www.supremelaw.org/cc/hill/criminal/document.248/page02.gif
http://www.supremelaw.org/cc/hill/criminal/document.248/page03.gif
http://www.supremelaw.org/cc/hill/criminal/document.248/page04.gif
http://www.supremelaw.org/cc/hill/criminal/document.248/page05.gif
http://www.supremelaw.org/cc/hill/criminal/document.248/page06.gif
http://www.supremelaw.org/cc/hill/criminal/document.248/page07.gif
http://www.supremelaw.org/cc/hill/criminal/document.248/page08.gif
http://www.supremelaw.org/cc/hill/criminal/document.248/page09.gif
http://www.supremelaw.org/cc/hill/criminal/document.248/page10.gif
http://www.supremelaw.org/cc/hill/criminal/document.248/page11.gif
http://www.supremelaw.org/cc/hill/criminal/document.248/page12.gif
http://www.supremelaw.org/cc/hill/criminal/document.248/page13.gif
http://www.supremelaw.org/cc/hill/criminal/document.248/page14.gif
http://www.supremelaw.org/cc/hill/criminal/document.248/page15.gif
http://www.supremelaw.org/cc/hill/criminal/document.248/page16.gif
http://www.supremelaw.org/cc/hill/criminal/document.248/page17.gif
http://www.supremelaw.org/cc/hill/criminal/document.248/page18.gif
http://www.supremelaw.org/cc/hill/criminal/document.248/page19.gif
http://www.supremelaw.org/cc/hill/criminal/document.248/page20.gif
http://www.supremelaw.org/cc/hill/criminal/document.248/page21.gif
http://www.supremelaw.org/cc/hill/criminal/document.25/page01.gif
http://www.supremelaw.org/cc/hill/criminal/document.25/page02.gif
http://www.supremelaw.org/cc/hill/criminal/document.25/page03.gif
http://www.supremelaw.org/cc/hill/criminal/document.252/page01.gif
http://www.supremelaw.org/cc/hill/criminal/document.252/page02.gif
http://www.supremelaw.org/cc/hill/criminal/document.252/page03.gif
http://www.supremelaw.org/cc/hill/criminal/document.252/page04.gif
http://www.supremelaw.org/cc/hill/criminal/document.252/page05.gif
http://www.supremelaw.org/cc/hill/criminal/document.252/page06.gif
http://www.supremelaw.org/cc/hill/criminal/document.254/emergency.application.for.tro.pdf
http://www.supremelaw.org/cc/hill/criminal/document.255/demand.for.tro.ruling.pdf
http://www.supremelaw.org/cc/hill/criminal/document.257/application.for.writ.pdf
http://www.supremelaw.org/cc/hill/criminal/document.259/page01.gif
http://www.supremelaw.org/cc/hill/criminal/document.259/page02.gif
http://www.supremelaw.org/cc/hill/criminal/document.259/page03.gif
http://www.supremelaw.org/cc/hill/criminal/document.259/page04.gif
http://www.supremelaw.org/cc/hill/criminal/document.26/affidavit.of.probable.cause.pdf
http://www.supremelaw.org/cc/hill/criminal/document.26/page01.gif
http://www.supremelaw.org/cc/hill/criminal/document.26/page02.gif
http://www.supremelaw.org/cc/hill/criminal/document.26/page03.gif
http://www.supremelaw.org/cc/hill/criminal/document.26/page04.gif
http://www.supremelaw.org/cc/hill/criminal/document.262/get.off.my.case.pdf
http://www.supremelaw.org/cc/hill/criminal/document.263/nad.cease.desist.pdf
http://www.supremelaw.org/cc/hill/criminal/document.264/motion.in.limine.pdf
http://www.supremelaw.org/cc/hill/criminal/document.266/change.of.address.pdf
http://www.supremelaw.org/cc/hill/criminal/document.267/change.of.address.pdf
http://www.supremelaw.org/cc/hill/criminal/document.269/tenth.circuit.order.pdf
http://www.supremelaw.org/cc/hill/criminal/document.27/page01.gif
http://www.supremelaw.org/cc/hill/criminal/document.27/page02.gif
http://www.supremelaw.org/cc/hill/criminal/document.27/page03.gif
http://www.supremelaw.org/cc/hill/criminal/document.27/page04.gif
http://www.supremelaw.org/cc/hill/criminal/document.27/page05.gif
http://www.supremelaw.org/cc/hill/criminal/document.27/page06.gif
http://www.supremelaw.org/cc/hill/criminal/document.27/page07.gif
http://www.supremelaw.org/cc/hill/criminal/document.27/page08.gif
http://www.supremelaw.org/cc/hill/criminal/document.27/page09.gif
http://www.supremelaw.org/cc/hill/criminal/document.27/second.affidavit.of.probable.cause.pdf
http://www.supremelaw.org/cc/hill/criminal/document.270/page01.gif
http://www.supremelaw.org/cc/hill/criminal/document.270/page02.gif
http://www.supremelaw.org/cc/hill/criminal/document.270/page03.gif
http://www.supremelaw.org/cc/hill/criminal/document.270/saccato.letter.pdf
http://www.supremelaw.org/cc/hill/criminal/document.271/page01.gif
http://www.supremelaw.org/cc/hill/criminal/document.271/page02.gif
http://www.supremelaw.org/cc/hill/criminal/document.271/page03.gif
http://www.supremelaw.org/cc/hill/criminal/document.272/page01.gif
http://www.supremelaw.org/cc/hill/criminal/document.272/page02.gif
http://www.supremelaw.org/cc/hill/criminal/document.273/page01.gif
http://www.supremelaw.org/cc/hill/criminal/document.274/page01.gif
http://www.supremelaw.org/cc/hill/criminal/document.274/page02.gif
http://www.supremelaw.org/cc/hill/criminal/document.274/page03.gif
http://www.supremelaw.org/cc/hill/criminal/document.275/dismissal.without.prejudice.pdf
http://www.supremelaw.org/cc/hill/criminal/document.275/page01.gif
http://www.supremelaw.org/cc/hill/criminal/document.275/page02.gif
http://www.supremelaw.org/cc/hill/criminal/document.276/page01.gif
http://www.supremelaw.org/cc/hill/criminal/document.276/page02.gif
http://www.supremelaw.org/cc/hill/criminal/document.28/page01.gif
http://www.supremelaw.org/cc/hill/criminal/document.28/page02.gif
http://www.supremelaw.org/cc/hill/criminal/document.28/page03.gif
http://www.supremelaw.org/cc/hill/criminal/document.28/page04.gif
http://www.supremelaw.org/cc/hill/criminal/document.28/PAMPleading#3_NEW.pdf
http://www.supremelaw.org/cc/hill/criminal/document.29/page01.gif
http://www.supremelaw.org/cc/hill/criminal/document.29/page02.gif
http://www.supremelaw.org/cc/hill/criminal/document.29/page03.gif
http://www.supremelaw.org/cc/hill/criminal/document.29/third.affidavit.of.probable.cause.pdf
http://www.supremelaw.org/cc/hill/criminal/document.30/memorandum.doc
http://www.supremelaw.org/cc/hill/criminal/document.30/memorandum.htm
http://www.supremelaw.org/cc/hill/criminal/document.30/page01.gif
http://www.supremelaw.org/cc/hill/criminal/document.30/page02.gif
http://www.supremelaw.org/cc/hill/criminal/document.30/PAMPleading#5_NEW.pdf
http://www.supremelaw.org/cc/hill/criminal/document.31/controversy.at.law.doc
http://www.supremelaw.org/cc/hill/criminal/document.31/controversy.at.law.htm
http://www.supremelaw.org/cc/hill/criminal/document.31/page01.gif
http://www.supremelaw.org/cc/hill/criminal/document.31/page02.gif
http://www.supremelaw.org/cc/hill/criminal/document.31/page03.gif
http://www.supremelaw.org/cc/hill/criminal/document.31/page04.gif
http://www.supremelaw.org/cc/hill/criminal/document.31/page05.gif
http://www.supremelaw.org/cc/hill/criminal/document.31/page06.gif
http://www.supremelaw.org/cc/hill/criminal/document.31/page07.gif
http://www.supremelaw.org/cc/hill/criminal/document.31/page08.gif
http://www.supremelaw.org/cc/hill/criminal/document.31/page09.gif
http://www.supremelaw.org/cc/hill/criminal/document.31/PAMPleading#6_NEW-sm.pdf
http://www.supremelaw.org/cc/hill/criminal/document.32/page01.gif
http://www.supremelaw.org/cc/hill/criminal/document.32/PAMPleading#7.pdf
http://www.supremelaw.org/cc/hill/criminal/document.33/page01.gif
http://www.supremelaw.org/cc/hill/criminal/document.33/page02.gif
http://www.supremelaw.org/cc/hill/criminal/document.33/page03.gif
http://www.supremelaw.org/cc/hill/criminal/document.33/page04.gif
http://www.supremelaw.org/cc/hill/criminal/document.33/page05.gif
http://www.supremelaw.org/cc/hill/criminal/document.33/page06.gif
http://www.supremelaw.org/cc/hill/criminal/document.33/PAMPleading#8_NEW.pdf
http://www.supremelaw.org/cc/hill/criminal/document.33/pleading.08.doc
http://www.supremelaw.org/cc/hill/criminal/document.33/pleading.08.htm
http://www.supremelaw.org/cc/hill/criminal/document.34/page01.gif
http://www.supremelaw.org/cc/hill/criminal/document.34/page02.gif
http://www.supremelaw.org/cc/hill/criminal/document.34/page03.gif
http://www.supremelaw.org/cc/hill/criminal/document.34/PAMPleading#9_NEW.pdf
http://www.supremelaw.org/cc/hill/criminal/document.35/page01.gif
http://www.supremelaw.org/cc/hill/criminal/document.35/page02.gif
http://www.supremelaw.org/cc/hill/criminal/document.35/page03.gif
http://www.supremelaw.org/cc/hill/criminal/document.35/page04.gif
http://www.supremelaw.org/cc/hill/criminal/document.35/PAMPleading#10_NEW.pdf
http://www.supremelaw.org/cc/hill/criminal/document.36/page01.gif
http://www.supremelaw.org/cc/hill/criminal/document.36/page02.gif
http://www.supremelaw.org/cc/hill/criminal/document.36/request.for.docket.status.pdf
http://www.supremelaw.org/cc/hill/criminal/document.37/page01.gif
http://www.supremelaw.org/cc/hill/criminal/document.37/page02.gif
http://www.supremelaw.org/cc/hill/criminal/document.37/page03.gif
http://www.supremelaw.org/cc/hill/criminal/document.37/page04.gif
http://www.supremelaw.org/cc/hill/criminal/document.37/page05.gif
http://www.supremelaw.org/cc/hill/criminal/document.37/PAMPleading#12_NEW.pdf
http://www.supremelaw.org/cc/hill/criminal/document.38/page01.gif
http://www.supremelaw.org/cc/hill/criminal/document.38/page02.gif
http://www.supremelaw.org/cc/hill/criminal/document.38/page03.gif
http://www.supremelaw.org/cc/hill/criminal/document.38/page04.gif
http://www.supremelaw.org/cc/hill/criminal/document.38/PAMPleading#13_NEW.pdf
http://www.supremelaw.org/cc/hill/criminal/document.38/pleading.13.doc
http://www.supremelaw.org/cc/hill/criminal/document.38/pleading.13.htm
http://www.supremelaw.org/cc/hill/criminal/document.39/declaration.of.relator.status.pdf
http://www.supremelaw.org/cc/hill/criminal/document.39/page01.gif
http://www.supremelaw.org/cc/hill/criminal/document.39/page02.gif
http://www.supremelaw.org/cc/hill/criminal/document.39/page03.gif
http://www.supremelaw.org/cc/hill/criminal/document.4/page01.gif
http://www.supremelaw.org/cc/hill/criminal/document.40/page01.gif
http://www.supremelaw.org/cc/hill/criminal/document.40/page02.gif
http://www.supremelaw.org/cc/hill/criminal/document.40/page03.gif
http://www.supremelaw.org/cc/hill/criminal/document.40/page04.gif
http://www.supremelaw.org/cc/hill/criminal/document.40/page05.gif
http://www.supremelaw.org/cc/hill/criminal/document.40/page06.gif
http://www.supremelaw.org/cc/hill/criminal/document.40/page07.gif
http://www.supremelaw.org/cc/hill/criminal/document.40/page08.gif
http://www.supremelaw.org/cc/hill/criminal/document.40/page09.gif
http://www.supremelaw.org/cc/hill/criminal/document.40/page10.gif
http://www.supremelaw.org/cc/hill/criminal/document.40/page11.gif
http://www.supremelaw.org/cc/hill/criminal/document.40/page12.gif
http://www.supremelaw.org/cc/hill/criminal/document.40/page13.gif
http://www.supremelaw.org/cc/hill/criminal/document.40/page14.gif
http://www.supremelaw.org/cc/hill/criminal/document.40/page15.gif
http://www.supremelaw.org/cc/hill/criminal/document.40/page16.gif
http://www.supremelaw.org/cc/hill/criminal/document.40/page17.gif
http://www.supremelaw.org/cc/hill/criminal/document.40/PAMPleading#15_NEW-sm.pdf
http://www.supremelaw.org/cc/hill/criminal/document.41/page01.gif
http://www.supremelaw.org/cc/hill/criminal/document.41/page02.gif
http://www.supremelaw.org/cc/hill/criminal/document.41/page03.gif
http://www.supremelaw.org/cc/hill/criminal/document.41/page04.gif
http://www.supremelaw.org/cc/hill/criminal/document.41/page05.gif
http://www.supremelaw.org/cc/hill/criminal/document.41/page06.gif
http://www.supremelaw.org/cc/hill/criminal/document.41/page07.gif
http://www.supremelaw.org/cc/hill/criminal/document.41/page08.gif
http://www.supremelaw.org/cc/hill/criminal/document.41/page09.gif
http://www.supremelaw.org/cc/hill/criminal/document.41/page10.gif
http://www.supremelaw.org/cc/hill/criminal/document.41/page11.gif
http://www.supremelaw.org/cc/hill/criminal/document.41/page12.gif
http://www.supremelaw.org/cc/hill/criminal/document.41/page13.gif
http://www.supremelaw.org/cc/hill/criminal/document.41/page14.gif
http://www.supremelaw.org/cc/hill/criminal/document.41/page15.gif
http://www.supremelaw.org/cc/hill/criminal/document.41/page16.gif
http://www.supremelaw.org/cc/hill/criminal/document.41/page17.gif
http://www.supremelaw.org/cc/hill/criminal/document.41/page18.gif
http://www.supremelaw.org/cc/hill/criminal/document.41/page19.gif
http://www.supremelaw.org/cc/hill/criminal/document.41/page20.gif
http://www.supremelaw.org/cc/hill/criminal/document.41/page21.gif
http://www.supremelaw.org/cc/hill/criminal/document.41/page22.gif
http://www.supremelaw.org/cc/hill/criminal/document.41/page23.gif
http://www.supremelaw.org/cc/hill/criminal/document.41/page24.gif
http://www.supremelaw.org/cc/hill/criminal/document.41/page25.gif
http://www.supremelaw.org/cc/hill/criminal/document.41/page26.gif
http://www.supremelaw.org/cc/hill/criminal/document.41/page27.gif
http://www.supremelaw.org/cc/hill/criminal/document.41/page28.gif
http://www.supremelaw.org/cc/hill/criminal/document.41/page29.gif
http://www.supremelaw.org/cc/hill/criminal/document.41/page30.gif
http://www.supremelaw.org/cc/hill/criminal/document.41/page31.gif
http://www.supremelaw.org/cc/hill/criminal/document.41/page32.gif
http://www.supremelaw.org/cc/hill/criminal/document.41/PAMPleading#16_NEW-sm.pdf
http://www.supremelaw.org/cc/hill/criminal/document.41/pleading.16.doc
http://www.supremelaw.org/cc/hill/criminal/document.41/pleading.16.htm
http://www.supremelaw.org/cc/hill/criminal/document.52/page01.gif
http://www.supremelaw.org/cc/hill/criminal/document.52/public-authority.defense.doc
http://www.supremelaw.org/cc/hill/criminal/document.52/public-authority.defense.htm
http://www.supremelaw.org/cc/hill/criminal/document.53/application.for.oscs.pdf
http://www.supremelaw.org/cc/hill/criminal/document.54/motion.for.orders.to.show.cause.doc
http://www.supremelaw.org/cc/hill/criminal/document.54/motion.for.orders.to.show.cause.htm
http://www.supremelaw.org/cc/hill/criminal/document.54/page01.gif
http://www.supremelaw.org/cc/hill/criminal/document.54/page02.gif
http://www.supremelaw.org/cc/hill/criminal/document.54/page03.gif
http://www.supremelaw.org/cc/hill/criminal/document.55/demand.for.mandatory.judicial.notice.doc
http://www.supremelaw.org/cc/hill/criminal/document.55/demand.for.mandatory.judicial.notice.htm
http://www.supremelaw.org/cc/hill/criminal/document.55/page01.gif
http://www.supremelaw.org/cc/hill/criminal/document.55/page02.gif
http://www.supremelaw.org/cc/hill/criminal/document.55/page03.gif
http://www.supremelaw.org/cc/hill/criminal/document.55/page04.gif
http://www.supremelaw.org/cc/hill/criminal/document.58/motion.to.dismiss.doc
http://www.supremelaw.org/cc/hill/criminal/document.58/motion.to.dismiss.htm
http://www.supremelaw.org/cc/hill/criminal/document.60/motion.to.dismiss.count.nine.doc
http://www.supremelaw.org/cc/hill/criminal/document.60/motion.to.dismiss.count.nine.htm
http://www.supremelaw.org/cc/hill/criminal/document.60/motion.to.dismiss.count.nine.pdf
http://www.supremelaw.org/cc/hill/criminal/document.62/public-authority.defense.pdf
http://www.supremelaw.org/cc/hill/criminal/document.66/reply.to.motion.to.exclude.pdf
http://www.supremelaw.org/cc/hill/criminal/document.67/motion.for.recusal.pdf
http://www.supremelaw.org/cc/hill/criminal/document.68/supplemental.exhibits.pdf
http://www.supremelaw.org/cc/hill/criminal/document.69/certificate.of.public.importance.pdf
http://www.supremelaw.org/cc/hill/criminal/document.72/vcc4.doc
http://www.supremelaw.org/cc/hill/criminal/document.72/vcc4.htm
http://www.supremelaw.org/cc/hill/criminal/document.72/vcc4.pdf
http://www.supremelaw.org/cc/hill/criminal/document.76/clerks.or.jerks.pdf
http://www.supremelaw.org/cc/hill/criminal/document.78/notice.of.rescission.pdf
http://www.supremelaw.org/cc/hill/criminal/document.79/28.moves.affidavit.pdf
http://www.supremelaw.org/cc/hill/criminal/document.81/blowing.whistles.pdf
http://www.supremelaw.org/cc/hill/criminal/document.83/letter.to.low.pdf
http://www.supremelaw.org/cc/hill/criminal/document.84/letter.to.wyoming.bar.pdf
http://www.supremelaw.org/cc/hill/criminal/document.85/first.supplement.pdf
http://www.supremelaw.org/cc/hill/criminal/document.86/notice.of.termination.pdf
http://www.supremelaw.org/cc/hill/criminal/document.89/notice.of.protest.pdf
http://www.supremelaw.org/cc/hill/criminal/document.90/notice.of.protest.pdf
http://www.supremelaw.org/cc/hill/criminal/document.92/nad.retraction.pdf
http://www.supremelaw.org/cc/hill/criminal/document.97/motion.change.venue.pdf
http://www.supremelaw.org/cc/hill/criminal/document.98/motion.to.strike.pdf
http://www.supremelaw.org/cc/hill/criminal/document.99/foia.request.low.sf-61.pdf

http://www.supremelaw.org/cc/hill/criminal/email/message.2014-02-18/docket.entries.doc
http://www.supremelaw.org/cc/hill/criminal/email/message.2014-02-18/docket.entries.htm
http://www.supremelaw.org/cc/hill/criminal/email/message.2014-02-20/hearings.doc
http://www.supremelaw.org/cc/hill/criminal/email/message.2014-02-20/hearings.htm
http://www.supremelaw.org/cc/hill/criminal/email/message.2014-03-09/abandoned.doc
http://www.supremelaw.org/cc/hill/criminal/email/message.2014-03-09/abandoned.htm
http://www.supremelaw.org/cc/hill/criminal/email/message.2014-05-01/rescission.2.doc
http://www.supremelaw.org/cc/hill/criminal/email/message.2014-05-01/rescission.2.htm

http://www.supremelaw.org/cc/hill/criminal/fleener/letter.2014-11-17/page01.gif
http://www.supremelaw.org/cc/hill/criminal/fleener/letter.2014-11-17/page02.gif
http://www.supremelaw.org/cc/hill/criminal/fleener/letter.2014-11-17/page03.gif
http://www.supremelaw.org/cc/hill/criminal/fleener/letter.2014-11-17/page04.gif
http://www.supremelaw.org/cc/hill/criminal/fleener/letter.2014-11-17/page05.gif

http://www.supremelaw.org/cc/hill/criminal/fpd/letter.2014-02-21/page01.gif
http://www.supremelaw.org/cc/hill/criminal/fpd/letter.2014-03-06/page01.gif
http://www.supremelaw.org/cc/hill/criminal/fpd/letter.2014-03-06/page02.gif
http://www.supremelaw.org/cc/hill/criminal/fpd/letter.2014-03-09/page01.gif
http://www.supremelaw.org/cc/hill/criminal/fpd/letter.2014-03-09/page02.gif
http://www.supremelaw.org/cc/hill/criminal/fpd/letter.2014-03-25/page01.gif
http://www.supremelaw.org/cc/hill/criminal/fpd/wyoming/page01.gif

http://www.supremelaw.org/cc/hill/criminal/indictment1/indictment1.pdf
http://www.supremelaw.org/cc/hill/criminal/indictment1/page01.gif
http://www.supremelaw.org/cc/hill/criminal/indictment1/page02.gif
http://www.supremelaw.org/cc/hill/criminal/indictment1/page03.gif
http://www.supremelaw.org/cc/hill/criminal/indictment1/page04.gif
http://www.supremelaw.org/cc/hill/criminal/indictment1/page05.gif
http://www.supremelaw.org/cc/hill/criminal/indictment1/page06.gif
http://www.supremelaw.org/cc/hill/criminal/indictment1/page07.gif
http://www.supremelaw.org/cc/hill/criminal/indictment1/page08.gif
http://www.supremelaw.org/cc/hill/criminal/indictment1/page09.gif
http://www.supremelaw.org/cc/hill/criminal/indictment1/page10.gif
http://www.supremelaw.org/cc/hill/criminal/indictment1/page11.gif
http://www.supremelaw.org/cc/hill/criminal/indictment1/page12.gif
http://www.supremelaw.org/cc/hill/criminal/indictment1/page13.gif
http://www.supremelaw.org/cc/hill/criminal/indictment1/page14.gif

http://www.supremelaw.org/cc/hill/criminal/indictment2/page01.gif
http://www.supremelaw.org/cc/hill/criminal/indictment2/page02.gif
http://www.supremelaw.org/cc/hill/criminal/indictment2/page03.gif
http://www.supremelaw.org/cc/hill/criminal/indictment2/page04.gif
http://www.supremelaw.org/cc/hill/criminal/indictment2/page05.gif
http://www.supremelaw.org/cc/hill/criminal/indictment2/page06.gif
http://www.supremelaw.org/cc/hill/criminal/indictment2/page07.gif
http://www.supremelaw.org/cc/hill/criminal/indictment2/page08.gif
http://www.supremelaw.org/cc/hill/criminal/indictment2/page09.gif
http://www.supremelaw.org/cc/hill/criminal/indictment2/page10.gif
http://www.supremelaw.org/cc/hill/criminal/indictment2/page11.gif
http://www.supremelaw.org/cc/hill/criminal/indictment2/page12.gif
http://www.supremelaw.org/cc/hill/criminal/indictment2/page13.gif
http://www.supremelaw.org/cc/hill/criminal/indictment2/page14.gif
http://www.supremelaw.org/cc/hill/criminal/indictment2/page15.gif
http://www.supremelaw.org/cc/hill/criminal/indictment2/page16.gif
http://www.supremelaw.org/cc/hill/criminal/indictment2/page17.gif
http://www.supremelaw.org/cc/hill/criminal/indictment2/page18.gif
http://www.supremelaw.org/cc/hill/criminal/indictment2/page19.gif

http://www.supremelaw.org/cc/hill/criminal/letter.2014-02-23/page01.gif
http://www.supremelaw.org/cc/hill/criminal/letter.2014-03-10/page01.gif
http://www.supremelaw.org/cc/hill/criminal/letter.2014-03-26/page01.gif
http://www.supremelaw.org/cc/hill/criminal/letter.2014-04-06/page01.gif
http://www.supremelaw.org/cc/hill/criminal/letter.2014-04-19/page01.gif
http://www.supremelaw.org/cc/hill/criminal/letter.2014-04-19/page02.gif
http://www.supremelaw.org/cc/hill/criminal/letter.2014-04-19/page03.gif
http://www.supremelaw.org/cc/hill/criminal/letter.2014-04-19/page04.gif
http://www.supremelaw.org/cc/hill/criminal/letter.2014-04-19/page05.gif
http://www.supremelaw.org/cc/hill/criminal/letter.2014-04-26/page01.gif
http://www.supremelaw.org/cc/hill/criminal/letter.2014-04-26/page02.gif
http://www.supremelaw.org/cc/hill/criminal/letter.2014-05-05/page01.gif
http://www.supremelaw.org/cc/hill/criminal/letter.2014-05-05/page02.gif
http://www.supremelaw.org/cc/hill/criminal/letter.2014-05-05/page03.gif
http://www.supremelaw.org/cc/hill/criminal/letter.2014-09-20/page01.gif
http://www.supremelaw.org/cc/hill/criminal/letter.2014-09-20/page02.gif
http://www.supremelaw.org/cc/hill/criminal/letter.2014-09-20/page03.gif
http://www.supremelaw.org/cc/hill/criminal/letter.2014-09-20/page04.gif
http://www.supremelaw.org/cc/hill/criminal/letter.2014-09-20/page17.gif
http://www.supremelaw.org/cc/hill/criminal/letter.2014-09-20/page18.gif
http://www.supremelaw.org/cc/hill/criminal/letter.2014-09-20/page19.gif
http://www.supremelaw.org/cc/hill/criminal/letter.2014-09-20/page20.gif
http://www.supremelaw.org/cc/hill/criminal/letter.2014-09-23/page01.gif
http://www.supremelaw.org/cc/hill/criminal/letter.2014-09-23/page02.gif
http://www.supremelaw.org/cc/hill/criminal/letter.2014-10-01/page01.gif
http://www.supremelaw.org/cc/hill/criminal/letter.2014-10-01/page02.gif

http://www.supremelaw.org/cc/hill/criminal/limine/motion.in.limine.pdf
http://www.supremelaw.org/cc/hill/criminal/limine/page01.gif
http://www.supremelaw.org/cc/hill/criminal/limine/page02.gif
http://www.supremelaw.org/cc/hill/criminal/limine/page03.gif
http://www.supremelaw.org/cc/hill/criminal/limine/page04.gif
http://www.supremelaw.org/cc/hill/criminal/limine/page05.gif
http://www.supremelaw.org/cc/hill/criminal/limine/page06.gif
http://www.supremelaw.org/cc/hill/criminal/limine/page07.gif
http://www.supremelaw.org/cc/hill/criminal/limine/page08.gif

http://www.supremelaw.org/cc/hill/criminal/pleading.01/affidavit.of.probable.cause.doc
http://www.supremelaw.org/cc/hill/criminal/pleading.01/affidavit.of.probable.cause.htm
http://www.supremelaw.org/cc/hill/criminal/pleading.01/affidavit.of.probable.cause.pdf
http://www.supremelaw.org/cc/hill/criminal/pleading.01/page01.gif
http://www.supremelaw.org/cc/hill/criminal/pleading.01/page02.gif
http://www.supremelaw.org/cc/hill/criminal/pleading.01/page03.gif
http://www.supremelaw.org/cc/hill/criminal/pleading.01/page04.gif
http://www.supremelaw.org/cc/hill/criminal/pleading.01/PAMPleading#1AffadavirProbCause_NEW.pdf
http://www.supremelaw.org/cc/hill/criminal/pleading.02/page01.gif
http://www.supremelaw.org/cc/hill/criminal/pleading.02/page02.gif
http://www.supremelaw.org/cc/hill/criminal/pleading.02/page03.gif
http://www.supremelaw.org/cc/hill/criminal/pleading.02/page04.gif
http://www.supremelaw.org/cc/hill/criminal/pleading.02/page05.gif
http://www.supremelaw.org/cc/hill/criminal/pleading.02/page06.gif
http://www.supremelaw.org/cc/hill/criminal/pleading.02/page07.gif
http://www.supremelaw.org/cc/hill/criminal/pleading.02/page08.gif
http://www.supremelaw.org/cc/hill/criminal/pleading.02/page09.gif
http://www.supremelaw.org/cc/hill/criminal/pleading.02/PAMPleading#2AffadavirProbCause_NEW-sm.pdf
http://www.supremelaw.org/cc/hill/criminal/pleading.02/second.affidavit.of.probable.cause.doc
http://www.supremelaw.org/cc/hill/criminal/pleading.02/second.affidavit.of.probable.cause.htm
http://www.supremelaw.org/cc/hill/criminal/pleading.02/second.affidavit.of.probable.cause.pdf
http://www.supremelaw.org/cc/hill/criminal/pleading.03/page01.gif
http://www.supremelaw.org/cc/hill/criminal/pleading.03/page02.gif
http://www.supremelaw.org/cc/hill/criminal/pleading.03/page03.gif
http://www.supremelaw.org/cc/hill/criminal/pleading.03/page04.gif
http://www.supremelaw.org/cc/hill/criminal/pleading.03/PAMPleading#3_NEW.pdf
http://www.supremelaw.org/cc/hill/criminal/pleading.03/request.to.vacate.decisions.doc
http://www.supremelaw.org/cc/hill/criminal/pleading.03/request.to.vacate.decisions.htm
http://www.supremelaw.org/cc/hill/criminal/pleading.04/page01.gif
http://www.supremelaw.org/cc/hill/criminal/pleading.04/page02.gif
http://www.supremelaw.org/cc/hill/criminal/pleading.04/page03.gif
http://www.supremelaw.org/cc/hill/criminal/pleading.04/PAMPleading#4_NEW.pdf
http://www.supremelaw.org/cc/hill/criminal/pleading.04/third.affidavit.of.probable.cause.doc
http://www.supremelaw.org/cc/hill/criminal/pleading.04/third.affidavit.of.probable.cause.htm
http://www.supremelaw.org/cc/hill/criminal/pleading.04/third.affidavit.of.probable.cause.pdf
http://www.supremelaw.org/cc/hill/criminal/pleading.05/memorandum.doc
http://www.supremelaw.org/cc/hill/criminal/pleading.05/memorandum.htm
http://www.supremelaw.org/cc/hill/criminal/pleading.05/page01.gif
http://www.supremelaw.org/cc/hill/criminal/pleading.05/page02.gif
http://www.supremelaw.org/cc/hill/criminal/pleading.05/PAMPleading#5_NEW.pdf
http://www.supremelaw.org/cc/hill/criminal/pleading.06/controversy.at.law.doc
http://www.supremelaw.org/cc/hill/criminal/pleading.06/controversy.at.law.htm
http://www.supremelaw.org/cc/hill/criminal/pleading.06/page01.gif
http://www.supremelaw.org/cc/hill/criminal/pleading.06/page02.gif
http://www.supremelaw.org/cc/hill/criminal/pleading.06/page03.gif
http://www.supremelaw.org/cc/hill/criminal/pleading.06/page04.gif
http://www.supremelaw.org/cc/hill/criminal/pleading.06/page05.gif
http://www.supremelaw.org/cc/hill/criminal/pleading.06/page06.gif
http://www.supremelaw.org/cc/hill/criminal/pleading.06/page07.gif
http://www.supremelaw.org/cc/hill/criminal/pleading.06/page08.gif
http://www.supremelaw.org/cc/hill/criminal/pleading.06/page09.gif
http://www.supremelaw.org/cc/hill/criminal/pleading.06/PAMPleading#6_NEW-sm.pdf
http://www.supremelaw.org/cc/hill/criminal/pleading.07/foia.request.vogel.doc
http://www.supremelaw.org/cc/hill/criminal/pleading.07/foia.request.vogel.htm
http://www.supremelaw.org/cc/hill/criminal/pleading.07/page01.gif
http://www.supremelaw.org/cc/hill/criminal/pleading.07/PAMPleading#7.pdf
http://www.supremelaw.org/cc/hill/criminal/pleading.08/page01.gif
http://www.supremelaw.org/cc/hill/criminal/pleading.08/page02.gif
http://www.supremelaw.org/cc/hill/criminal/pleading.08/page03.gif
http://www.supremelaw.org/cc/hill/criminal/pleading.08/page04.gif
http://www.supremelaw.org/cc/hill/criminal/pleading.08/page05.gif
http://www.supremelaw.org/cc/hill/criminal/pleading.08/page06.gif
http://www.supremelaw.org/cc/hill/criminal/pleading.08/PAMPleading#8_NEW.pdf
http://www.supremelaw.org/cc/hill/criminal/pleading.08/pleading.08.doc
http://www.supremelaw.org/cc/hill/criminal/pleading.08/pleading.08.htm
http://www.supremelaw.org/cc/hill/criminal/pleading.09/motion.for.interlocutory.judgment.doc
http://www.supremelaw.org/cc/hill/criminal/pleading.09/motion.for.interlocutory.judgment.htm
http://www.supremelaw.org/cc/hill/criminal/pleading.09/page01.gif
http://www.supremelaw.org/cc/hill/criminal/pleading.09/page02.gif
http://www.supremelaw.org/cc/hill/criminal/pleading.09/page03.gif
http://www.supremelaw.org/cc/hill/criminal/pleading.09/PAMPleading#9_NEW.pdf
http://www.supremelaw.org/cc/hill/criminal/pleading.10/notice.of.default.by.affidavit.doc
http://www.supremelaw.org/cc/hill/criminal/pleading.10/notice.of.default.by.affidavit.htm
http://www.supremelaw.org/cc/hill/criminal/pleading.10/page01.gif
http://www.supremelaw.org/cc/hill/criminal/pleading.10/page02.gif
http://www.supremelaw.org/cc/hill/criminal/pleading.10/page03.gif
http://www.supremelaw.org/cc/hill/criminal/pleading.10/page04.gif
http://www.supremelaw.org/cc/hill/criminal/pleading.10/PAMPleading#10_NEW.pdf
http://www.supremelaw.org/cc/hill/criminal/pleading.11/page01.gif
http://www.supremelaw.org/cc/hill/criminal/pleading.11/page02.gif
http://www.supremelaw.org/cc/hill/criminal/pleading.11/PAMPleading#11_NEW.pdf
http://www.supremelaw.org/cc/hill/criminal/pleading.11/request.for.docket.status.doc
http://www.supremelaw.org/cc/hill/criminal/pleading.11/request.for.docket.status.htm
http://www.supremelaw.org/cc/hill/criminal/pleading.11/request.for.docket.status.pdf
http://www.supremelaw.org/cc/hill/criminal/pleading.12/challenge.two.acts.of.congress.doc
http://www.supremelaw.org/cc/hill/criminal/pleading.12/challenge.two.acts.of.congress.htm
http://www.supremelaw.org/cc/hill/criminal/pleading.12/page01.gif
http://www.supremelaw.org/cc/hill/criminal/pleading.12/page02.gif
http://www.supremelaw.org/cc/hill/criminal/pleading.12/page03.gif
http://www.supremelaw.org/cc/hill/criminal/pleading.12/page04.gif
http://www.supremelaw.org/cc/hill/criminal/pleading.12/page05.gif
http://www.supremelaw.org/cc/hill/criminal/pleading.12/PAMPleading#12_NEW.pdf
http://www.supremelaw.org/cc/hill/criminal/pleading.13/page01.gif
http://www.supremelaw.org/cc/hill/criminal/pleading.13/page02.gif
http://www.supremelaw.org/cc/hill/criminal/pleading.13/page03.gif
http://www.supremelaw.org/cc/hill/criminal/pleading.13/page04.gif
http://www.supremelaw.org/cc/hill/criminal/pleading.13/PAMPleading#13_NEW.pdf
http://www.supremelaw.org/cc/hill/criminal/pleading.13/pleading.13.doc
http://www.supremelaw.org/cc/hill/criminal/pleading.13/pleading.13.htm
http://www.supremelaw.org/cc/hill/criminal/pleading.14/declaration.of.relator.status.pdf
http://www.supremelaw.org/cc/hill/criminal/pleading.14/declaration.of.status.doc
http://www.supremelaw.org/cc/hill/criminal/pleading.14/declaration.of.status.htm
http://www.supremelaw.org/cc/hill/criminal/pleading.14/page01.gif
http://www.supremelaw.org/cc/hill/criminal/pleading.14/page02.gif
http://www.supremelaw.org/cc/hill/criminal/pleading.14/page03.gif
http://www.supremelaw.org/cc/hill/criminal/pleading.14/PAMPleading#14_NEW.pdf
http://www.supremelaw.org/cc/hill/criminal/pleading.15/page01.gif
http://www.supremelaw.org/cc/hill/criminal/pleading.15/page02.gif
http://www.supremelaw.org/cc/hill/criminal/pleading.15/page03.gif
http://www.supremelaw.org/cc/hill/criminal/pleading.15/page04.gif
http://www.supremelaw.org/cc/hill/criminal/pleading.15/page05.gif
http://www.supremelaw.org/cc/hill/criminal/pleading.15/page06.gif
http://www.supremelaw.org/cc/hill/criminal/pleading.15/page07.gif
http://www.supremelaw.org/cc/hill/criminal/pleading.15/page08.gif
http://www.supremelaw.org/cc/hill/criminal/pleading.15/page09.gif
http://www.supremelaw.org/cc/hill/criminal/pleading.15/page10.gif
http://www.supremelaw.org/cc/hill/criminal/pleading.15/page11.gif
http://www.supremelaw.org/cc/hill/criminal/pleading.15/page12.gif
http://www.supremelaw.org/cc/hill/criminal/pleading.15/page13.gif
http://www.supremelaw.org/cc/hill/criminal/pleading.15/page14.gif
http://www.supremelaw.org/cc/hill/criminal/pleading.15/page15.gif
http://www.supremelaw.org/cc/hill/criminal/pleading.15/page16.gif
http://www.supremelaw.org/cc/hill/criminal/pleading.15/page17.gif
http://www.supremelaw.org/cc/hill/criminal/pleading.15/PAMPleading#15_NEW-sm.pdf
http://www.supremelaw.org/cc/hill/criminal/pleading.16/page01.gif
http://www.supremelaw.org/cc/hill/criminal/pleading.16/page02.gif
http://www.supremelaw.org/cc/hill/criminal/pleading.16/page03.gif
http://www.supremelaw.org/cc/hill/criminal/pleading.16/page04.gif
http://www.supremelaw.org/cc/hill/criminal/pleading.16/page05.gif
http://www.supremelaw.org/cc/hill/criminal/pleading.16/page06.gif
http://www.supremelaw.org/cc/hill/criminal/pleading.16/page07.gif
http://www.supremelaw.org/cc/hill/criminal/pleading.16/page08.gif
http://www.supremelaw.org/cc/hill/criminal/pleading.16/page09.gif
http://www.supremelaw.org/cc/hill/criminal/pleading.16/page10.gif
http://www.supremelaw.org/cc/hill/criminal/pleading.16/page11.gif
http://www.supremelaw.org/cc/hill/criminal/pleading.16/page12.gif
http://www.supremelaw.org/cc/hill/criminal/pleading.16/page13.gif
http://www.supremelaw.org/cc/hill/criminal/pleading.16/page14.gif
http://www.supremelaw.org/cc/hill/criminal/pleading.16/page15.gif
http://www.supremelaw.org/cc/hill/criminal/pleading.16/page16.gif
http://www.supremelaw.org/cc/hill/criminal/pleading.16/page17.gif
http://www.supremelaw.org/cc/hill/criminal/pleading.16/page18.gif
http://www.supremelaw.org/cc/hill/criminal/pleading.16/page19.gif
http://www.supremelaw.org/cc/hill/criminal/pleading.16/page20.gif
http://www.supremelaw.org/cc/hill/criminal/pleading.16/page21.gif
http://www.supremelaw.org/cc/hill/criminal/pleading.16/page22.gif
http://www.supremelaw.org/cc/hill/criminal/pleading.16/page23.gif
http://www.supremelaw.org/cc/hill/criminal/pleading.16/page24.gif
http://www.supremelaw.org/cc/hill/criminal/pleading.16/page25.gif
http://www.supremelaw.org/cc/hill/criminal/pleading.16/page26.gif
http://www.supremelaw.org/cc/hill/criminal/pleading.16/page27.gif
http://www.supremelaw.org/cc/hill/criminal/pleading.16/page28.gif
http://www.supremelaw.org/cc/hill/criminal/pleading.16/page29.gif
http://www.supremelaw.org/cc/hill/criminal/pleading.16/page30.gif
http://www.supremelaw.org/cc/hill/criminal/pleading.16/page31.gif
http://www.supremelaw.org/cc/hill/criminal/pleading.16/page32.gif
http://www.supremelaw.org/cc/hill/criminal/pleading.16/PAMPleading#16_NEW-sm.pdf
http://www.supremelaw.org/cc/hill/criminal/pleading.16/pleading.16.doc
http://www.supremelaw.org/cc/hill/criminal/pleading.16/pleading.16.htm

http://www.supremelaw.org/cc/hill/criminal/protest/notice.of.protest.doc
http://www.supremelaw.org/cc/hill/criminal/protest/notice.of.protest.htm

http://www.supremelaw.org/cc/hill/criminal/rescission/letter.2014-05-01/memo.2014-05-01.doc
http://www.supremelaw.org/cc/hill/criminal/rescission/letter.2014-05-01/memo.2014-05-01.htm
http://www.supremelaw.org/cc/hill/criminal/rescission/notice.of.rescission.doc
http://www.supremelaw.org/cc/hill/criminal/rescission/notice.of.rescission.htm
http://www.supremelaw.org/cc/hill/criminal/rescission/page01.gif
http://www.supremelaw.org/cc/hill/criminal/rescission/page02.gif

http://www.supremelaw.org/cc/hill/criminal/spence/letter.2014-03-10/page01.gif
http://www.supremelaw.org/cc/hill/criminal/spence/letter.2014-03-17/page01.gif

http://www.supremelaw.org/cc/hill/criminal/termination/page01.gif
http://www.supremelaw.org/cc/hill/criminal/termination/page02.gif
http://www.supremelaw.org/cc/hill/criminal/termination/page03.gif
http://www.supremelaw.org/cc/hill/criminal/termination/page04.gif
http://www.supremelaw.org/cc/hill/criminal/termination/page05.gif

http://www.supremelaw.org/cc/hill/criminal/tjharris/drafts/page01.gif
http://www.supremelaw.org/cc/hill/criminal/tjharris/drafts/page02.gif
http://www.supremelaw.org/cc/hill/criminal/tjharris/drafts/page03.gif
http://www.supremelaw.org/cc/hill/criminal/tjharris/drafts/page04.gif
http://www.supremelaw.org/cc/hill/criminal/tjharris/drafts/page05.gif
http://www.supremelaw.org/cc/hill/criminal/tjharris/drafts/page06.gif
http://www.supremelaw.org/cc/hill/criminal/tjharris/drafts/page07.gif
http://www.supremelaw.org/cc/hill/criminal/tjharris/drafts/page08.gif
http://www.supremelaw.org/cc/hill/criminal/tjharris/drafts/page09.gif
http://www.supremelaw.org/cc/hill/criminal/tjharris/drafts/page10.gif
http://www.supremelaw.org/cc/hill/criminal/tjharris/drafts/page11.gif
http://www.supremelaw.org/cc/hill/criminal/tjharris/drafts/page12.gif
http://www.supremelaw.org/cc/hill/criminal/tjharris/drafts/page13.gif
http://www.supremelaw.org/cc/hill/criminal/tjharris/drafts/page14.gif
http://www.supremelaw.org/cc/hill/criminal/tjharris/drafts/page15.gif
http://www.supremelaw.org/cc/hill/criminal/tjharris/drafts/page16.gif
http://www.supremelaw.org/cc/hill/criminal/tjharris/drafts/page17.gif
http://www.supremelaw.org/cc/hill/criminal/tjharris/drafts/page18.gif
http://www.supremelaw.org/cc/hill/criminal/tjharris/drafts/page19.gif
http://www.supremelaw.org/cc/hill/criminal/tjharris/letter.2014-07-25/page01.gif
http://www.supremelaw.org/cc/hill/criminal/tjharris/letter.2014-07-25/page02.gif
http://www.supremelaw.org/cc/hill/criminal/tjharris/letter.2014-07-25/page03.gif
http://www.supremelaw.org/cc/hill/criminal/tjharris/letter.2014-07-25/page04.gif
http://www.supremelaw.org/cc/hill/criminal/tjharris/letter.2014-07-25/page05.gif
http://www.supremelaw.org/cc/hill/criminal/tjharris/letter.2014-07-25/page06.gif
http://www.supremelaw.org/cc/hill/criminal/tjharris/letter.2014-07-25/page07.gif
http://www.supremelaw.org/cc/hill/criminal/tjharris/letter.2014-07-25/page08.gif
http://www.supremelaw.org/cc/hill/criminal/tjharris/letter.2014-08-06/page01.gif
http://www.supremelaw.org/cc/hill/criminal/tjharris/letter.2014-08-06/page02.gif
http://www.supremelaw.org/cc/hill/criminal/tjharris/letter.2014-08-06/page03.gif
http://www.supremelaw.org/cc/hill/criminal/tjharris/letter.2014-08-28/page01.gif
http://www.supremelaw.org/cc/hill/criminal/tjharris/letter.2014-09-15.1/page01.gif
http://www.supremelaw.org/cc/hill/criminal/tjharris/letter.2014-09-15.2/page01.gif
http://www.supremelaw.org/cc/hill/criminal/tjharris/letter.2014-09-15.3/page01.gif
http://www.supremelaw.org/cc/hill/criminal/tjharris/letter.2014-09-15.4/page01.gif
http://www.supremelaw.org/cc/hill/criminal/tjharris/letter.2014-09-22/page01.gif
http://www.supremelaw.org/cc/hill/criminal/tjharris/letter.2014-09-22/page02.gif
http://www.supremelaw.org/cc/hill/criminal/tjharris/letter.2014-09-24/page01.gif
http://www.supremelaw.org/cc/hill/criminal/tjharris/letter.2014-10-06/Harris.termination.10-6-14.pdf
http://www.supremelaw.org/cc/hill/criminal/tjharris/letter.2014-10-08/page01.gif
http://www.supremelaw.org/cc/hill/criminal/tjharris/letter.2014-10-08/page02.gif
http://www.supremelaw.org/cc/hill/criminal/tjharris/letter.2014-10-08/page03.gif
http://www.supremelaw.org/cc/hill/criminal/tjharris/letter.2014-10-08/page04.gif
http://www.supremelaw.org/cc/hill/criminal/tjharris/letter.2014-10-08/page05.gif
http://www.supremelaw.org/cc/hill/criminal/tjharris/letter.2014-10-08.2/page01.gif
http://www.supremelaw.org/cc/hill/criminal/tjharris/letter.2014-10-21/page01.gif
http://www.supremelaw.org/cc/hill/criminal/tjharris/letter.2014-10-24/CeaseDesistHarris10-24-14.pdf
http://www.supremelaw.org/cc/hill/criminal/tjharris/letter.2014-10-28/nad.cease.desist.pdf
http://www.supremelaw.org/cc/hill/criminal/tjharris/letter.2014-11-12/page01.gif
http://www.supremelaw.org/cc/hill/criminal/tjharris/letter.2014-11-12/page02.gif
http://www.supremelaw.org/cc/hill/criminal/tjharris/letter.2014-11-12/page03.gif
http://www.supremelaw.org/cc/hill/criminal/tjharris/letter.2014-11-12/page04.gif
http://www.supremelaw.org/cc/hill/criminal/tjharris/letter.2014-11-13/page01.gif
http://www.supremelaw.org/cc/hill/criminal/tjharris/letter.2014-11-21/page01.gif
http://www.supremelaw.org/cc/hill/criminal/tjharris/letter.2014-11-21.2/page01.gif
http://www.supremelaw.org/cc/hill/criminal/tjharris/letter.2014-11-24/page01.gif
http://www.supremelaw.org/cc/hill/criminal/tjharris/letter.2014-11-24.1/page01.gif
http://www.supremelaw.org/cc/hill/criminal/tjharris/letter.2014-11-24.2/page01.gif
http://www.supremelaw.org/cc/hill/criminal/tjharris/letter.2014-11-28/page01.gif
http://www.supremelaw.org/cc/hill/criminal/tjharris/letter.2014-11-29/page01.gif
http://www.supremelaw.org/cc/hill/criminal/tjharris/letter.2014-11-29.4/page01.gif
http://www.supremelaw.org/cc/hill/criminal/tjharris/letter.2014-11-29.4/page02.gif
http://www.supremelaw.org/cc/hill/criminal/tjharris/letter.2014-12-01/page01.gif
http://www.supremelaw.org/cc/hill/criminal/tjharris/letter.2014-12-01/page02.gif
http://www.supremelaw.org/cc/hill/criminal/tjharris/letter.2014-12-01.2/page01.gif
http://www.supremelaw.org/cc/hill/criminal/tjharris/vcc/mailing.address.txt
http://www.supremelaw.org/cc/hill/criminal/tjharris/vcc/vcc.doc
http://www.supremelaw.org/cc/hill/criminal/tjharris/vcc/vcc.htm
http://www.supremelaw.org/cc/hill/criminal/tjharris/vcc/vcc.pdf
http://www.supremelaw.org/cc/hill/criminal/tjharris/mailing.address.txt

http://www.supremelaw.org/cc/hill/criminal/wyobc/letter.2014-05-12/complaint.doc
http://www.supremelaw.org/cc/hill/criminal/wyobc/letter.2014-05-12/complaint.htm
http://www.supremelaw.org/cc/hill/criminal/wyobc/letter.2014-05-12/page01.gif
http://www.supremelaw.org/cc/hill/criminal/wyobc/letter.2014-05-12/page02.gif
http://www.supremelaw.org/cc/hill/criminal/wyobc/letter.2014-05-12/page03.gif
http://www.supremelaw.org/cc/hill/criminal/wyobc/letter.2014-05-13/complaint.doc
http://www.supremelaw.org/cc/hill/criminal/wyobc/letter.2014-05-13/complaint.htm
http://www.supremelaw.org/cc/hill/criminal/wyobc/letter.2014-05-18/conspiracy.doc
http://www.supremelaw.org/cc/hill/criminal/wyobc/letter.2014-05-18/conspiracy.htm

http://www.supremelaw.org/cc/hill/criminal/FDC-SeaTac.addresses.doc

http://www.supremelaw.org/cc/hill/criminal/private.docket.txt

http://www.supremelaw.org/cc/hill/criminal/USMCFP.addresses.doc


http://www.supremelaw.org/cc/hill/crofts/letter.2012-10-17/page01.gif
http://www.supremelaw.org/cc/hill/crofts/letter.2012-11-15/page01.gif
http://www.supremelaw.org/cc/hill/crofts/letter.2012-11-15/page02.gif
http://www.supremelaw.org/cc/hill/crofts/letter.2013-02-12/affidavit.gif
http://www.supremelaw.org/cc/hill/crofts/letter.2013-02-12/affidavit.refused.jpg
http://www.supremelaw.org/cc/hill/crofts/letter.2013-02-12/commission.gif
http://www.supremelaw.org/cc/hill/crofts/letter.2013-02-12/commission.refused.jpg
http://www.supremelaw.org/cc/hill/crofts/letter.2013-02-12/page01.gif
http://www.supremelaw.org/cc/hill/crofts/letter.2013-02-12/page01.refused.jpg
http://www.supremelaw.org/cc/hill/crofts/letter.2013-02-12/page02.gif
http://www.supremelaw.org/cc/hill/crofts/letter.2013-02-12/page02.refused.jpg
http://www.supremelaw.org/cc/hill/crofts/letter.2013-02-12/page03.gif
http://www.supremelaw.org/cc/hill/crofts/foia.request.1.doc
http://www.supremelaw.org/cc/hill/crofts/foia.request.1.htm

http://www.supremelaw.org/cc/hill/cunningham/business.card.gif
http://www.supremelaw.org/cc/hill/cunningham/request.for.authority.doc

http://www.supremelaw.org/cc/hill/endo/state.bar.record.htm

http://www.supremelaw.org/cc/hill/erickson/mailing.address.txt
http://www.supremelaw.org/cc/hill/erickson/nad.document.production.pdf

http://www.supremelaw.org/cc/hill/fisher/fax.transmission.verification.2013-01-02.gif
http://www.supremelaw.org/cc/hill/fisher/nad.affidavit.doc
http://www.supremelaw.org/cc/hill/fisher/nad.affidavit.htm

http://www.supremelaw.org/cc/hill/frizzle/guest/business.card.gif
http://www.supremelaw.org/cc/hill/frizzle/marcy/business.card.gif
http://www.supremelaw.org/cc/hill/frizzle/subpoena.ganesh/Contact.Referral.htm
http://www.supremelaw.org/cc/hill/frizzle/subpoena.ganesh/page01.gif
http://www.supremelaw.org/cc/hill/frizzle/subpoena.ganesh/page02.gif
http://www.supremelaw.org/cc/hill/frizzle/subpoena.ganesh/page03.gif
http://www.supremelaw.org/cc/hill/frizzle/subpoena.ganesh/usps.tracking.2013-01-11.htm
http://www.supremelaw.org/cc/hill/frizzle/subpoena.ganesh/usps.tracking.2013-01-25.htm
http://www.supremelaw.org/cc/hill/frizzle/subpoena.topaz/SOS/Ariz.%20Corp.%20Comm.%20--%20Corporations%20Division.2.htm
http://www.supremelaw.org/cc/hill/frizzle/subpoena.topaz/SOS/Ariz.%20Corp.%20Comm.%20--%20Corporations%20Division.htm
http://www.supremelaw.org/cc/hill/frizzle/subpoena.topaz/page01.gif
http://www.supremelaw.org/cc/hill/frizzle/subpoena.topaz/page02.gif
http://www.supremelaw.org/cc/hill/frizzle/subpoena.topaz/page03.gif
http://www.supremelaw.org/cc/hill/frizzle/subpoena.topaz/usps.tracking.2013-01-10.htm
http://www.supremelaw.org/cc/hill/frizzle/subpoena.topaz/usps.tracking.2013-01-22.htm
http://www.supremelaw.org/cc/hill/frizzle/Sups-2%201-BT%201-LLC%20-%20MFP-Paille%20-%20MA-Mgr-Frizzle%20-%20Cards-Marcy-Guest.pdf

http://www.supremelaw.org/cc/hill/gering/Geringpleadings614/TerryHarrisCopies/CaseforSanctions/CaseforSnctions626141.pdf
http://www.supremelaw.org/cc/hill/gering/Geringpleadings614/TerryHarrisCopies/CaseforSanctions/CaseforSnctions626141_0001.pdf
http://www.supremelaw.org/cc/hill/gering/Geringpleadings614/TerryHarrisCopies/CaseforSanctions/CaseforSnctions626141_0002.pdf
http://www.supremelaw.org/cc/hill/gering/Geringpleadings614/TerryHarrisCopies/CaseforSanctions/CaseforSnctions7414_NEW.pdf
http://www.supremelaw.org/cc/hill/gering/Geringpleadings614/TerryHarrisCopies/Paul%20Habeus%20Gering%20Clerk_0004_NEW.pdf
http://www.supremelaw.org/cc/hill/gering/Geringpleadings614/TerryHarrisCopies/Paul%20Habeus%20II_NEW.pdf
http://www.supremelaw.org/cc/hill/gering/Geringpleadings614/TerryHarrisCopies/Paul%20Harris%20Memo%20II_NEW.pdf
http://www.supremelaw.org/cc/hill/gering/Geringpleadings614/TerryHarrisCopies/Paul%20Mot%20Forma%20Pauperis_NEW.pdf
http://www.supremelaw.org/cc/hill/gering/Geringpleadings614/TerryHarrisCopies/Paul%20People%20v%20Harris%20et%20al%20MemoI_NEW.pdf
http://www.supremelaw.org/cc/hill/gering/Geringpleadings614/TerryHarrisCopies/Paul%20People%20v%20Harris%20et%20al_NEW.pdf
http://www.supremelaw.org/cc/hill/gering/Geringpleadings614/TerryHarrisCopies/Paul%20Reconsideration_0001_NEW.pdf
http://www.supremelaw.org/cc/hill/gering/Geringpleadings614/TerryHarrisCopies/Paul0526141.pdf
http://www.supremelaw.org/cc/hill/gering/Geringpleadings614/TerryHarrisCopies/Paul0526141_0001.pdf
http://www.supremelaw.org/cc/hill/gering/Geringpleadings614/TerryHarrisCopies/Paul0526141_NEW.pdf
http://www.supremelaw.org/cc/hill/gering/Geringpleadings614/Paul%20Habeus%20Gering%20Clerk.pdf
http://www.supremelaw.org/cc/hill/gering/Geringpleadings614/Paul%20Habeus%20Gering%20Clerk_0001.pdf
http://www.supremelaw.org/cc/hill/gering/Geringpleadings614/Paul%20Habeus%20Gering%20Clerk_0002.pdf
http://www.supremelaw.org/cc/hill/gering/Geringpleadings614/Paul%20Habeus%20Gering%20Clerk_0003.pdf
http://www.supremelaw.org/cc/hill/gering/Geringpleadings614/Paul%20Habeus%20Gering%20Clerk_0004.jpg
http://www.supremelaw.org/cc/hill/gering/Geringpleadings614/Paul%20Habeus%20II.pdf
http://www.supremelaw.org/cc/hill/gering/Geringpleadings614/Paul%20Habeus%20II_0001.pdf
http://www.supremelaw.org/cc/hill/gering/Geringpleadings614/Paul%20Habeus%20II_0002.pdf
http://www.supremelaw.org/cc/hill/gering/Geringpleadings614/Paul%20Habeus%20II_0003.pdf
http://www.supremelaw.org/cc/hill/gering/Geringpleadings614/Paul%20Harris%20Memo%201%20II.pdf
http://www.supremelaw.org/cc/hill/gering/Geringpleadings614/Paul%20Harris%20Memo%20II.pdf
http://www.supremelaw.org/cc/hill/gering/Geringpleadings614/Paul%20Mot%20Forma%20Pauperis.pdf
http://www.supremelaw.org/cc/hill/gering/Geringpleadings614/Paul%20Mot%20Forma%20Pauperis_0001.pdf
http://www.supremelaw.org/cc/hill/gering/Geringpleadings614/Paul%20Mot%20Forma%20Pauperis_0002.pdf
http://www.supremelaw.org/cc/hill/gering/Geringpleadings614/Paul%20Mot%20Forma%20Pauperis_0003.pdf
http://www.supremelaw.org/cc/hill/gering/Geringpleadings614/Paul%20People%20v%20Harris%20et%20al%20MemoI.pdf
http://www.supremelaw.org/cc/hill/gering/Geringpleadings614/Paul%20People%20v%20Harris%20et%20al%20MemoII.pdf
http://www.supremelaw.org/cc/hill/gering/Geringpleadings614/Paul%20People%20v%20Harris%20et%20al.pdf
http://www.supremelaw.org/cc/hill/gering/Geringpleadings614/Paul%20People%20v%20Harris%20et%20al_0001.pdf
http://www.supremelaw.org/cc/hill/gering/Geringpleadings614/Paul%20People%20v%20Harris%20et%20al_0002.pdf
http://www.supremelaw.org/cc/hill/gering/Geringpleadings614/Paul%20People%20v%20Harris%20et%20al_0003.pdf
http://www.supremelaw.org/cc/hill/gering/Geringpleadings614/Paul%20People%20v%20Harris%20et%20al_0004.pdf
http://www.supremelaw.org/cc/hill/gering/Geringpleadings614/Paul%20Reconsideration.pdf
http://www.supremelaw.org/cc/hill/gering/Geringpleadings614/Paul%20Reconsideration_0001.pdf
http://www.supremelaw.org/cc/hill/gering/Geringpleadings614/Paul%20Reconsideration_0002.pdf
http://www.supremelaw.org/cc/hill/gering/Geringpleadings614/Paul%20Reconsideration_0003.pdf
http://www.supremelaw.org/cc/hill/gering/Geringpleadings614/Paul%20Reconsideration_0004.pdf
http://www.supremelaw.org/cc/hill/gering/Geringpleadings614/Paul%20Reconsideration_0005.pdf
http://www.supremelaw.org/cc/hill/gering/Geringpleadings614/Paul%20Reconsideration_0006.jpg
http://www.supremelaw.org/cc/hill/gering/Geringpleadings614/Paul%20Reconsideration_0007.jpg
http://www.supremelaw.org/cc/hill/gering/initial/page01.gif
http://www.supremelaw.org/cc/hill/gering/initial/page02.gif
http://www.supremelaw.org/cc/hill/gering/initial/page03.gif
http://www.supremelaw.org/cc/hill/gering/initial/page04.gif
http://www.supremelaw.org/cc/hill/gering/introduction/page01.gif
http://www.supremelaw.org/cc/hill/gering/introduction/page02.gif
http://www.supremelaw.org/cc/hill/gering/letter.2014-06-24/page01.gif
http://www.supremelaw.org/cc/hill/gering/memo.2014-04-01/page01.gif
http://www.supremelaw.org/cc/hill/gering/memo.2014-04-01/page02.gif
http://www.supremelaw.org/cc/hill/gering/recon/motion.for.reconsideration.doc
http://www.supremelaw.org/cc/hill/gering/recon/motion.for.reconsideration.htm

http://www.supremelaw.org/cc/hill/grand.jury/request.to.appear.in.writing.doc
http://www.supremelaw.org/cc/hill/grand.jury/request.to.appear.in.writing.htm
http://www.supremelaw.org/cc/hill/grand.jury/request.to.appear.in.writing.html
http://www.supremelaw.org/cc/hill/grand.jury/RTA%20Return%20Receipt%20-%20MFP-Hill-7-BTs%201-18-13.pdf

http://www.supremelaw.org/cc/hill/guest.dave/fax.transmission.2013-06-12.1/page01.gif
http://www.supremelaw.org/cc/hill/guest.dave/fax.transmission.2013-06-12.1/page02.gif
http://www.supremelaw.org/cc/hill/guest.dave/fax.transmission.2013-06-12.1/page03.gif
http://www.supremelaw.org/cc/hill/guest.dave/fax.transmission.2013-06-12.2/page01.gif
http://www.supremelaw.org/cc/hill/guest.dave/fax.transmission.2013-06-12.2/page02.gif
http://www.supremelaw.org/cc/hill/guest.dave/fax.transmission.2013-06-12.2/page03.gif
http://www.supremelaw.org/cc/hill/guest.dave/business.card.2.gif
http://www.supremelaw.org/cc/hill/guest.dave/business.card.2.refused.gif
http://www.supremelaw.org/cc/hill/guest.dave/business.card.gif
http://www.supremelaw.org/cc/hill/guest.dave/foia.request.1.doc
http://www.supremelaw.org/cc/hill/guest.dave/foia.request.1.htm
http://www.supremelaw.org/cc/hill/guest.dave/index.htm
http://www.supremelaw.org/cc/hill/guest.dave/index.html
http://www.supremelaw.org/cc/hill/guest.dave/request.for.authority.doc
http://www.supremelaw.org/cc/hill/guest.dave/request.for.authority.htm
http://www.supremelaw.org/cc/hill/guest.dave/Treasury.Contacts.txt

http://www.supremelaw.org/cc/hill/guest.tracy/business.card.gif
http://www.supremelaw.org/cc/hill/guest.tracy/request.for.authority.doc

http://www.supremelaw.org/cc/hill/hardee/case.for.sanctions.doc
http://www.supremelaw.org/cc/hill/hardee/case.for.sanctions.htm

http://www.supremelaw.org/cc/hill/harris/letter.2008-02-14/nad.affidavit.doc
http://www.supremelaw.org/cc/hill/harris/letter.2008-02-14/nad.affidavit.htm
http://www.supremelaw.org/cc/hill/harris/DCletter.pdf
http://www.supremelaw.org/cc/hill/harris/fax.transmission.verification.2013-01-02.gif
http://www.supremelaw.org/cc/hill/harris/nad.affidavit.doc
http://www.supremelaw.org/cc/hill/harris/nad.affidavit.htm

http://www.supremelaw.org/cc/hill/hawk/guest/business.card.gif
http://www.supremelaw.org/cc/hill/hawk/subpoena.rainbow/Contact.address.txt
http://www.supremelaw.org/cc/hill/hawk/subpoena.rainbow/page01.gif
http://www.supremelaw.org/cc/hill/hawk/subpoena.rainbow/page02.gif
http://www.supremelaw.org/cc/hill/hawk/subpoena.rainbow/page03.gif
http://www.supremelaw.org/cc/hill/hawk/subpoena.rainbow/usps.tracking.2013-01-08.htm
http://www.supremelaw.org/cc/hill/hawk/subpoena.rainbow/usps.tracking.2013-01-16.htm
http://www.supremelaw.org/cc/hill/hawk/Contact.address.txt
http://www.supremelaw.org/cc/hill/hawk/Sup%201-BT%20-%20MFP-Hill%20-%20MA-Hawk%20-%20IRS%20Card-Guest.pdf

http://www.supremelaw.org/cc/hill/hill.lucille/letter.2012-09-28/page01.gif
http://www.supremelaw.org/cc/hill/hill.lucille/letter.2012-09-28/page02.gif

http://www.supremelaw.org/cc/hill/hilliker/fax.transmission.verification.2013-01-04.gif
http://www.supremelaw.org/cc/hill/hilliker/nad.affidavit.doc
http://www.supremelaw.org/cc/hill/hilliker/nad.affidavit.htm

http://www.supremelaw.org/cc/hill/lemon/subpoena.yodan/usps.tracking.2013-01-09.htm

http://www.supremelaw.org/cc/hill/leschuck/foia.request.ausa.pdf

http://www.supremelaw.org/cc/hill/letter.2013-01-12/memo.doc
http://www.supremelaw.org/cc/hill/letter.2013-01-18/request.for.balance.due.doc

http://www.supremelaw.org/cc/hill/low/foia1/foia.request.low.sf-61.pdf
http://www.supremelaw.org/cc/hill/low/foia1/page01.gif
http://www.supremelaw.org/cc/hill/low/foia1/page01.jpg
http://www.supremelaw.org/cc/hill/low/foia1/page02.jpg
http://www.supremelaw.org/cc/hill/low/foia1/page03.jpg
http://www.supremelaw.org/cc/hill/low/foia2/foia.request.bop.personnel.pdf
http://www.supremelaw.org/cc/hill/low/letter.2014-04-19/page01.gif
http://www.supremelaw.org/cc/hill/low/letter.2014-04-19/page02.gif
http://www.supremelaw.org/cc/hill/low/letter.2014-04-19/page03.gif
http://www.supremelaw.org/cc/hill/low/letter.2014-04-19/page04.gif
http://www.supremelaw.org/cc/hill/low/letter.2014-04-19/page05.gif
http://www.supremelaw.org/cc/hill/low/letter.2014-04-26/page01.gif
http://www.supremelaw.org/cc/hill/low/letter.2014-04-26/page02.gif
http://www.supremelaw.org/cc/hill/low/letter.2014-05-05/page01.gif
http://www.supremelaw.org/cc/hill/low/letter.2014-05-05/page02.gif
http://www.supremelaw.org/cc/hill/low/letter.2014-05-05/page03.gif
http://www.supremelaw.org/cc/hill/low/psychologist.license.htm

http://www.supremelaw.org/cc/hill/maciel/subpoena.creative/SOS/Ariz.%20Corp.%20Comm.%20--%20Corporations%20Division.htm
http://www.supremelaw.org/cc/hill/maciel/subpoena.creative/page01.gif
http://www.supremelaw.org/cc/hill/maciel/subpoena.creative/page02.gif
http://www.supremelaw.org/cc/hill/maciel/subpoena.creative/page03.gif
http://www.supremelaw.org/cc/hill/maciel/subpoena.creative/Subpoena%20-%20Creative%20Printing%20&%20Copy%20Too%20LLC.pdf
http://www.supremelaw.org/cc/hill/maciel/subpoena.creative/usps.tracking.2013-01-09.htm
http://www.supremelaw.org/cc/hill/maciel/subpoena.creative/usps.tracking.2013-01-18.htm
http://www.supremelaw.org/cc/hill/maciel/subpoena.enlightened/Contact.Referral.htm
http://www.supremelaw.org/cc/hill/maciel/subpoena.enlightened/page01.gif
http://www.supremelaw.org/cc/hill/maciel/subpoena.enlightened/page02.gif
http://www.supremelaw.org/cc/hill/maciel/subpoena.enlightened/page03.gif
http://www.supremelaw.org/cc/hill/maciel/subpoena.enlightened/usps.tracking.2013-01-10.htm
http://www.supremelaw.org/cc/hill/maciel/subpoena.enlightened/usps.tracking.2013-01-25.htm
http://www.supremelaw.org/cc/hill/maciel/subpoena.signs/SOS/Ariz.%20Corp.%20Comm.%20--%20Corporations%20Division.htm
http://www.supremelaw.org/cc/hill/maciel/subpoena.signs/page01.gif
http://www.supremelaw.org/cc/hill/maciel/subpoena.signs/page02.gif
http://www.supremelaw.org/cc/hill/maciel/subpoena.signs/page03.gif
http://www.supremelaw.org/cc/hill/maciel/subpoena.signs/usps.tracking.2013-01-09.htm
http://www.supremelaw.org/cc/hill/maciel/subpoena.signs/usps.tracking.2013-01-18.htm
http://www.supremelaw.org/cc/hill/maciel/Sups-3%201-BT%202-LLC%20-%20MFP-Trupiano%20-%20MA-Mgr-Maciel.pdf

http://www.supremelaw.org/cc/hill/marcy/fax.transmission.2013-06-12.1/page01.gif
http://www.supremelaw.org/cc/hill/marcy/fax.transmission.2013-06-12.1/page02.gif
http://www.supremelaw.org/cc/hill/marcy/fax.transmission.2013-06-12.1/page03.gif
http://www.supremelaw.org/cc/hill/marcy/fax.transmission.2013-06-12.2/page01.gif
http://www.supremelaw.org/cc/hill/marcy/fax.transmission.2013-06-12.2/page02.gif
http://www.supremelaw.org/cc/hill/marcy/fax.transmission.2013-06-12.2/page03.gif
http://www.supremelaw.org/cc/hill/marcy/letter.2010-04-12/page01.gif
http://www.supremelaw.org/cc/hill/marcy/letter.2010-04-12/page02.gif
http://www.supremelaw.org/cc/hill/marcy/letter.2013-06-19/confidential.doc
http://www.supremelaw.org/cc/hill/marcy/letter.2013-06-19/confidential.htm
http://www.supremelaw.org/cc/hill/marcy/letter.2013-06-19/confidential.pdf
http://www.supremelaw.org/cc/hill/marcy/letter.2013-06-19/page01.gif
http://www.supremelaw.org/cc/hill/marcy/business.card.2.gif
http://www.supremelaw.org/cc/hill/marcy/business.card.2.refused.gif
http://www.supremelaw.org/cc/hill/marcy/business.card.gif
http://www.supremelaw.org/cc/hill/marcy/foia.request.1.doc
http://www.supremelaw.org/cc/hill/marcy/foia.request.1.htm
http://www.supremelaw.org/cc/hill/marcy/index.htm
http://www.supremelaw.org/cc/hill/marcy/index.html
http://www.supremelaw.org/cc/hill/marcy/request.for.authority.doc
http://www.supremelaw.org/cc/hill/marcy/request.for.authority.htm
http://www.supremelaw.org/cc/hill/marcy/Treasury.Contacts.txt

http://www.supremelaw.org/cc/hill/moyer/subpoena.laxmi/Contact.address.txt
http://www.supremelaw.org/cc/hill/moyer/subpoena.laxmi/page01.gif
http://www.supremelaw.org/cc/hill/moyer/subpoena.laxmi/page02.gif
http://www.supremelaw.org/cc/hill/moyer/subpoena.laxmi/page03.gif
http://www.supremelaw.org/cc/hill/moyer/subpoena.laxmi/usps.tracking.2013-01-11.htm
http://www.supremelaw.org/cc/hill/moyer/subpoena.laxmi/usps.tracking.2013-01-25.htm
http://www.supremelaw.org/cc/hill/moyer/Contact.address.txt
http://www.supremelaw.org/cc/hill/moyer/Sup%201-BT%20-%20MFP-Paille%20-%20MA-Moyer.pdf

http://www.supremelaw.org/cc/hill/murray/letter.2012-10-17/page01.gif
http://www.supremelaw.org/cc/hill/murray/letter.2012-11-15/page01.gif
http://www.supremelaw.org/cc/hill/murray/letter.2012-11-15/page02.gif
http://www.supremelaw.org/cc/hill/murray/letter.2013-01-11/affidavit.1.gif
http://www.supremelaw.org/cc/hill/murray/letter.2013-01-11/affidavit.2.gif
http://www.supremelaw.org/cc/hill/murray/letter.2013-01-11/page01.gif
http://www.supremelaw.org/cc/hill/murray/letter.2013-01-11/page02.gif
http://www.supremelaw.org/cc/hill/murray/letter.2013-04-22/page01.gif
http://www.supremelaw.org/cc/hill/murray/letter.2013-04-22/page01.refused.gif
http://www.supremelaw.org/cc/hill/murray/letter.2013-04-30/Notice.of.Errors.doc
http://www.supremelaw.org/cc/hill/murray/letter.2013-04-30/Notice.of.Errors.htm
http://www.supremelaw.org/cc/hill/murray/case.for.sanctions.doc
http://www.supremelaw.org/cc/hill/murray/case.for.sanctions.htm
http://www.supremelaw.org/cc/hill/murray/foia.request.1.doc
http://www.supremelaw.org/cc/hill/murray/foia.request.1.htm

http://www.supremelaw.org/cc/hill/murray2/letter.2015-04-09/page01.gif

http://www.supremelaw.org/cc/hill/ogis/consent.form/Consent%20Form.doc
http://www.supremelaw.org/cc/hill/ogis/consent.form/Consent%20Form.Paul.Andrew.Mitchell.doc
http://www.supremelaw.org/cc/hill/ogis/consent.form/Consent%20Form.Paul.Andrew.Mitchell.gif
http://www.supremelaw.org/cc/hill/ogis/consent.form/Consent%20Form.Paul.Andrew.Mitchell.pdf
http://www.supremelaw.org/cc/hill/ogis/consent.form/page01.gif
http://www.supremelaw.org/cc/hill/ogis/letter.2016-09-07/201601444%20Mitchell%20Ack%20Letter.pdf

http://www.supremelaw.org/cc/hill/pachares/business.card.gif
http://www.supremelaw.org/cc/hill/pachares/request.for.authority.doc

http://www.supremelaw.org/cc/hill/reeder/guest/business.card.gif
http://www.supremelaw.org/cc/hill/reeder/letter.2012-12-27/page01.gif
http://www.supremelaw.org/cc/hill/reeder/letter.2012-12-27/page02.gif
http://www.supremelaw.org/cc/hill/reeder/subpoena.black.coral/Contact.Referral.htm
http://www.supremelaw.org/cc/hill/reeder/subpoena.black.coral/page01.gif
http://www.supremelaw.org/cc/hill/reeder/subpoena.black.coral/page02.gif
http://www.supremelaw.org/cc/hill/reeder/subpoena.black.coral/page03.gif
http://www.supremelaw.org/cc/hill/reeder/subpoena.black.coral/usps.tracking.2013-01-08.htm
http://www.supremelaw.org/cc/hill/reeder/subpoena.black.coral/usps.tracking.2013-01-16.htm
http://www.supremelaw.org/cc/hill/reeder/subpoena.cornucopia/SOS/Ariz.%20Corp.%20Comm.%20--%20Corporations%20Division.htm
http://www.supremelaw.org/cc/hill/reeder/subpoena.cornucopia/Contact.Referral.htm
http://www.supremelaw.org/cc/hill/reeder/subpoena.cornucopia/page01.gif
http://www.supremelaw.org/cc/hill/reeder/subpoena.cornucopia/page02.gif
http://www.supremelaw.org/cc/hill/reeder/subpoena.cornucopia/page03.gif
http://www.supremelaw.org/cc/hill/reeder/subpoena.cornucopia/usps.tracking.2013-01-08.htm
http://www.supremelaw.org/cc/hill/reeder/subpoena.cornucopia/usps.tracking.2013-01-16.htm
http://www.supremelaw.org/cc/hill/reeder/subpoena.reeder.associates/SOS/Ariz.%20Corp.%20Comm.%20--%20Corporations%20Division.htm
http://www.supremelaw.org/cc/hill/reeder/subpoena.reeder.associates/page01.gif
http://www.supremelaw.org/cc/hill/reeder/subpoena.reeder.associates/page02.gif
http://www.supremelaw.org/cc/hill/reeder/subpoena.reeder.associates/page03.gif
http://www.supremelaw.org/cc/hill/reeder/subpoena.reeder.associates/usps.tracking.2013-01-10.htm
http://www.supremelaw.org/cc/hill/reeder/subpoena.reeder.associates/usps.tracking.2013-01-18.htm
http://www.supremelaw.org/cc/hill/reeder/subpoena.sirius.financial/SOS/Ariz.%20Corp.%20Comm.%20--%20Corporations%20Division.htm
http://www.supremelaw.org/cc/hill/reeder/subpoena.sirius.financial/page01.gif
http://www.supremelaw.org/cc/hill/reeder/subpoena.sirius.financial/page02.gif
http://www.supremelaw.org/cc/hill/reeder/subpoena.sirius.financial/page03.gif
http://www.supremelaw.org/cc/hill/reeder/subpoena.sirius.financial/usps.tracking.2013-01-10.htm
http://www.supremelaw.org/cc/hill/reeder/subpoena.sirius.financial/usps.tracking.2013-01-18.htm
http://www.supremelaw.org/cc/hill/reeder/subpoena.two.for.tango/Contact.Referral.htm
http://www.supremelaw.org/cc/hill/reeder/subpoena.two.for.tango/page01.gif
http://www.supremelaw.org/cc/hill/reeder/subpoena.two.for.tango/page02.gif
http://www.supremelaw.org/cc/hill/reeder/subpoena.two.for.tango/page03.gif
http://www.supremelaw.org/cc/hill/reeder/subpoena.two.for.tango/usps.tracking.2013-01-08.htm
http://www.supremelaw.org/cc/hill/reeder/subpoena.two.for.tango/usps.tracking.2013-01-16.htm
http://www.supremelaw.org/cc/hill/reeder/subpoena.windy.point/SOS/Ariz.%20Corp.%20Comm.%20--%20Corporations%20Division.htm
http://www.supremelaw.org/cc/hill/reeder/subpoena.windy.point/page01.gif
http://www.supremelaw.org/cc/hill/reeder/subpoena.windy.point/page02.gif
http://www.supremelaw.org/cc/hill/reeder/subpoena.windy.point/page03.gif
http://www.supremelaw.org/cc/hill/reeder/subpoena.windy.point/usps.tracking.2013-01-10.htm
http://www.supremelaw.org/cc/hill/reeder/subpoena.windy.point/usps.tracking.2013-01-18.htm
http://www.supremelaw.org/cc/hill/reeder/Sups-6%203-BT%203-LLC%20-%20MFP-Hill%20-%20MA-Mgr-Reeder%20-%20Card-Guest%20-%20Reeder-Response.pdf
http://www.supremelaw.org/cc/hill/reeder/usps.tracking.2013-01-10.1.htm
http://www.supremelaw.org/cc/hill/reeder/usps.tracking.2013-01-10.2.htm

http://www.supremelaw.org/cc/hill/rice/marcy/business.card.gif
http://www.supremelaw.org/cc/hill/rice/subpoena.avtomobilia/Contact.Address.txt
http://www.supremelaw.org/cc/hill/rice/subpoena.avtomobilia/page01.gif
http://www.supremelaw.org/cc/hill/rice/subpoena.avtomobilia/page02.gif
http://www.supremelaw.org/cc/hill/rice/subpoena.avtomobilia/page03.gif
http://www.supremelaw.org/cc/hill/rice/subpoena.avtomobilia/usps.tracking.2013-01-11.htm
http://www.supremelaw.org/cc/hill/rice/subpoena.avtomobilia/usps.tracking.2013-01-25.htm
http://www.supremelaw.org/cc/hill/rice/subpoena.eco-spirit/Contact.Address.txt
http://www.supremelaw.org/cc/hill/rice/subpoena.eco-spirit/page01.gif
http://www.supremelaw.org/cc/hill/rice/subpoena.eco-spirit/page02.gif
http://www.supremelaw.org/cc/hill/rice/subpoena.eco-spirit/page03.gif
http://www.supremelaw.org/cc/hill/rice/subpoena.eco-spirit/usps.tracking.2013-01-16.htm
http://www.supremelaw.org/cc/hill/rice/subpoena.sunset/Contact.Address.txt
http://www.supremelaw.org/cc/hill/rice/subpoena.sunset/page01.gif
http://www.supremelaw.org/cc/hill/rice/subpoena.sunset/page02.gif
http://www.supremelaw.org/cc/hill/rice/subpoena.sunset/page03.gif
http://www.supremelaw.org/cc/hill/rice/subpoena.sunset/usps.tracking.2013-01-08.htm
http://www.supremelaw.org/cc/hill/rice/subpoena.sunset/usps.tracking.2013-01-16.htm
http://www.supremelaw.org/cc/hill/rice/Contact.Address.txt
http://www.supremelaw.org/cc/hill/rice/Sups%203-BTs%20-%20MA-Rice%20-%20MFPs-Hill-Paille-Sisson%20-%20Card-Marcy.pdf

http://www.supremelaw.org/cc/hill/saccato/aclu/letter.2014-05-29/page01.gif
http://www.supremelaw.org/cc/hill/saccato/dpr/letter.2014-11-20/page01.gif
http://www.supremelaw.org/cc/hill/saccato/dpr/letter.2014-11-25/page01.gif
http://www.supremelaw.org/cc/hill/saccato/dpr/letter.2015-03-31/page01.gif
http://www.supremelaw.org/cc/hill/saccato/dpr/letter.2015-04-04/page01.gif
http://www.supremelaw.org/cc/hill/saccato/dpr/letter.2015-04-04/page02.gif
http://www.supremelaw.org/cc/hill/saccato/dpr/letter.2015-04-13/page01.gif
http://www.supremelaw.org/cc/hill/saccato/letter.2014-02-09/page01.gif
http://www.supremelaw.org/cc/hill/saccato/letter.2014-02-16.1/page01.gif
http://www.supremelaw.org/cc/hill/saccato/letter.2014-02-16.2/page01.gif
http://www.supremelaw.org/cc/hill/saccato/letter.2014-02-16.3/page01.gif
http://www.supremelaw.org/cc/hill/saccato/letter.2014-02-17.1/page01.gif
http://www.supremelaw.org/cc/hill/saccato/letter.2014-02-18.1/page01.gif
http://www.supremelaw.org/cc/hill/saccato/letter.2014-02-18.1/page02.gif
http://www.supremelaw.org/cc/hill/saccato/letter.2014-02-18.2/page01.gif
http://www.supremelaw.org/cc/hill/saccato/letter.2014-02-18.3/page01.gif
http://www.supremelaw.org/cc/hill/saccato/letter.2014-02-18.3/page02.gif
http://www.supremelaw.org/cc/hill/saccato/letter.2014-02-19.1/page01.gif
http://www.supremelaw.org/cc/hill/saccato/letter.2014-02-19.1/page02.gif
http://www.supremelaw.org/cc/hill/saccato/letter.2014-02-19.2/page01.gif
http://www.supremelaw.org/cc/hill/saccato/letter.2014-02-19.2/page02.gif
http://www.supremelaw.org/cc/hill/saccato/letter.2014-02-19.3/page01.gif
http://www.supremelaw.org/cc/hill/saccato/letter.2014-02-19.3/page02.gif
http://www.supremelaw.org/cc/hill/saccato/letter.2014-02-19.3/page03.gif
http://www.supremelaw.org/cc/hill/saccato/letter.2014-02-20.1/page01.gif
http://www.supremelaw.org/cc/hill/saccato/letter.2014-02-20.1/page02.gif
http://www.supremelaw.org/cc/hill/saccato/letter.2014-02-20.2/page01.gif
http://www.supremelaw.org/cc/hill/saccato/letter.2014-02-20.2/page02.gif
http://www.supremelaw.org/cc/hill/saccato/letter.2014-02-20.2/page03.gif
http://www.supremelaw.org/cc/hill/saccato/letter.2014-02-22.1/page01.gif
http://www.supremelaw.org/cc/hill/saccato/letter.2014-02-22.1/page02.gif
http://www.supremelaw.org/cc/hill/saccato/letter.2014-02-22.2/page01.gif
http://www.supremelaw.org/cc/hill/saccato/letter.2014-02-22.3/page01.gif
http://www.supremelaw.org/cc/hill/saccato/letter.2014-02-22.3/page02.gif
http://www.supremelaw.org/cc/hill/saccato/letter.2014-02-22.3/page03.gif
http://www.supremelaw.org/cc/hill/saccato/letter.2014-02-22.3/page04.gif
http://www.supremelaw.org/cc/hill/saccato/letter.2014-02-23.1/page01.gif
http://www.supremelaw.org/cc/hill/saccato/letter.2014-02-23.2/page01.gif
http://www.supremelaw.org/cc/hill/saccato/letter.2014-02-23.3/page01.gif
http://www.supremelaw.org/cc/hill/saccato/letter.2014-02-24.1/page01.gif
http://www.supremelaw.org/cc/hill/saccato/letter.2014-02-24.2/page01.gif
http://www.supremelaw.org/cc/hill/saccato/letter.2014-02-24.2/page02.gif
http://www.supremelaw.org/cc/hill/saccato/letter.2014-02-24.3/page01.gif
http://www.supremelaw.org/cc/hill/saccato/letter.2014-02-24.3/page02.gif
http://www.supremelaw.org/cc/hill/saccato/letter.2014-02-24.3/page03.gif
http://www.supremelaw.org/cc/hill/saccato/letter.2014-02-25.1/page01.gif
http://www.supremelaw.org/cc/hill/saccato/letter.2014-02-25.1/page02.gif
http://www.supremelaw.org/cc/hill/saccato/letter.2014-02-25.1/page03.gif
http://www.supremelaw.org/cc/hill/saccato/letter.2014-02-25.1/page04.gif
http://www.supremelaw.org/cc/hill/saccato/letter.2014-03-06.1/page01.gif
http://www.supremelaw.org/cc/hill/saccato/letter.2014-03-06.1/page02.gif
http://www.supremelaw.org/cc/hill/saccato/letter.2014-03-06.2/page01.gif
http://www.supremelaw.org/cc/hill/saccato/letter.2014-03-06.2/page02.gif
http://www.supremelaw.org/cc/hill/saccato/letter.2014-03-06.3/page01.gif
http://www.supremelaw.org/cc/hill/saccato/letter.2014-03-06.3/page02.gif
http://www.supremelaw.org/cc/hill/saccato/letter.2014-03-09/page01.gif
http://www.supremelaw.org/cc/hill/saccato/letter.2014-03-10/page01.gif
http://www.supremelaw.org/cc/hill/saccato/letter.2014-03-10/page02.gif
http://www.supremelaw.org/cc/hill/saccato/letter.2014-03-10/page03.gif
http://www.supremelaw.org/cc/hill/saccato/letter.2014-03-10/page04.gif
http://www.supremelaw.org/cc/hill/saccato/letter.2014-03-10/page05.gif
http://www.supremelaw.org/cc/hill/saccato/letter.2014-03-26/page01.gif
http://www.supremelaw.org/cc/hill/saccato/letter.2014-04-06/page01.gif
http://www.supremelaw.org/cc/hill/saccato/letter.2014-04-17/page01.gif
http://www.supremelaw.org/cc/hill/saccato/letter.2014-04-17/page02.gif
http://www.supremelaw.org/cc/hill/saccato/letter.2014-04-21.1/page01.gif
http://www.supremelaw.org/cc/hill/saccato/letter.2014-04-21.2/page01.gif
http://www.supremelaw.org/cc/hill/saccato/letter.2014-04-21.3/page01.gif
http://www.supremelaw.org/cc/hill/saccato/letter.2014-04-24/page01.gif
http://www.supremelaw.org/cc/hill/saccato/letter.2014-05-02/page01.gif
http://www.supremelaw.org/cc/hill/saccato/letter.2014-05-10/page01.gif
http://www.supremelaw.org/cc/hill/saccato/letter.2014-05-10/page02.gif
http://www.supremelaw.org/cc/hill/saccato/letter.2014-05-10/page03.gif
http://www.supremelaw.org/cc/hill/saccato/letter.2014-05-11/page01.gif
http://www.supremelaw.org/cc/hill/saccato/letter.2014-05-11/page02.gif
http://www.supremelaw.org/cc/hill/saccato/letter.2014-05-11/page03.gif
http://www.supremelaw.org/cc/hill/saccato/letter.2014-05-12.1/page01.gif
http://www.supremelaw.org/cc/hill/saccato/letter.2014-05-12.1/page02.gif
http://www.supremelaw.org/cc/hill/saccato/letter.2014-05-12.2/page01.gif
http://www.supremelaw.org/cc/hill/saccato/letter.2014-05-12.2/page02.gif
http://www.supremelaw.org/cc/hill/saccato/letter.2014-05-14/page01.gif
http://www.supremelaw.org/cc/hill/saccato/letter.2014-05-14/page02.gif
http://www.supremelaw.org/cc/hill/saccato/letter.2014-05-18/page01.gif
http://www.supremelaw.org/cc/hill/saccato/letter.2014-05-18/page02.gif
http://www.supremelaw.org/cc/hill/saccato/letter.2014-05-18/page03.gif
http://www.supremelaw.org/cc/hill/saccato/letter.2014-08-14/page01.gif
http://www.supremelaw.org/cc/hill/saccato/letter.2014-08-18/page01.gif
http://www.supremelaw.org/cc/hill/saccato/letter.2014-08-18/page02.gif
http://www.supremelaw.org/cc/hill/saccato/letter.2014-08-18/page03.gif
http://www.supremelaw.org/cc/hill/saccato/letter.2014-08-22/page01.gif
http://www.supremelaw.org/cc/hill/saccato/letter.2014-08-24/page01.gif
http://www.supremelaw.org/cc/hill/saccato/letter.2014-08-24/page02.gif
http://www.supremelaw.org/cc/hill/saccato/letter.2014-08-24/page03.gif
http://www.supremelaw.org/cc/hill/saccato/letter.2014-08-24/page04.gif
http://www.supremelaw.org/cc/hill/saccato/letter.2014-08-24/page05.gif
http://www.supremelaw.org/cc/hill/saccato/letter.2014-08-28.1/page01.gif
http://www.supremelaw.org/cc/hill/saccato/letter.2014-08-28.2/page01.gif
http://www.supremelaw.org/cc/hill/saccato/letter.2014-08-28.2/page02.gif
http://www.supremelaw.org/cc/hill/saccato/letter.2014-08-28.3/page01.gif
http://www.supremelaw.org/cc/hill/saccato/letter.2014-09-18/page01.gif
http://www.supremelaw.org/cc/hill/saccato/letter.2014-09-20/page01.gif
http://www.supremelaw.org/cc/hill/saccato/letter.2014-09-21/page01.gif
http://www.supremelaw.org/cc/hill/saccato/letter.2014-09-21/page02.gif
http://www.supremelaw.org/cc/hill/saccato/letter.2014-09-21/page03.gif
http://www.supremelaw.org/cc/hill/saccato/letter.2014-09-22/page01.gif
http://www.supremelaw.org/cc/hill/saccato/letter.2014-09-22/page02.gif
http://www.supremelaw.org/cc/hill/saccato/letter.2014-10-06/Harris.termination.10-6-14.pdf
http://www.supremelaw.org/cc/hill/saccato/letter.2014-10-16.1/page01.gif
http://www.supremelaw.org/cc/hill/saccato/letter.2014-10-16.1/page02.gif
http://www.supremelaw.org/cc/hill/saccato/letter.2014-10-16.2/page01.gif
http://www.supremelaw.org/cc/hill/saccato/letter.2014-10-16.2/page02.gif
http://www.supremelaw.org/cc/hill/saccato/letter.2014-10-16.3/page01.gif
http://www.supremelaw.org/cc/hill/saccato/letter.2014-10-20/page01.gif
http://www.supremelaw.org/cc/hill/saccato/letter.2014-10-20/page02.gif
http://www.supremelaw.org/cc/hill/saccato/letter.2014-10-23/page01.gif
http://www.supremelaw.org/cc/hill/saccato/letter.2014-10-23/page02.gif
http://www.supremelaw.org/cc/hill/saccato/letter.2014-10-24/CeaseDesistHarris10-24-14.pdf
http://www.supremelaw.org/cc/hill/saccato/letter.2014-10-31/page01.gif
http://www.supremelaw.org/cc/hill/saccato/letter.2014-10-31/page02.gif
http://www.supremelaw.org/cc/hill/saccato/letter.2014-11-07/page01.gif
http://www.supremelaw.org/cc/hill/saccato/letter.2014-11-09/page01.gif
http://www.supremelaw.org/cc/hill/saccato/letter.2014-11-13/page01.gif
http://www.supremelaw.org/cc/hill/saccato/letter.2014-11-13.2/page01.gif
http://www.supremelaw.org/cc/hill/saccato/letter.2014-11-14/page01.gif
http://www.supremelaw.org/cc/hill/saccato/letter.2014-11-19/page01.gif
http://www.supremelaw.org/cc/hill/saccato/letter.2014-11-19/page02.gif
http://www.supremelaw.org/cc/hill/saccato/letter.2014-11-23/page01.gif
http://www.supremelaw.org/cc/hill/saccato/letter.2014-12-03/page01.gif
http://www.supremelaw.org/cc/hill/saccato/letter.2014-12-03/page02.gif
http://www.supremelaw.org/cc/hill/saccato/letter.2014-12-04/page01.gif
http://www.supremelaw.org/cc/hill/saccato/letter.2014-12-04/page02.gif
http://www.supremelaw.org/cc/hill/saccato/letter.2014-12-05/page01.gif
http://www.supremelaw.org/cc/hill/saccato/letter.2014-12-05.2/page01.gif
http://www.supremelaw.org/cc/hill/saccato/letter.2014-12-05.2/page02.gif
http://www.supremelaw.org/cc/hill/saccato/letter.2014-12-05.3/page01.gif
http://www.supremelaw.org/cc/hill/saccato/letter.2014-12-05.3/page02.gif
http://www.supremelaw.org/cc/hill/saccato/letter.2014-12-09/page01.gif
http://www.supremelaw.org/cc/hill/saccato/letter.2014-12-09/page02.gif
http://www.supremelaw.org/cc/hill/saccato/letter.2014-12-09/page03.gif
http://www.supremelaw.org/cc/hill/saccato/letter.2014-12-09/page04.gif
http://www.supremelaw.org/cc/hill/saccato/letter.2014-12-09.2/letter.grady.county.jail.pdf
http://www.supremelaw.org/cc/hill/saccato/letter.2014-12-14/page01.gif
http://www.supremelaw.org/cc/hill/saccato/letter.2014-12-14/page02.gif
http://www.supremelaw.org/cc/hill/saccato/letter.2014-12-14.2/page01.gif
http://www.supremelaw.org/cc/hill/saccato/letter.2014-12-14.2/page02.gif
http://www.supremelaw.org/cc/hill/saccato/letter.2014-12-14.2/page03.gif
http://www.supremelaw.org/cc/hill/saccato/receipts/FDC.SeaTac.2014-02-19.gif
http://www.supremelaw.org/cc/hill/saccato/receipts/RTS.2014-03-14.gif
http://www.supremelaw.org/cc/hill/saccato/receipts/RTS.2014-04-07.gif
http://www.supremelaw.org/cc/hill/saccato/receipts/RTS.2014-11-07.gif
http://www.supremelaw.org/cc/hill/saccato/receipts/RTS.2014-12-10.gif
http://www.supremelaw.org/cc/hill/saccato/receipts/RTS.2014-12-15.gif
http://www.supremelaw.org/cc/hill/saccato/receipts/sbcdc.2014-03-21.gif
http://www.supremelaw.org/cc/hill/saccato/receipts/usps.2014-02-10.gif
http://www.supremelaw.org/cc/hill/saccato/receipts/usps.2014-02-18.gif
http://www.supremelaw.org/cc/hill/saccato/receipts/usps.2014-02-24.1.gif
http://www.supremelaw.org/cc/hill/saccato/receipts/usps.2014-02-24.2.gif
http://www.supremelaw.org/cc/hill/saccato/receipts/usps.2014-02-24.3.gif
http://www.supremelaw.org/cc/hill/saccato/receipts/usps.2014-02-25.gif
http://www.supremelaw.org/cc/hill/saccato/receipts/usps.2014-03-10.gif
http://www.supremelaw.org/cc/hill/saccato/receipts/usps.2014-03-14.1.gif
http://www.supremelaw.org/cc/hill/saccato/receipts/usps.2014-03-14.2.gif
http://www.supremelaw.org/cc/hill/saccato/receipts/usps.2014-03-26.gif
http://www.supremelaw.org/cc/hill/saccato/receipts/usps.2014-04-07.gif
http://www.supremelaw.org/cc/hill/saccato/receipts/usps.2014-04-29.gif
http://www.supremelaw.org/cc/hill/saccato/receipts/usps.2014-05-05.1.gif
http://www.supremelaw.org/cc/hill/saccato/receipts/usps.2014-05-05.2.gif
http://www.supremelaw.org/cc/hill/saccato/receipts/usps.tracking.2014-02-26.gif
http://www.supremelaw.org/cc/hill/saccato/receipts/usps.tracking.2014-03-12.gif
http://www.supremelaw.org/cc/hill/saccato/receipts/usps.tracking.2014-03-29.gif

http://www.supremelaw.org/cc/hill/Search.Warrant.2013-04-19/IRS.Search.Warrant.4-24-2013%20.pdf

http://www.supremelaw.org/cc/hill/Search.Warrant.2013-06-10/creatura/state.bar.record.htm
http://www.supremelaw.org/cc/hill/Search.Warrant.2013-06-10/landis.lori/deputy.clerk.signature.JPG
http://www.supremelaw.org/cc/hill/Search.Warrant.2013-06-10/landis.lori/nad.appointment.affidavit.defau.t.gif
http://www.supremelaw.org/cc/hill/Search.Warrant.2013-06-10/landis.lori/nad.appointment.affidavit.default.gif
http://www.supremelaw.org/cc/hill/Search.Warrant.2013-06-10/landis.lori/nad.appointment.affidavit.doc
http://www.supremelaw.org/cc/hill/Search.Warrant.2013-06-10/landis.lori/nad.appointment.affidavit.htm
http://www.supremelaw.org/cc/hill/Search.Warrant.2013-06-10/index.htm
http://www.supremelaw.org/cc/hill/Search.Warrant.2013-06-10/index.html
http://www.supremelaw.org/cc/hill/Search.Warrant.2013-06-10/page01.gif
http://www.supremelaw.org/cc/hill/Search.Warrant.2013-06-10/page01.refused.gif
http://www.supremelaw.org/cc/hill/Search.Warrant.2013-06-10/page02.gif
http://www.supremelaw.org/cc/hill/Search.Warrant.2013-06-10/page03.gif
http://www.supremelaw.org/cc/hill/Search.Warrant.2013-06-10/page04.gif
http://www.supremelaw.org/cc/hill/Search.Warrant.2013-06-10/page05.gif
http://www.supremelaw.org/cc/hill/Search.Warrant.2013-06-10/page05.redacted.gif
http://www.supremelaw.org/cc/hill/Search.Warrant.2013-06-10/page06.gif
http://www.supremelaw.org/cc/hill/Search.Warrant.2013-06-10/page07.gif
http://www.supremelaw.org/cc/hill/Search.Warrant.2013-06-10/page08.gif
http://www.supremelaw.org/cc/hill/Search.Warrant.2013-06-10/page09.gif
http://www.supremelaw.org/cc/hill/Search.Warrant.2013-06-10/page10.gif

http://www.supremelaw.org/cc/hill/tenney/state.bar.record.htm


http://www.supremelaw.org/cc/hill/tort.claim/auerbach/letter.2016-07-05/page01.gif
http://www.supremelaw.org/cc/hill/tort.claim/auerbach/letter.2016-07-05/page01.refused.gif
http://www.supremelaw.org/cc/hill/tort.claim/auerbach/letter.2016-07-05/page02.gif
http://www.supremelaw.org/cc/hill/tort.claim/auerbach/letter.2016-07-05/page02.refused.gif
http://www.supremelaw.org/cc/hill/tort.claim/auerbach/letter.2016-07-05/page03.gif
http://www.supremelaw.org/cc/hill/tort.claim/auerbach/letter.2016-08-17/page01.gif
http://www.supremelaw.org/cc/hill/tort.claim/auerbach/letter.2016-08-17/page01.refused.gif
http://www.supremelaw.org/cc/hill/tort.claim/auerbach/letter.2016-09-02/Mitchell,%20Paul%2016-004924%20USMS.pdf
http://www.supremelaw.org/cc/hill/tort.claim/auerbach/letter.2016-09-12/page01.gif
http://www.supremelaw.org/cc/hill/tort.claim/auerbach/letter.2016-09-12/page02.gif
http://www.supremelaw.org/cc/hill/tort.claim/auerbach/letter.2016-09-12/page03.gif
http://www.supremelaw.org/cc/hill/tort.claim/auerbach/letter.2016-09-12/page04.gif
http://www.supremelaw.org/cc/hill/tort.claim/auerbach/letter.2016-09-12/page05.gif
http://www.supremelaw.org/cc/hill/tort.claim/auerbach/letter.2016-09-12/page06.gif
http://www.supremelaw.org/cc/hill/tort.claim/auerbach/letter.2016-09-21/Paul%20Andrew%20Mitchell.pdf
http://www.supremelaw.org/cc/hill/tort.claim/auerbach/letter.2016-09-26/page01.gif
http://www.supremelaw.org/cc/hill/tort.claim/auerbach/letter.2016-09-26/page02.gif
http://www.supremelaw.org/cc/hill/tort.claim/auerbach/letter.2016-09-28/page01.gif
http://www.supremelaw.org/cc/hill/tort.claim/auerbach/letter.2016-09-28/page02.gif
http://www.supremelaw.org/cc/hill/tort.claim/auerbach/State.Bar/complaint_form.2016-08-03.pdf
http://www.supremelaw.org/cc/hill/tort.claim/auerbach/affidavit.gif
http://www.supremelaw.org/cc/hill/tort.claim/auerbach/affidavit.refused.gif
http://www.supremelaw.org/cc/hill/tort.claim/auerbach/FOIA.Appeal.DOJ-AP-2016-004924.pdf
http://www.supremelaw.org/cc/hill/tort.claim/auerbach/foia.request.auerbach.doc
http://www.supremelaw.org/cc/hill/tort.claim/auerbach/foia.request.auerbach.htm
http://www.supremelaw.org/cc/hill/tort.claim/auerbach/foia.request.auerbach.pdf
http://www.supremelaw.org/cc/hill/tort.claim/auerbach/foia.request.auerbach.verified.doc
http://www.supremelaw.org/cc/hill/tort.claim/auerbach/foia.request.auerbach.verified.htm
http://www.supremelaw.org/cc/hill/tort.claim/auerbach/foia.request.auerbach.verified.pdf
http://www.supremelaw.org/cc/hill/tort.claim/auerbach/Gmail%20-%20FOIA%20Appeal%20DOJ-AP-2016-004924%20Submitted.htm
http://www.supremelaw.org/cc/hill/tort.claim/auerbach/Gmail%20-%20FOIA%20Appeal%20DOJ-AP-2016-004924%20Submitted.pdf
http://www.supremelaw.org/cc/hill/tort.claim/auerbach/mailing.address.auerbach.txt
http://www.supremelaw.org/cc/hill/tort.claim/auerbach/mailing.address.bordley.txt
http://www.supremelaw.org/cc/hill/tort.claim/auerbach/mailing.address.vsb.txt
http://www.supremelaw.org/cc/hill/tort.claim/auerbach/nad.affidavit.doc
http://www.supremelaw.org/cc/hill/tort.claim/auerbach/nad.affidavit.htm
http://www.supremelaw.org/cc/hill/tort.claim/auerbach/nad.affidavit.pdf
http://www.supremelaw.org/cc/hill/tort.claim/auerbach/reservation.of.right.to.inspect.doc
http://www.supremelaw.org/cc/hill/tort.claim/auerbach/reservation.of.right.to.inspect.htm
http://www.supremelaw.org/cc/hill/tort.claim/auerbach/reservation.of.right.to.inspect.pdf
http://www.supremelaw.org/cc/hill/tort.claim/auerbach/state.bar.record.vsb.doc
http://www.supremelaw.org/cc/hill/tort.claim/auerbach/state.bar.record.vsb.htm
http://www.supremelaw.org/cc/hill/tort.claim/auerbach/state.bar.record.vsb.pdf
http://www.supremelaw.org/cc/hill/tort.claim/auerbach/usps.green.card.70092820000232581490.gif
http://www.supremelaw.org/cc/hill/tort.claim/auerbach/usps.sales.receipt.2017-01-11.gif
http://www.supremelaw.org/cc/hill/tort.claim/auerbach/usps.tracking.70092820000232581490.htm
http://www.supremelaw.org/cc/hill/tort.claim/auerbach/usps.tracking.9505521388116179000258.htm
http://www.supremelaw.org/cc/hill/tort.claim/auerbach/usps.tracking.9505521388116191000632.htm

http://www.supremelaw.org/cc/hill/tort.claim/corwin/letter.2016-08-17/page01.gif
http://www.supremelaw.org/cc/hill/tort.claim/corwin/letter.2016-08-17/page02.gif
http://www.supremelaw.org/cc/hill/tort.claim/corwin/letter.2016-09-02/Mitchell,%20Paul%20A.%2016-004926%20-004927%20-004928%20-004964-3.pdf
http://www.supremelaw.org/cc/hill/tort.claim/corwin/letter.2016-09-20/page01.gif
http://www.supremelaw.org/cc/hill/tort.claim/corwin/letter.2016-09-20/page02.gif
http://www.supremelaw.org/cc/hill/tort.claim/corwin/letter.2016-09-20/page03.gif
http://www.supremelaw.org/cc/hill/tort.claim/corwin/letter.2016-09-20/page04.gif
http://www.supremelaw.org/cc/hill/tort.claim/corwin/letter.2016-09-20/page05.gif
http://www.supremelaw.org/cc/hill/tort.claim/corwin/letter.2016-09-20/page06.gif
http://www.supremelaw.org/cc/hill/tort.claim/corwin/letter.2016-11-29/page01.gif
http://www.supremelaw.org/cc/hill/tort.claim/corwin/letter.2016-11-29/page02.gif
http://www.supremelaw.org/cc/hill/tort.claim/corwin/letter.2016-12-29/page01.gif
http://www.supremelaw.org/cc/hill/tort.claim/corwin/letter.2016-12-29/page02.gif
http://www.supremelaw.org/cc/hill/tort.claim/corwin/letter.2016-12-29/page03.gif
http://www.supremelaw.org/cc/hill/tort.claim/corwin/letter.2016-12-29/page04.gif
http://www.supremelaw.org/cc/hill/tort.claim/corwin/letter.2016-12-29/page05.gif
http://www.supremelaw.org/cc/hill/tort.claim/corwin/affidavit.2.gif
http://www.supremelaw.org/cc/hill/tort.claim/corwin/affidavit.gif
http://www.supremelaw.org/cc/hill/tort.claim/corwin/affidavit.refused.gif
http://www.supremelaw.org/cc/hill/tort.claim/corwin/certificate.of.mailing.2016-10-11.gif
http://www.supremelaw.org/cc/hill/tort.claim/corwin/certificate.of.mailing.2016-12-08.2.gif
http://www.supremelaw.org/cc/hill/tort.claim/corwin/certificate.of.mailing.2016-12-08.gif
http://www.supremelaw.org/cc/hill/tort.claim/corwin/certificate.of.mailing.2017-01-11.1.gif
http://www.supremelaw.org/cc/hill/tort.claim/corwin/certificate.of.mailing.2017-01-11.2.gif
http://www.supremelaw.org/cc/hill/tort.claim/corwin/FOIA.Appeal.DOJ-AP-2016-004926.pdf
http://www.supremelaw.org/cc/hill/tort.claim/corwin/foia.request.corwin.doc
http://www.supremelaw.org/cc/hill/tort.claim/corwin/foia.request.corwin.htm
http://www.supremelaw.org/cc/hill/tort.claim/corwin/foia.request.corwin.pdf
http://www.supremelaw.org/cc/hill/tort.claim/corwin/Gmail%20-%20FOIA%20Appeal%20DOJ-AP-2016-004926%20Submitted.htm
http://www.supremelaw.org/cc/hill/tort.claim/corwin/Gmail%20-%20FOIA%20Appeal%20DOJ-AP-2016-004926%20Submitted.pdf
http://www.supremelaw.org/cc/hill/tort.claim/corwin/nad.affidavit.doc
http://www.supremelaw.org/cc/hill/tort.claim/corwin/nad.affidavit.htm
http://www.supremelaw.org/cc/hill/tort.claim/corwin/nad.affidavit.pdf
http://www.supremelaw.org/cc/hill/tort.claim/corwin/reservation.of.right.to.inspect.doc
http://www.supremelaw.org/cc/hill/tort.claim/corwin/reservation.of.right.to.inspect.htm
http://www.supremelaw.org/cc/hill/tort.claim/corwin/reservation.of.right.to.inspect.pdf
http://www.supremelaw.org/cc/hill/tort.claim/corwin/state.bar.record.dcbar.doc
http://www.supremelaw.org/cc/hill/tort.claim/corwin/state.bar.record.dcbar.htm
http://www.supremelaw.org/cc/hill/tort.claim/corwin/state.bar.record.dcbar.pdf
http://www.supremelaw.org/cc/hill/tort.claim/corwin/usps.green.card.70092820000232581384.gif
http://www.supremelaw.org/cc/hill/tort.claim/corwin/usps.sales.receipt.2016-12-08.gif
http://www.supremelaw.org/cc/hill/tort.claim/corwin/usps.sales.receipt.2017-01-11.gif
http://www.supremelaw.org/cc/hill/tort.claim/corwin/usps.sales.receipt.2017-01-13.gif
http://www.supremelaw.org/cc/hill/tort.claim/corwin/usps.tracking.70092820000232581292.htm
http://www.supremelaw.org/cc/hill/tort.claim/corwin/usps.tracking.70092820000232581384.htm
http://www.supremelaw.org/cc/hill/tort.claim/corwin/usps.tracking.9505516498367013004648.htm

http://www.supremelaw.org/cc/hill/tort.claim/defazio/evidence.2016-10-05/page01.gif
http://www.supremelaw.org/cc/hill/tort.claim/defazio/evidence.2016-10-05/page02.gif
http://www.supremelaw.org/cc/hill/tort.claim/defazio/evidence.2016-10-05/page03.gif
http://www.supremelaw.org/cc/hill/tort.claim/defazio/evidence.2016-10-05/page04.gif
http://www.supremelaw.org/cc/hill/tort.claim/defazio/evidence.2016-10-05/page05.gif
http://www.supremelaw.org/cc/hill/tort.claim/defazio/evidence.2016-10-05/page06.gif
http://www.supremelaw.org/cc/hill/tort.claim/defazio/evidence.2016-10-05/page07.gif
http://www.supremelaw.org/cc/hill/tort.claim/defazio/evidence.2016-10-05/page08.gif
http://www.supremelaw.org/cc/hill/tort.claim/defazio/evidence.2016-10-05/page09.gif
http://www.supremelaw.org/cc/hill/tort.claim/defazio/evidence.2016-10-05/page10.gif
http://www.supremelaw.org/cc/hill/tort.claim/defazio/evidence.2016-10-05/page11.gif
http://www.supremelaw.org/cc/hill/tort.claim/defazio/evidence.2016-10-05/page12.gif
http://www.supremelaw.org/cc/hill/tort.claim/defazio/evidence.2016-10-05/page13.gif
http://www.supremelaw.org/cc/hill/tort.claim/defazio/evidence.2016-10-05/page14.gif
http://www.supremelaw.org/cc/hill/tort.claim/defazio/letter.2016-07-21/Defazio_2016_Paul%20Mitchell_Draft.3.doc
http://www.supremelaw.org/cc/hill/tort.claim/defazio/letter.2016-07-21/Defazio_2016_Paul%20Mitchell_Draft.4.doc
http://www.supremelaw.org/cc/hill/tort.claim/defazio/letter.2016-07-21/leif.letter.2.doc
http://www.supremelaw.org/cc/hill/tort.claim/defazio/letter.2016-07-21/leif.letter.doc
http://www.supremelaw.org/cc/hill/tort.claim/defazio/letter.2016-07-26/page01.gif
http://www.supremelaw.org/cc/hill/tort.claim/defazio/letter.2016-07-26/page02.gif
http://www.supremelaw.org/cc/hill/tort.claim/defazio/letter.2016-08-03/page01.gif
http://www.supremelaw.org/cc/hill/tort.claim/defazio/letter.2016-08-03/privacy.waiver.blank.gif
http://www.supremelaw.org/cc/hill/tort.claim/defazio/letter.2016-08-03/privacy.waiver.completed.gif
http://www.supremelaw.org/cc/hill/tort.claim/defazio/letter.2016-08-03/privacy.waiver.footnotes.doc
http://www.supremelaw.org/cc/hill/tort.claim/defazio/letter.2016-08-08/privacy.waiver.completed.gif
http://www.supremelaw.org/cc/hill/tort.claim/defazio/letter.2016-08-08/privacy.waiver.footnotes.doc
http://www.supremelaw.org/cc/hill/tort.claim/defazio/letter.2016-08-12/page01.JPG
http://www.supremelaw.org/cc/hill/tort.claim/defazio/letter.2016-08-15/objection.cease.and.desist.doc
http://www.supremelaw.org/cc/hill/tort.claim/defazio/letter.2016-08-15/objection.cease.and.desist.htm
http://www.supremelaw.org/cc/hill/tort.claim/defazio/letter.2016-10-08/question.re.jw.doc
http://www.supremelaw.org/cc/hill/tort.claim/defazio/letter.2016-10-08/question.re.jw.htm
http://www.supremelaw.org/cc/hill/tort.claim/defazio/vcc/letter.2017-02-27/usps.supervisor.doc
http://www.supremelaw.org/cc/hill/tort.claim/defazio/vcc/letter.2017-02-27/usps.supervisor.htm
http://www.supremelaw.org/cc/hill/tort.claim/defazio/vcc/letter.2017-02-27/usps.supervisor.pdf
http://www.supremelaw.org/cc/hill/tort.claim/defazio/vcc/letter.2017-03-10/cease.and.desist.htm
http://www.supremelaw.org/cc/hill/tort.claim/defazio/vcc/letter.2017-03-10/usps.sales.receipt.2017-03-10.gif
http://www.supremelaw.org/cc/hill/tort.claim/defazio/vcc/letter.2017-03-10/usps.tracking.9505515456187069053974.htm
http://www.supremelaw.org/cc/hill/tort.claim/defazio/vcc/transmittal.doc
http://www.supremelaw.org/cc/hill/tort.claim/defazio/vcc/transmittal.htm
http://www.supremelaw.org/cc/hill/tort.claim/defazio/vcc/transmittal.pdf
http://www.supremelaw.org/cc/hill/tort.claim/defazio/vcc/usps.sales.receipt.2017-02-27.1.gif
http://www.supremelaw.org/cc/hill/tort.claim/defazio/vcc/usps.sales.receipt.2017-02-27.2.gif
http://www.supremelaw.org/cc/hill/tort.claim/defazio/vcc/usps.tracking.9505515456187058050977.htm
http://www.supremelaw.org/cc/hill/tort.claim/defazio/vcc/usps.tracking.9505515456187058050984.htm
http://www.supremelaw.org/cc/hill/tort.claim/defazio/vcc/usps.tracking.9505515456187058050991.htm
http://www.supremelaw.org/cc/hill/tort.claim/defazio/vcc/usps.tracking.9505515456187069053974.htm
http://www.supremelaw.org/cc/hill/tort.claim/defazio/vcc/vcc.doc
http://www.supremelaw.org/cc/hill/tort.claim/defazio/vcc/vcc.htm
http://www.supremelaw.org/cc/hill/tort.claim/defazio/vcc/vcc.pdf
http://www.supremelaw.org/cc/hill/tort.claim/defazio/20160815_171333.jpg
http://www.supremelaw.org/cc/hill/tort.claim/defazio/arbitration.doc
http://www.supremelaw.org/cc/hill/tort.claim/defazio/arbitration.htm
http://www.supremelaw.org/cc/hill/tort.claim/defazio/arbitration.pdf
http://www.supremelaw.org/cc/hill/tort.claim/defazio/mailing.addresses.txt
http://www.supremelaw.org/cc/hill/tort.claim/defazio/usps.tracking.70092820000232581353.htm
http://www.supremelaw.org/cc/hill/tort.claim/defazio/usps.tracking.9500121388116250000822.htm
http://www.supremelaw.org/cc/hill/tort.claim/defazio/usps.tracking.9505515456176182002792.htm
http://www.supremelaw.org/cc/hill/tort.claim/defazio/usps.tracking.9505521388116222000464.htm
http://www.supremelaw.org/cc/hill/tort.claim/defazio/usps.tracking.9505521388116242000277.htm
http://www.supremelaw.org/cc/hill/tort.claim/defazio/usps.tracking.9505521388116242000314.htm

http://www.supremelaw.org/cc/hill/tort.claim/flax/letter.2016-11-02/page01.gif
http://www.supremelaw.org/cc/hill/tort.claim/flax/letter.2016-11-02/page02.gif
http://www.supremelaw.org/cc/hill/tort.claim/flax/letter.2016-11-14/page01.gif
http://www.supremelaw.org/cc/hill/tort.claim/flax/letter.2016-11-14/page02.gif
http://www.supremelaw.org/cc/hill/tort.claim/flax/affidavit.gif
http://www.supremelaw.org/cc/hill/tort.claim/flax/affidavit.refused.gif
http://www.supremelaw.org/cc/hill/tort.claim/flax/certificate.of.mailing.2016-10-11.2.GIF
http://www.supremelaw.org/cc/hill/tort.claim/flax/certificate.of.mailing.2016-10-11.gif
http://www.supremelaw.org/cc/hill/tort.claim/flax/certificate.of.mailing.2017-01-13.1.gif
http://www.supremelaw.org/cc/hill/tort.claim/flax/certificate.of.mailing.2017-01-13.2.gif
http://www.supremelaw.org/cc/hill/tort.claim/flax/foia.request.flax.doc
http://www.supremelaw.org/cc/hill/tort.claim/flax/foia.request.flax.htm
http://www.supremelaw.org/cc/hill/tort.claim/flax/foia.request.flax.pdf
http://www.supremelaw.org/cc/hill/tort.claim/flax/irs.contacts.doj.re.prosecution.doc
http://www.supremelaw.org/cc/hill/tort.claim/flax/irs.contacts.doj.re.prosecution.htm
http://www.supremelaw.org/cc/hill/tort.claim/flax/irs.contacts.doj.re.prosecution.pdf
http://www.supremelaw.org/cc/hill/tort.claim/flax/JW1559-000183.pdf
http://www.supremelaw.org/cc/hill/tort.claim/flax/mailing.address.2.txt
http://www.supremelaw.org/cc/hill/tort.claim/flax/mailing.address.txt
http://www.supremelaw.org/cc/hill/tort.claim/flax/reservation.of.right.to.inspect.doc
http://www.supremelaw.org/cc/hill/tort.claim/flax/reservation.of.right.to.inspect.htm
http://www.supremelaw.org/cc/hill/tort.claim/flax/reservation.of.right.to.inspect.pdf
http://www.supremelaw.org/cc/hill/tort.claim/flax/usps.sales.receipt.2017-01-13.gif

http://www.supremelaw.org/cc/hill/tort.claim/grant/certificate.of.mailing.2017-03-06.gif
http://www.supremelaw.org/cc/hill/tort.claim/grant/foia.request.doc
http://www.supremelaw.org/cc/hill/tort.claim/grant/foia.request.htm
http://www.supremelaw.org/cc/hill/tort.claim/grant/foia.request.pdf
http://www.supremelaw.org/cc/hill/tort.claim/grant/nad.affidavit.doc
http://www.supremelaw.org/cc/hill/tort.claim/grant/nad.affidavit.htm
http://www.supremelaw.org/cc/hill/tort.claim/grant/nad.affidavit.pdf
http://www.supremelaw.org/cc/hill/tort.claim/grant/usps.sales.receipt.2017-03-06.gif
http://www.supremelaw.org/cc/hill/tort.claim/grant/usps.tracking.9505515456187065052322.htm

http://www.supremelaw.org/cc/hill/tort.claim/griffith/THE%20FEDERAL%20TORT%20CLAIMS%20ACT%207-29-08%20ds.pdf

http://www.supremelaw.org/cc/hill/tort.claim/grodnitzky/certificate.of.mailing.2017-03-06.gif
http://www.supremelaw.org/cc/hill/tort.claim/grodnitzky/foia.request.doc
http://www.supremelaw.org/cc/hill/tort.claim/grodnitzky/foia.request.htm
http://www.supremelaw.org/cc/hill/tort.claim/grodnitzky/foia.request.pdf
http://www.supremelaw.org/cc/hill/tort.claim/grodnitzky/nad.affidavit.doc
http://www.supremelaw.org/cc/hill/tort.claim/grodnitzky/nad.affidavit.htm
http://www.supremelaw.org/cc/hill/tort.claim/grodnitzky/nad.affidavit.pdf
http://www.supremelaw.org/cc/hill/tort.claim/grodnitzky/usps.sales.receipt.2017-03-06.gif
http://www.supremelaw.org/cc/hill/tort.claim/grodnitzky/usps.tracking.9505515456187065052322.htm

http://www.supremelaw.org/cc/hill/tort.claim/harlow/letter.2016-09-26/page01.gif
http://www.supremelaw.org/cc/hill/tort.claim/harlow/letter.2016-09-26/page02.gif
http://www.supremelaw.org/cc/hill/tort.claim/harlow/letter.2017-01-13/page01.gif
http://www.supremelaw.org/cc/hill/tort.claim/harlow/letter.2017-01-13/page02.gif
http://www.supremelaw.org/cc/hill/tort.claim/harlow/certificate.of.mailing.2017-01-13.1.gif
http://www.supremelaw.org/cc/hill/tort.claim/harlow/certificate.of.mailing.2017-01-13.2.gif
http://www.supremelaw.org/cc/hill/tort.claim/harlow/foia.request.harlow.verified.doc
http://www.supremelaw.org/cc/hill/tort.claim/harlow/foia.request.harlow.verified.htm
http://www.supremelaw.org/cc/hill/tort.claim/harlow/foia.request.harlow.verified.pdf
http://www.supremelaw.org/cc/hill/tort.claim/harlow/mailing.address.txt
http://www.supremelaw.org/cc/hill/tort.claim/harlow/nad.affidavit.doc
http://www.supremelaw.org/cc/hill/tort.claim/harlow/nad.affidavit.htm
http://www.supremelaw.org/cc/hill/tort.claim/harlow/nad.affidavit.pdf
http://www.supremelaw.org/cc/hill/tort.claim/harlow/reservation.of.right.to.inspect.doc
http://www.supremelaw.org/cc/hill/tort.claim/harlow/reservation.of.right.to.inspect.htm
http://www.supremelaw.org/cc/hill/tort.claim/harlow/reservation.of.right.to.inspect.pdf
http://www.supremelaw.org/cc/hill/tort.claim/harlow/usps.green.card.70092820000232581360.gif
http://www.supremelaw.org/cc/hill/tort.claim/harlow/usps.green.card.70092820000232581476.gif
http://www.supremelaw.org/cc/hill/tort.claim/harlow/usps.sales.receipt.2017-01-13.gif
http://www.supremelaw.org/cc/hill/tort.claim/harlow/usps.tracking.70092820000232581360.htm
http://www.supremelaw.org/cc/hill/tort.claim/harlow/usps.tracking.70092820000232581476.htm
http://www.supremelaw.org/cc/hill/tort.claim/harlow/usps.tracking.9500121388116238000219.htm
http://www.supremelaw.org/cc/hill/tort.claim/harlow/usps.tracking.9505516498367023010196.htm
http://www.supremelaw.org/cc/hill/tort.claim/harlow/usps.tracking.9505521388116242000284.htm

http://www.supremelaw.org/cc/hill/tort.claim/hull/certificate.of.mailing.2017-03-06.gif
http://www.supremelaw.org/cc/hill/tort.claim/hull/foia.request.doc
http://www.supremelaw.org/cc/hill/tort.claim/hull/foia.request.htm
http://www.supremelaw.org/cc/hill/tort.claim/hull/foia.request.pdf
http://www.supremelaw.org/cc/hill/tort.claim/hull/nad.affidavit.doc
http://www.supremelaw.org/cc/hill/tort.claim/hull/nad.affidavit.htm
http://www.supremelaw.org/cc/hill/tort.claim/hull/nad.affidavit.pdf
http://www.supremelaw.org/cc/hill/tort.claim/hull/usps.sales.receipt.2017-03-06.gif
http://www.supremelaw.org/cc/hill/tort.claim/hull/usps.tracking.9505515456187065052322.htm

http://www.supremelaw.org/cc/hill/tort.claim/ingram/certificate.of.mailing.2017-03-06.gif
http://www.supremelaw.org/cc/hill/tort.claim/ingram/foia.request.doc
http://www.supremelaw.org/cc/hill/tort.claim/ingram/foia.request.htm
http://www.supremelaw.org/cc/hill/tort.claim/ingram/foia.request.pdf
http://www.supremelaw.org/cc/hill/tort.claim/ingram/nad.affidavit.doc
http://www.supremelaw.org/cc/hill/tort.claim/ingram/nad.affidavit.htm
http://www.supremelaw.org/cc/hill/tort.claim/ingram/nad.affidavit.pdf
http://www.supremelaw.org/cc/hill/tort.claim/ingram/usps.sales.receipt.2017-03-06.gif
http://www.supremelaw.org/cc/hill/tort.claim/ingram/usps.tracking.9505515456187065052322.htm

http://www.supremelaw.org/cc/hill/tort.claim/kaizen/letter.2016-07-05/page01.gif
http://www.supremelaw.org/cc/hill/tort.claim/kaizen/letter.2016-07-05/page01.refused.gif
http://www.supremelaw.org/cc/hill/tort.claim/kaizen/letter.2016-07-05/page02.gif
http://www.supremelaw.org/cc/hill/tort.claim/kaizen/letter.2016-07-05/page02.refused.gif
http://www.supremelaw.org/cc/hill/tort.claim/kaizen/letter.2016-07-05/page03.gif
http://www.supremelaw.org/cc/hill/tort.claim/kaizen/letter.2016-09-02/Mitchell,%20Paul%20A.%2016-004926%20-004927%20-004928%20-004964-6.pdf
http://www.supremelaw.org/cc/hill/tort.claim/kaizen/letter.2016-09-07/affidavit.gif
http://www.supremelaw.org/cc/hill/tort.claim/kaizen/letter.2016-09-07/page01.gif
http://www.supremelaw.org/cc/hill/tort.claim/kaizen/letter.2016-09-07/page02.gif
http://www.supremelaw.org/cc/hill/tort.claim/kaizen/letter.2016-09-20/page01.gif
http://www.supremelaw.org/cc/hill/tort.claim/kaizen/letter.2016-09-20/page02.gif
http://www.supremelaw.org/cc/hill/tort.claim/kaizen/letter.2016-09-20/page03.gif
http://www.supremelaw.org/cc/hill/tort.claim/kaizen/letter.2016-09-20/page04.gif
http://www.supremelaw.org/cc/hill/tort.claim/kaizen/letter.2016-09-20/page05.gif
http://www.supremelaw.org/cc/hill/tort.claim/kaizen/letter.2016-09-20/page06.gif
http://www.supremelaw.org/cc/hill/tort.claim/kaizen/letter.2016-09-20/page07.gif
http://www.supremelaw.org/cc/hill/tort.claim/kaizen/letter.2016-09-20/page08.gif
http://www.supremelaw.org/cc/hill/tort.claim/kaizen/letter.2016-09-20/page09.gif
http://www.supremelaw.org/cc/hill/tort.claim/kaizen/letter.2016-09-21/final.demand.to.return.doc
http://www.supremelaw.org/cc/hill/tort.claim/kaizen/letter.2016-09-21/final.demand.to.return.htm
http://www.supremelaw.org/cc/hill/tort.claim/kaizen/letter.2016-09-21/final.demand.to.return.pdf
http://www.supremelaw.org/cc/hill/tort.claim/kaizen/affidavit.gif
http://www.supremelaw.org/cc/hill/tort.claim/kaizen/certificate.of.mailing.2016-10-11.gif
http://www.supremelaw.org/cc/hill/tort.claim/kaizen/FOIA.Appeal.DOJ-AP-2016-004964.pdf
http://www.supremelaw.org/cc/hill/tort.claim/kaizen/foia.request.kaizen.doc
http://www.supremelaw.org/cc/hill/tort.claim/kaizen/foia.request.kaizen.htm
http://www.supremelaw.org/cc/hill/tort.claim/kaizen/foia.request.kaizen.pdf
http://www.supremelaw.org/cc/hill/tort.claim/kaizen/Gmail%20-%20FOIA%20Appeal%20DOJ-AP-2016-004964%20Submitted.htm
http://www.supremelaw.org/cc/hill/tort.claim/kaizen/Gmail%20-%20FOIA%20Appeal%20DOJ-AP-2016-004964%20Submitted.pdf
http://www.supremelaw.org/cc/hill/tort.claim/kaizen/mailing.address.txt
http://www.supremelaw.org/cc/hill/tort.claim/kaizen/nad.affidavit.doc
http://www.supremelaw.org/cc/hill/tort.claim/kaizen/nad.affidavit.htm
http://www.supremelaw.org/cc/hill/tort.claim/kaizen/nad.affidavit.pdf
http://www.supremelaw.org/cc/hill/tort.claim/kaizen/reservation.of.right.to.inspect.doc
http://www.supremelaw.org/cc/hill/tort.claim/kaizen/reservation.of.right.to.inspect.htm
http://www.supremelaw.org/cc/hill/tort.claim/kaizen/reservation.of.right.to.inspect.pdf
http://www.supremelaw.org/cc/hill/tort.claim/kaizen/usps.green.card.70092820000232581384.gif
http://www.supremelaw.org/cc/hill/tort.claim/kaizen/usps.tracking.70092820000232581377.htm
http://www.supremelaw.org/cc/hill/tort.claim/kaizen/usps.tracking.70092820000232581384.htm
http://www.supremelaw.org/cc/hill/tort.claim/kaizen/usps.tracking.9505521388116250000818.htm

http://www.supremelaw.org/cc/hill/tort.claim/kindell/certificate.of.mailing.2017-03-06.gif
http://www.supremelaw.org/cc/hill/tort.claim/kindell/foia.request.doc
http://www.supremelaw.org/cc/hill/tort.claim/kindell/foia.request.htm
http://www.supremelaw.org/cc/hill/tort.claim/kindell/foia.request.pdf
http://www.supremelaw.org/cc/hill/tort.claim/kindell/nad.affidavit.doc
http://www.supremelaw.org/cc/hill/tort.claim/kindell/nad.affidavit.htm
http://www.supremelaw.org/cc/hill/tort.claim/kindell/nad.affidavit.pdf
http://www.supremelaw.org/cc/hill/tort.claim/kindell/usps.sales.receipt.2017-03-06.gif
http://www.supremelaw.org/cc/hill/tort.claim/kindell/usps.tracking.9505515456187065052322.htm

http://www.supremelaw.org/cc/hill/tort.claim/lerner/letter.2016-11-09/affidavit.gif
http://www.supremelaw.org/cc/hill/tort.claim/lerner/letter.2016-11-09/appointment.gif
http://www.supremelaw.org/cc/hill/tort.claim/lerner/letter.2016-11-09/page01.gif
http://www.supremelaw.org/cc/hill/tort.claim/lerner/letter.2016-11-09/page02.gif
http://www.supremelaw.org/cc/hill/tort.claim/lerner/letter.2016-11-09/usps.sales.receipt.2017-01-11.gif
http://www.supremelaw.org/cc/hill/tort.claim/lerner/letter.2016-12-08/page01.gif
http://www.supremelaw.org/cc/hill/tort.claim/lerner/letter.2016-12-08/page02.gif
http://www.supremelaw.org/cc/hill/tort.claim/lerner/letter.2017-02-07/page01.gif
http://www.supremelaw.org/cc/hill/tort.claim/lerner/letter.2017-02-07/page02.gif
http://www.supremelaw.org/cc/hill/tort.claim/lerner/letter.2017-02-07/page03.gif
http://www.supremelaw.org/cc/hill/tort.claim/lerner/letter.2017-02-07/page04.gif
http://www.supremelaw.org/cc/hill/tort.claim/lerner/letter.2017-02-07/refusal.for.fraud.doc
http://www.supremelaw.org/cc/hill/tort.claim/lerner/letter.2017-02-07/refusal.for.fraud.htm
http://www.supremelaw.org/cc/hill/tort.claim/lerner/letter.2017-02-07/refusal.for.fraud.pdf
http://www.supremelaw.org/cc/hill/tort.claim/lerner/letter.2017-02-07/usps.sales.receipt.2017-02-22.GIF
http://www.supremelaw.org/cc/hill/tort.claim/lerner/affidavit.gif
http://www.supremelaw.org/cc/hill/tort.claim/lerner/appointment.gif
http://www.supremelaw.org/cc/hill/tort.claim/lerner/certificate.of.mailing.2016-10-11.2.GIF
http://www.supremelaw.org/cc/hill/tort.claim/lerner/certificate.of.mailing.2016-10-11.gif
http://www.supremelaw.org/cc/hill/tort.claim/lerner/certificate.of.mailing.2017-01-11.1.gif
http://www.supremelaw.org/cc/hill/tort.claim/lerner/certificate.of.mailing.2017-01-11.2.gif
http://www.supremelaw.org/cc/hill/tort.claim/lerner/foia.request.2.lerner.doc
http://www.supremelaw.org/cc/hill/tort.claim/lerner/foia.request.2.lerner.htm
http://www.supremelaw.org/cc/hill/tort.claim/lerner/foia.request.2.lerner.pdf
http://www.supremelaw.org/cc/hill/tort.claim/lerner/foia.request.lerner.doc
http://www.supremelaw.org/cc/hill/tort.claim/lerner/foia.request.lerner.htm
http://www.supremelaw.org/cc/hill/tort.claim/lerner/foia.request.lerner.pdf
http://www.supremelaw.org/cc/hill/tort.claim/lerner/irs.contacts.doj.re.prosecution.doc
http://www.supremelaw.org/cc/hill/tort.claim/lerner/irs.contacts.doj.re.prosecution.htm
http://www.supremelaw.org/cc/hill/tort.claim/lerner/irs.contacts.doj.re.prosecution.pdf
http://www.supremelaw.org/cc/hill/tort.claim/lerner/irs.doj.prosecution.plan.doc
http://www.supremelaw.org/cc/hill/tort.claim/lerner/irs.doj.prosecution.plan.htm
http://www.supremelaw.org/cc/hill/tort.claim/lerner/irs.doj.prosecution.plan.pdf
http://www.supremelaw.org/cc/hill/tort.claim/lerner/irs.scandal.gets.worse.doc
http://www.supremelaw.org/cc/hill/tort.claim/lerner/irs.scandal.gets.worse.htm
http://www.supremelaw.org/cc/hill/tort.claim/lerner/irs.scandal.gets.worse.pdf
http://www.supremelaw.org/cc/hill/tort.claim/lerner/jay-sekulow-congressional-testimony-irs-scandal-request-for-special-counsel.pdf
http://www.supremelaw.org/cc/hill/tort.claim/lerner/JW1559-000183.doc
http://www.supremelaw.org/cc/hill/tort.claim/lerner/JW1559-000183.htm
http://www.supremelaw.org/cc/hill/tort.claim/lerner/JW1559-000183.pdf
http://www.supremelaw.org/cc/hill/tort.claim/lerner/mailing.address.2.txt
http://www.supremelaw.org/cc/hill/tort.claim/lerner/mailing.address.txt
http://www.supremelaw.org/cc/hill/tort.claim/lerner/reservation.of.right.to.inspect.doc
http://www.supremelaw.org/cc/hill/tort.claim/lerner/reservation.of.right.to.inspect.htm
http://www.supremelaw.org/cc/hill/tort.claim/lerner/reservation.of.right.to.inspect.pdf
http://www.supremelaw.org/cc/hill/tort.claim/lerner/usps.sales.receipt.2017-01-11.gif
http://www.supremelaw.org/cc/hill/tort.claim/lerner/usps.sales.receipt.2017-01-13.gif
http://www.supremelaw.org/cc/hill/tort.claim/lerner/usps.tracking.9505516498367013004648.htm

http://www.supremelaw.org/cc/hill/tort.claim/letter.2015-12-21/page01.gif
http://www.supremelaw.org/cc/hill/tort.claim/letter.2015-12-21/page01.refused.gif
http://www.supremelaw.org/cc/hill/tort.claim/letter.2016-01-04/page01.gif
http://www.supremelaw.org/cc/hill/tort.claim/letter.2016-01-04/page01.refused.gif
http://www.supremelaw.org/cc/hill/tort.claim/letter.2016-06-22/page01.gif
http://www.supremelaw.org/cc/hill/tort.claim/letter.2016-06-22/page01.refused.gif
http://www.supremelaw.org/cc/hill/tort.claim/letter.2016-06-22/page02.gif
http://www.supremelaw.org/cc/hill/tort.claim/letter.2016-06-22/page03.gif
http://www.supremelaw.org/cc/hill/tort.claim/letter.2016-06-22/page04.gif
http://www.supremelaw.org/cc/hill/tort.claim/letter.2016-06-22/usps.tracking.70110470000378849614.htm
http://www.supremelaw.org/cc/hill/tort.claim/letter.2016-06-27/request.for.clarification.doc
http://www.supremelaw.org/cc/hill/tort.claim/letter.2016-06-27/request.for.clarification.htm
http://www.supremelaw.org/cc/hill/tort.claim/letter.2016-06-27/usps.tracking.70092820000232581292.htm
http://www.supremelaw.org/cc/hill/tort.claim/letter.2016-06-28/plain.errors.doc
http://www.supremelaw.org/cc/hill/tort.claim/letter.2016-06-28/plain.errors.htm
http://www.supremelaw.org/cc/hill/tort.claim/letter.2016-06-28/usps.tracking.9505521388116179000258.htm
http://www.supremelaw.org/cc/hill/tort.claim/letter.2016-07-05/page01.gif
http://www.supremelaw.org/cc/hill/tort.claim/letter.2016-07-05/page01.refused.gif
http://www.supremelaw.org/cc/hill/tort.claim/letter.2016-07-08/page01.gif
http://www.supremelaw.org/cc/hill/tort.claim/letter.2016-07-08/page01.refused.gif
http://www.supremelaw.org/cc/hill/tort.claim/letter.2016-07-26/objections.and.demand.to.return.doc
http://www.supremelaw.org/cc/hill/tort.claim/letter.2016-07-26/objections.and.demand.to.return.htm
http://www.supremelaw.org/cc/hill/tort.claim/letter.2016-07-26.2/page01.gif
http://www.supremelaw.org/cc/hill/tort.claim/letter.2016-07-26.2/page01.refused.gif
http://www.supremelaw.org/cc/hill/tort.claim/letter.2016-07-26.2/page02.gif
http://www.supremelaw.org/cc/hill/tort.claim/letter.2016-07-26.2/page02.refused.gif
http://www.supremelaw.org/cc/hill/tort.claim/letter.2016-08-02/more.plain.errors.doc
http://www.supremelaw.org/cc/hill/tort.claim/letter.2016-08-02/more.plain.errors.htm
http://www.supremelaw.org/cc/hill/tort.claim/letter.2016-08-02.2/page01.gif
http://www.supremelaw.org/cc/hill/tort.claim/letter.2016-08-02.2/page01.refused.gif
http://www.supremelaw.org/cc/hill/tort.claim/letter.2016-08-02.2/page02.gif
http://www.supremelaw.org/cc/hill/tort.claim/letter.2016-08-02.2/page02.refused.gif
http://www.supremelaw.org/cc/hill/tort.claim/letter.2016-08-02.2/page03.gif
http://www.supremelaw.org/cc/hill/tort.claim/letter.2016-08-03/page01.gif
http://www.supremelaw.org/cc/hill/tort.claim/letter.2016-08-03/page02.gif
http://www.supremelaw.org/cc/hill/tort.claim/letter.2016-08-03/page03.gif
http://www.supremelaw.org/cc/hill/tort.claim/letter.2016-08-03/page04.gif
http://www.supremelaw.org/cc/hill/tort.claim/letter.2016-08-11/page01.gif
http://www.supremelaw.org/cc/hill/tort.claim/letter.2016-08-11/page01.refused.gif
http://www.supremelaw.org/cc/hill/tort.claim/letter.2016-08-18/page01.gif
http://www.supremelaw.org/cc/hill/tort.claim/letter.2016-08-18/page01.refused.gif
http://www.supremelaw.org/cc/hill/tort.claim/letter.2016-08-18.2/page01.gif
http://www.supremelaw.org/cc/hill/tort.claim/letter.2016-08-18.2/page01.refused.gif
http://www.supremelaw.org/cc/hill/tort.claim/letter.2016-08-18.2/page02.gif
http://www.supremelaw.org/cc/hill/tort.claim/letter.2016-08-18.2/page02.refused.gif
http://www.supremelaw.org/cc/hill/tort.claim/letter.2016-08-18.2/page03.gif
http://www.supremelaw.org/cc/hill/tort.claim/letter.2016-08-18.2/page03.refused.gif
http://www.supremelaw.org/cc/hill/tort.claim/letter.2016-08-18.2/page04.gif
http://www.supremelaw.org/cc/hill/tort.claim/letter.2016-08-18.2/page05.gif
http://www.supremelaw.org/cc/hill/tort.claim/letter.2016-08-19/refusal.for.causes.doc
http://www.supremelaw.org/cc/hill/tort.claim/letter.2016-08-19/refusal.for.causes.htm
http://www.supremelaw.org/cc/hill/tort.claim/letter.2016-08-26/maiing.address.txt
http://www.supremelaw.org/cc/hill/tort.claim/letter.2016-08-26/page01.gif
http://www.supremelaw.org/cc/hill/tort.claim/letter.2016-08-26/page02.gif
http://www.supremelaw.org/cc/hill/tort.claim/letter.2016-08-26/page03.gif
http://www.supremelaw.org/cc/hill/tort.claim/letter.2016-08-26/reply.doc
http://www.supremelaw.org/cc/hill/tort.claim/letter.2016-08-26/reply.htm
http://www.supremelaw.org/cc/hill/tort.claim/letter.2016-08-26/reply.pdf
http://www.supremelaw.org/cc/hill/tort.claim/letter.2016-09-01/mailing.address.txt
http://www.supremelaw.org/cc/hill/tort.claim/letter.2016-09-01/Mitchell,%20Paul%2016-004925%20USMS.pdf
http://www.supremelaw.org/cc/hill/tort.claim/letter.2016-09-07/page01.gif
http://www.supremelaw.org/cc/hill/tort.claim/letter.2016-09-21/final.demand.to.return.doc
http://www.supremelaw.org/cc/hill/tort.claim/letter.2016-09-21/final.demand.to.return.htm
http://www.supremelaw.org/cc/hill/tort.claim/letter.2016-09-21/final.demand.to.return.pdf
http://www.supremelaw.org/cc/hill/tort.claim/letter.2016-11-04/page01.gif
http://www.supremelaw.org/cc/hill/tort.claim/letter.2016-11-04/page01.refused.gif
http://www.supremelaw.org/cc/hill/tort.claim/letter.2016-11-04/page02.gif
http://www.supremelaw.org/cc/hill/tort.claim/letter.2016-12-12/certificate.of.mailing.2016-12-12.1.gif
http://www.supremelaw.org/cc/hill/tort.claim/letter.2016-12-12/certificate.of.mailing.2016-12-12.2.gif
http://www.supremelaw.org/cc/hill/tort.claim/letter.2016-12-12/certificate.of.mailing.2016-12-12.3.gif
http://www.supremelaw.org/cc/hill/tort.claim/letter.2016-12-12/certificate.of.mailing.2016-12-12.4.gif
http://www.supremelaw.org/cc/hill/tort.claim/letter.2016-12-12/reconsideration.doc
http://www.supremelaw.org/cc/hill/tort.claim/letter.2016-12-12/reconsideration.htm
http://www.supremelaw.org/cc/hill/tort.claim/letter.2016-12-12/reconsideration.pdf
http://www.supremelaw.org/cc/hill/tort.claim/letter.2016-12-12/usps.green.card.70092820000232581452.gif
http://www.supremelaw.org/cc/hill/tort.claim/letter.2016-12-12/usps.sales.receipt.gif
http://www.supremelaw.org/cc/hill/tort.claim/letter.2016-12-12/usps.tracking.70092820000232581452.htm
http://www.supremelaw.org/cc/hill/tort.claim/letter.2016-12-13/notice.of.faults.doc
http://www.supremelaw.org/cc/hill/tort.claim/letter.2016-12-13/notice.of.faults.htm
http://www.supremelaw.org/cc/hill/tort.claim/letter.2016-12-13/notice.of.faults.pdf
http://www.supremelaw.org/cc/hill/tort.claim/letter.2017-01-03/page01.gif
http://www.supremelaw.org/cc/hill/tort.claim/letter.2017-01-03/page02.gif
http://www.supremelaw.org/cc/hill/tort.claim/letter.2017-01-03/usps.sales.receipt.2017-01-11.gif
http://www.supremelaw.org/cc/hill/tort.claim/letter.2017-02-22/page01.gif
http://www.supremelaw.org/cc/hill/tort.claim/letter.2017-02-22/page02.gif
http://www.supremelaw.org/cc/hill/tort.claim/letter.2017-03-09/mailing.address.txt
http://www.supremelaw.org/cc/hill/tort.claim/letter.2017-03-09/request.for.adr.doc
http://www.supremelaw.org/cc/hill/tort.claim/letter.2017-03-09/request.for.adr.htm
http://www.supremelaw.org/cc/hill/tort.claim/letter.2017-03-09/request.for.adr.pdf
http://www.supremelaw.org/cc/hill/tort.claim/letter.2017-03-09/usps.sales.receipt.2017-03-09.gif
http://www.supremelaw.org/cc/hill/tort.claim/letter.2017-03-09/usps.tracking.9505515456177068058711.htm

http://www.supremelaw.org/cc/hill/tort.claim/lynch/affidavit.gif
http://www.supremelaw.org/cc/hill/tort.claim/lynch/affidavit.refused.gif
http://www.supremelaw.org/cc/hill/tort.claim/lynch/ag_lynch_appointment_affidavit.pdf

http://www.supremelaw.org/cc/hill/tort.claim/macpherson/letter.2017-03-18/request.letter.of.interest.doc
http://www.supremelaw.org/cc/hill/tort.claim/macpherson/letter.2017-03-18/request.letter.of.interest.htm
http://www.supremelaw.org/cc/hill/tort.claim/macpherson/letter.2017-03-18/request.letter.of.interest.pdf

http://www.supremelaw.org/cc/hill/tort.claim/mail.fraud.report/irs/page01.gif
http://www.supremelaw.org/cc/hill/tort.claim/mail.fraud.report/irs/page02.gif
http://www.supremelaw.org/cc/hill/tort.claim/mail.fraud.report/letter.2017-02-08/transmittal.doc
http://www.supremelaw.org/cc/hill/tort.claim/mail.fraud.report/letter.2017-02-08/transmittal.htm
http://www.supremelaw.org/cc/hill/tort.claim/mail.fraud.report/letter.2017-02-08/transmittal.pdf
http://www.supremelaw.org/cc/hill/tort.claim/mail.fraud.report/letter.2017-02-08/usps.sales.receipt.2017-02-08.gif
http://www.supremelaw.org/cc/hill/tort.claim/mail.fraud.report/usms/page01.gif
http://www.supremelaw.org/cc/hill/tort.claim/mail.fraud.report/usms/page02.gif
http://www.supremelaw.org/cc/hill/tort.claim/mail.fraud.report/transmittal.doc
http://www.supremelaw.org/cc/hill/tort.claim/mail.fraud.report/transmittal.htm
http://www.supremelaw.org/cc/hill/tort.claim/mail.fraud.report/transmittal.supp1.doc
http://www.supremelaw.org/cc/hill/tort.claim/mail.fraud.report/transmittal.supp1.htm
http://www.supremelaw.org/cc/hill/tort.claim/mail.fraud.report/transmittal.supp1.pdf
http://www.supremelaw.org/cc/hill/tort.claim/mail.fraud.report/transmittal.supp2.doc
http://www.supremelaw.org/cc/hill/tort.claim/mail.fraud.report/transmittal.supp2.htm
http://www.supremelaw.org/cc/hill/tort.claim/mail.fraud.report/transmittal.supp2.pdf
http://www.supremelaw.org/cc/hill/tort.claim/mail.fraud.report/usps.sales.receipt.2017-01-11.gif
http://www.supremelaw.org/cc/hill/tort.claim/mail.fraud.report/usps.tracking.9505521388116313000458.htm
http://www.supremelaw.org/cc/hill/tort.claim/mail.fraud.report/usps.tracking.9505521388116319001152.htm

http://www.supremelaw.org/cc/hill/tort.claim/marks/letter.2016-11-04/page01.gif
http://www.supremelaw.org/cc/hill/tort.claim/marks/letter.2016-11-04/page02.gif
http://www.supremelaw.org/cc/hill/tort.claim/marks/letter.2016-11-21/negative.averment.doc
http://www.supremelaw.org/cc/hill/tort.claim/marks/letter.2016-11-21/negative.averment.htm
http://www.supremelaw.org/cc/hill/tort.claim/marks/letter.2016-11-21/negative.averment.pdf
http://www.supremelaw.org/cc/hill/tort.claim/marks/affidavit.gif
http://www.supremelaw.org/cc/hill/tort.claim/marks/certificate.of.mailing.2016-10-11.2.gif
http://www.supremelaw.org/cc/hill/tort.claim/marks/certificate.of.mailing.2016-10-11.gif
http://www.supremelaw.org/cc/hill/tort.claim/marks/foia.request.marks.doc
http://www.supremelaw.org/cc/hill/tort.claim/marks/foia.request.marks.htm
http://www.supremelaw.org/cc/hill/tort.claim/marks/foia.request.marks.pdf
http://www.supremelaw.org/cc/hill/tort.claim/marks/JW1559-000183.pdf
http://www.supremelaw.org/cc/hill/tort.claim/marks/mailing.address.txt
http://www.supremelaw.org/cc/hill/tort.claim/marks/reservation.of.right.to.inspect.doc
http://www.supremelaw.org/cc/hill/tort.claim/marks/reservation.of.right.to.inspect.htm
http://www.supremelaw.org/cc/hill/tort.claim/marks/reservation.of.right.to.inspect.pdf

http://www.supremelaw.org/cc/hill/tort.claim/miller/certificate.of.mailing.2017-03-06.gif
http://www.supremelaw.org/cc/hill/tort.claim/miller/foia.request.doc
http://www.supremelaw.org/cc/hill/tort.claim/miller/foia.request.htm
http://www.supremelaw.org/cc/hill/tort.claim/miller/foia.request.pdf
http://www.supremelaw.org/cc/hill/tort.claim/miller/nad.affidavit.doc
http://www.supremelaw.org/cc/hill/tort.claim/miller/nad.affidavit.htm
http://www.supremelaw.org/cc/hill/tort.claim/miller/nad.affidavit.pdf
http://www.supremelaw.org/cc/hill/tort.claim/miller/usps.sales.receipt.2017-03-06.gif
http://www.supremelaw.org/cc/hill/tort.claim/miller/usps.tracking.9505515456187065052322.htm

http://www.supremelaw.org/cc/hill/tort.claim/osbar/letter.2016-11-29/page01.gif
http://www.supremelaw.org/cc/hill/tort.claim/osbar/letter.2016-11-29/page01.refused.gif
http://www.supremelaw.org/cc/hill/tort.claim/osbar/letter.2016-12-06/refusal.doc

http://www.supremelaw.org/cc/hill/tort.claim/patterson/letter.2016-09-26/page01.gif
http://www.supremelaw.org/cc/hill/tort.claim/patterson/letter.2016-09-26/page02.gif
http://www.supremelaw.org/cc/hill/tort.claim/patterson/affidavit.gif
http://www.supremelaw.org/cc/hill/tort.claim/patterson/affidavit.refused.gif
http://www.supremelaw.org/cc/hill/tort.claim/patterson/foia.request.patterson.verified.doc
http://www.supremelaw.org/cc/hill/tort.claim/patterson/foia.request.patterson.verified.htm
http://www.supremelaw.org/cc/hill/tort.claim/patterson/foia.request.patterson.verified.pdf
http://www.supremelaw.org/cc/hill/tort.claim/patterson/mailing.address.txt
http://www.supremelaw.org/cc/hill/tort.claim/patterson/nad.affidavit.doc
http://www.supremelaw.org/cc/hill/tort.claim/patterson/nad.affidavit.htm
http://www.supremelaw.org/cc/hill/tort.claim/patterson/nad.affidavit.pdf
http://www.supremelaw.org/cc/hill/tort.claim/patterson/reservation.of.right.to.inspect.doc
http://www.supremelaw.org/cc/hill/tort.claim/patterson/reservation.of.right.to.inspect.htm
http://www.supremelaw.org/cc/hill/tort.claim/patterson/reservation.of.right.to.inspect.pdf
http://www.supremelaw.org/cc/hill/tort.claim/patterson/usps.tracking.9505521388116237000619.htm

http://www.supremelaw.org/cc/hill/tort.claim/paz/certificate.of.mailing.2017-03-06.gif
http://www.supremelaw.org/cc/hill/tort.claim/paz/foia.request.doc
http://www.supremelaw.org/cc/hill/tort.claim/paz/foia.request.htm
http://www.supremelaw.org/cc/hill/tort.claim/paz/foia.request.pdf
http://www.supremelaw.org/cc/hill/tort.claim/paz/nad.affidavit.doc
http://www.supremelaw.org/cc/hill/tort.claim/paz/nad.affidavit.htm
http://www.supremelaw.org/cc/hill/tort.claim/paz/nad.affidavit.pdf
http://www.supremelaw.org/cc/hill/tort.claim/paz/usps.sales.receipt.2017-03-06.gif
http://www.supremelaw.org/cc/hill/tort.claim/paz/usps.tracking.9505515456187065052322.htm

http://www.supremelaw.org/cc/hill/tort.claim/seto/certificate.of.mailing.2017-03-06.gif
http://www.supremelaw.org/cc/hill/tort.claim/seto/foia.request.doc
http://www.supremelaw.org/cc/hill/tort.claim/seto/foia.request.htm
http://www.supremelaw.org/cc/hill/tort.claim/seto/foia.request.pdf
http://www.supremelaw.org/cc/hill/tort.claim/seto/nad.affidavit.doc
http://www.supremelaw.org/cc/hill/tort.claim/seto/nad.affidavit.htm
http://www.supremelaw.org/cc/hill/tort.claim/seto/nad.affidavit.pdf
http://www.supremelaw.org/cc/hill/tort.claim/seto/usps.sales.receipt.2017-03-06.gif
http://www.supremelaw.org/cc/hill/tort.claim/seto/usps.tracking.9505515456187065052322.htm

http://www.supremelaw.org/cc/hill/tort.claim/shulman/certificate.of.mailing.2017-03-06.gif
http://www.supremelaw.org/cc/hill/tort.claim/shulman/foia.request.doc
http://www.supremelaw.org/cc/hill/tort.claim/shulman/foia.request.htm
http://www.supremelaw.org/cc/hill/tort.claim/shulman/foia.request.pdf
http://www.supremelaw.org/cc/hill/tort.claim/shulman/nad.affidavit.doc
http://www.supremelaw.org/cc/hill/tort.claim/shulman/nad.affidavit.htm
http://www.supremelaw.org/cc/hill/tort.claim/shulman/nad.affidavit.pdf
http://www.supremelaw.org/cc/hill/tort.claim/shulman/usps.sales.receipt.2017-03-06.gif
http://www.supremelaw.org/cc/hill/tort.claim/shulman/usps.tracking.9505515456187065052322.htm

http://www.supremelaw.org/cc/hill/tort.claim/sterner/letter.2016-08-17/page01.gif
http://www.supremelaw.org/cc/hill/tort.claim/sterner/letter.2016-08-17/page02.gif
http://www.supremelaw.org/cc/hill/tort.claim/sterner/letter.2016-09-02/Mitchell,%20Paul%20A.%2016-004926%20-004927%20-004928%20-004964-4.pdf
http://www.supremelaw.org/cc/hill/tort.claim/sterner/letter.2016-09-20/page01.gif
http://www.supremelaw.org/cc/hill/tort.claim/sterner/letter.2016-09-20/page02.gif
http://www.supremelaw.org/cc/hill/tort.claim/sterner/letter.2016-09-20/page03.gif
http://www.supremelaw.org/cc/hill/tort.claim/sterner/letter.2016-09-20/page04.gif
http://www.supremelaw.org/cc/hill/tort.claim/sterner/letter.2016-09-20/page05.gif
http://www.supremelaw.org/cc/hill/tort.claim/sterner/letter.2016-09-20/page06.gif
http://www.supremelaw.org/cc/hill/tort.claim/sterner/letter.2016-11-29/page01.gif
http://www.supremelaw.org/cc/hill/tort.claim/sterner/letter.2016-11-29/page02.gif
http://www.supremelaw.org/cc/hill/tort.claim/sterner/letter.2016-12-29/page01.gif
http://www.supremelaw.org/cc/hill/tort.claim/sterner/letter.2016-12-29/page02.gif
http://www.supremelaw.org/cc/hill/tort.claim/sterner/letter.2016-12-29/page03.gif
http://www.supremelaw.org/cc/hill/tort.claim/sterner/letter.2016-12-29/page04.gif
http://www.supremelaw.org/cc/hill/tort.claim/sterner/letter.2016-12-29/page05.gif
http://www.supremelaw.org/cc/hill/tort.claim/sterner/affidavit.2.gif
http://www.supremelaw.org/cc/hill/tort.claim/sterner/affidavit.gif
http://www.supremelaw.org/cc/hill/tort.claim/sterner/affidavit.refused.gif
http://www.supremelaw.org/cc/hill/tort.claim/sterner/certificate.of.mailing.2016-10-11.gif
http://www.supremelaw.org/cc/hill/tort.claim/sterner/certificate.of.mailing.2016-12-08.2.gif
http://www.supremelaw.org/cc/hill/tort.claim/sterner/certificate.of.mailing.2016-12-08.gif
http://www.supremelaw.org/cc/hill/tort.claim/sterner/certificate.of.mailing.2017-01-11.1.gif
http://www.supremelaw.org/cc/hill/tort.claim/sterner/certificate.of.mailing.2017-01-11.2.gif
http://www.supremelaw.org/cc/hill/tort.claim/sterner/FOIA.Appeal.DOJ-AP-2016-004927.pdf
http://www.supremelaw.org/cc/hill/tort.claim/sterner/foia.request.sterner.doc
http://www.supremelaw.org/cc/hill/tort.claim/sterner/foia.request.sterner.htm
http://www.supremelaw.org/cc/hill/tort.claim/sterner/foia.request.sterner.pdf
http://www.supremelaw.org/cc/hill/tort.claim/sterner/Gmail%20-%20FOIA%20Appeal%20DOJ-AP-2016-004927%20Submitted.htm
http://www.supremelaw.org/cc/hill/tort.claim/sterner/Gmail%20-%20FOIA%20Appeal%20DOJ-AP-2016-004927%20Submitted.pdf
http://www.supremelaw.org/cc/hill/tort.claim/sterner/nad.affidavit.doc
http://www.supremelaw.org/cc/hill/tort.claim/sterner/nad.affidavit.htm
http://www.supremelaw.org/cc/hill/tort.claim/sterner/nad.affidavit.pdf
http://www.supremelaw.org/cc/hill/tort.claim/sterner/reservation.of.right.to.inspect.doc
http://www.supremelaw.org/cc/hill/tort.claim/sterner/reservation.of.right.to.inspect.htm
http://www.supremelaw.org/cc/hill/tort.claim/sterner/reservation.of.right.to.inspect.pdf
http://www.supremelaw.org/cc/hill/tort.claim/sterner/usps.green.card.70092820000232581384.gif
http://www.supremelaw.org/cc/hill/tort.claim/sterner/usps.sales.receipt.2016-12-08.gif
http://www.supremelaw.org/cc/hill/tort.claim/sterner/usps.sales.receipt.2017-01-11.gif
http://www.supremelaw.org/cc/hill/tort.claim/sterner/usps.sales.receipt.2017-01-13.gif
http://www.supremelaw.org/cc/hill/tort.claim/sterner/usps.tracking.70092820000232581292.htm
http://www.supremelaw.org/cc/hill/tort.claim/sterner/usps.tracking.70092820000232581384.htm
http://www.supremelaw.org/cc/hill/tort.claim/sterner/usps.tracking.9505516498367013004648.htm

http://www.supremelaw.org/cc/hill/tort.claim/usms/email.2016-05-26/inmate.transportation.records.htm
http://www.supremelaw.org/cc/hill/tort.claim/usms/email.2016-05-26/inmate.transportation.records.pdf

http://www.supremelaw.org/cc/hill/tort.claim/usms/ethics.team/boehm/letter.2016-08-29/page01.gif
http://www.supremelaw.org/cc/hill/tort.claim/usms/ethics.team/boehm/letter.2016-08-29/page01.refused.gif
http://www.supremelaw.org/cc/hill/tort.claim/usms/ethics.team/boehm/letter.2016-08-29/page02.gif
http://www.supremelaw.org/cc/hill/tort.claim/usms/ethics.team/boehm/letter.2016-08-29/page02.refused.gif
http://www.supremelaw.org/cc/hill/tort.claim/usms/ethics.team/boehm/letter.2016-08-29/page03.gif
http://www.supremelaw.org/cc/hill/tort.claim/usms/ethics.team/boehm/letter.2016-09-12/page01.gif
http://www.supremelaw.org/cc/hill/tort.claim/usms/ethics.team/boehm/letter.2016-09-12/page02.gif
http://www.supremelaw.org/cc/hill/tort.claim/usms/ethics.team/boehm/letter.2016-09-12/page03.gif
http://www.supremelaw.org/cc/hill/tort.claim/usms/ethics.team/boehm/letter.2016-09-26/page01.gif
http://www.supremelaw.org/cc/hill/tort.claim/usms/ethics.team/boehm/letter.2016-09-26/page02.gif
http://www.supremelaw.org/cc/hill/tort.claim/usms/ethics.team/boehm/letter.2016-09-28/page01.gif
http://www.supremelaw.org/cc/hill/tort.claim/usms/ethics.team/boehm/letter.2016-09-28/page02.gif
http://www.supremelaw.org/cc/hill/tort.claim/usms/ethics.team/boehm/affidavit.gif
http://www.supremelaw.org/cc/hill/tort.claim/usms/ethics.team/boehm/affidavit.refused.gif
http://www.supremelaw.org/cc/hill/tort.claim/usms/ethics.team/boehm/email.address.txt
http://www.supremelaw.org/cc/hill/tort.claim/usms/ethics.team/boehm/foia.request.boehm.verified.doc
http://www.supremelaw.org/cc/hill/tort.claim/usms/ethics.team/boehm/foia.request.boehm.verified.htm
http://www.supremelaw.org/cc/hill/tort.claim/usms/ethics.team/boehm/foia.request.boehm.verified.pdf
http://www.supremelaw.org/cc/hill/tort.claim/usms/ethics.team/boehm/Gmail%20-%20FOIA%20Request%20DOJ-2016-004965%20Submitted.htm
http://www.supremelaw.org/cc/hill/tort.claim/usms/ethics.team/boehm/Gmail%20-%20FOIA%20Request%20DOJ-2016-004965%20Submitted.pdf
http://www.supremelaw.org/cc/hill/tort.claim/usms/ethics.team/boehm/nad.affidavit.doc
http://www.supremelaw.org/cc/hill/tort.claim/usms/ethics.team/boehm/nad.affidavit.htm
http://www.supremelaw.org/cc/hill/tort.claim/usms/ethics.team/boehm/nad.affidavit.pdf
http://www.supremelaw.org/cc/hill/tort.claim/usms/ethics.team/boehm/reservation.of.right.to.inspect.doc
http://www.supremelaw.org/cc/hill/tort.claim/usms/ethics.team/boehm/reservation.of.right.to.inspect.htm
http://www.supremelaw.org/cc/hill/tort.claim/usms/ethics.team/boehm/reservation.of.right.to.inspect.pdf
http://www.supremelaw.org/cc/hill/tort.claim/usms/ethics.team/boehm/state.bar.record.dcbar.doc
http://www.supremelaw.org/cc/hill/tort.claim/usms/ethics.team/boehm/state.bar.record.dcbar.htm
http://www.supremelaw.org/cc/hill/tort.claim/usms/ethics.team/boehm/state.bar.record.dcbar.pdf

http://www.supremelaw.org/cc/hill/tort.claim/usms/ethics.team/bordley/letter.2016-08-24/page01.gif
http://www.supremelaw.org/cc/hill/tort.claim/usms/ethics.team/bordley/letter.2016-08-29/page01.gif
http://www.supremelaw.org/cc/hill/tort.claim/usms/ethics.team/bordley/letter.2016-08-29/page01.refused.gif
http://www.supremelaw.org/cc/hill/tort.claim/usms/ethics.team/bordley/letter.2016-08-29/page02.gif
http://www.supremelaw.org/cc/hill/tort.claim/usms/ethics.team/bordley/letter.2016-08-29/page02.refused.gif
http://www.supremelaw.org/cc/hill/tort.claim/usms/ethics.team/bordley/letter.2016-08-29/page03.gif
http://www.supremelaw.org/cc/hill/tort.claim/usms/ethics.team/bordley/letter.2016-09-12/page01.gif
http://www.supremelaw.org/cc/hill/tort.claim/usms/ethics.team/bordley/letter.2016-09-12/page02.gif
http://www.supremelaw.org/cc/hill/tort.claim/usms/ethics.team/bordley/letter.2016-09-12/page03.gif
http://www.supremelaw.org/cc/hill/tort.claim/usms/ethics.team/bordley/letter.2016-09-12/page04.gif
http://www.supremelaw.org/cc/hill/tort.claim/usms/ethics.team/bordley/letter.2016-09-12/page05.gif
http://www.supremelaw.org/cc/hill/tort.claim/usms/ethics.team/bordley/letter.2016-09-12/page06.gif
http://www.supremelaw.org/cc/hill/tort.claim/usms/ethics.team/bordley/letter.2016-09-26/page01.gif
http://www.supremelaw.org/cc/hill/tort.claim/usms/ethics.team/bordley/letter.2016-09-26/page02.gif
http://www.supremelaw.org/cc/hill/tort.claim/usms/ethics.team/bordley/letter.2016-09-28/page01.gif
http://www.supremelaw.org/cc/hill/tort.claim/usms/ethics.team/bordley/letter.2016-09-28/page02.gif
http://www.supremelaw.org/cc/hill/tort.claim/usms/ethics.team/bordley/affidavit.gif
http://www.supremelaw.org/cc/hill/tort.claim/usms/ethics.team/bordley/affidavit.refused.gif
http://www.supremelaw.org/cc/hill/tort.claim/usms/ethics.team/bordley/foia.request.bordley.verified.doc
http://www.supremelaw.org/cc/hill/tort.claim/usms/ethics.team/bordley/foia.request.bordley.verified.htm
http://www.supremelaw.org/cc/hill/tort.claim/usms/ethics.team/bordley/foia.request.bordley.verified.pdf
http://www.supremelaw.org/cc/hill/tort.claim/usms/ethics.team/bordley/Gmail%20-%20FOIA%20Request%20DOJ-2016-004966%20Submitted.htm
http://www.supremelaw.org/cc/hill/tort.claim/usms/ethics.team/bordley/Gmail%20-%20FOIA%20Request%20DOJ-2016-004966%20Submitted.pdf
http://www.supremelaw.org/cc/hill/tort.claim/usms/ethics.team/bordley/mailing.address.txt
http://www.supremelaw.org/cc/hill/tort.claim/usms/ethics.team/bordley/mailing.address.vsb.txt
http://www.supremelaw.org/cc/hill/tort.claim/usms/ethics.team/bordley/nad.affidavit.doc
http://www.supremelaw.org/cc/hill/tort.claim/usms/ethics.team/bordley/nad.affidavit.htm
http://www.supremelaw.org/cc/hill/tort.claim/usms/ethics.team/bordley/nad.affidavit.pdf
http://www.supremelaw.org/cc/hill/tort.claim/usms/ethics.team/bordley/reservation.of.right.to.inspect.doc
http://www.supremelaw.org/cc/hill/tort.claim/usms/ethics.team/bordley/reservation.of.right.to.inspect.htm
http://www.supremelaw.org/cc/hill/tort.claim/usms/ethics.team/bordley/reservation.of.right.to.inspect.pdf
http://www.supremelaw.org/cc/hill/tort.claim/usms/ethics.team/bordley/state.bar.record.vsb.doc
http://www.supremelaw.org/cc/hill/tort.claim/usms/ethics.team/bordley/state.bar.record.vsb.htm
http://www.supremelaw.org/cc/hill/tort.claim/usms/ethics.team/bordley/state.bar.record.vsb.pdf

http://www.supremelaw.org/cc/hill/tort.claim/usms/ethics.team/bryan/letter.2016-08-29/page01.gif
http://www.supremelaw.org/cc/hill/tort.claim/usms/ethics.team/bryan/letter.2016-08-29/page01.refused.gif
http://www.supremelaw.org/cc/hill/tort.claim/usms/ethics.team/bryan/letter.2016-08-29/page02.gif
http://www.supremelaw.org/cc/hill/tort.claim/usms/ethics.team/bryan/letter.2016-08-29/page02.refused.gif
http://www.supremelaw.org/cc/hill/tort.claim/usms/ethics.team/bryan/letter.2016-08-29/page03.gif
http://www.supremelaw.org/cc/hill/tort.claim/usms/ethics.team/bryan/letter.2016-09-12/page01.gif
http://www.supremelaw.org/cc/hill/tort.claim/usms/ethics.team/bryan/letter.2016-09-12/page02.gif
http://www.supremelaw.org/cc/hill/tort.claim/usms/ethics.team/bryan/letter.2016-09-12/page03.gif
http://www.supremelaw.org/cc/hill/tort.claim/usms/ethics.team/bryan/letter.2016-09-26/page01.gif
http://www.supremelaw.org/cc/hill/tort.claim/usms/ethics.team/bryan/letter.2016-09-26/page02.gif
http://www.supremelaw.org/cc/hill/tort.claim/usms/ethics.team/bryan/letter.2016-09-28/page01.gif
http://www.supremelaw.org/cc/hill/tort.claim/usms/ethics.team/bryan/letter.2016-09-28/page02.gif
http://www.supremelaw.org/cc/hill/tort.claim/usms/ethics.team/bryan/affidavit.gif
http://www.supremelaw.org/cc/hill/tort.claim/usms/ethics.team/bryan/affidavit.refused.gif
http://www.supremelaw.org/cc/hill/tort.claim/usms/ethics.team/bryan/foia.request.bryan.verified.doc
http://www.supremelaw.org/cc/hill/tort.claim/usms/ethics.team/bryan/foia.request.bryan.verified.htm
http://www.supremelaw.org/cc/hill/tort.claim/usms/ethics.team/bryan/foia.request.bryan.verified.pdf
http://www.supremelaw.org/cc/hill/tort.claim/usms/ethics.team/bryan/Gmail%20-%20FOIA%20Request%20DOJ-2016-004967%20Submitted.htm
http://www.supremelaw.org/cc/hill/tort.claim/usms/ethics.team/bryan/Gmail%20-%20FOIA%20Request%20DOJ-2016-004967%20Submitted.pdf
http://www.supremelaw.org/cc/hill/tort.claim/usms/ethics.team/bryan/nad.affidavit.doc
http://www.supremelaw.org/cc/hill/tort.claim/usms/ethics.team/bryan/nad.affidavit.htm
http://www.supremelaw.org/cc/hill/tort.claim/usms/ethics.team/bryan/nad.affidavit.pdf
http://www.supremelaw.org/cc/hill/tort.claim/usms/ethics.team/bryan/reservation.of.right.to.inspect.doc
http://www.supremelaw.org/cc/hill/tort.claim/usms/ethics.team/bryan/reservation.of.right.to.inspect.htm
http://www.supremelaw.org/cc/hill/tort.claim/usms/ethics.team/bryan/reservation.of.right.to.inspect.pdf
http://www.supremelaw.org/cc/hill/tort.claim/usms/ethics.team/bryan/state.bar.record.dcbar.doc
http://www.supremelaw.org/cc/hill/tort.claim/usms/ethics.team/bryan/state.bar.record.dcbar.htm
http://www.supremelaw.org/cc/hill/tort.claim/usms/ethics.team/bryan/state.bar.record.dcbar.pdf

http://www.supremelaw.org/cc/hill/tort.claim/usms/ethics.team/chan/letter.2016-09-27/page01.gif
http://www.supremelaw.org/cc/hill/tort.claim/usms/ethics.team/chan/letter.2016-09-27/page02.gif
http://www.supremelaw.org/cc/hill/tort.claim/usms/ethics.team/chan/affidavit.gif
http://www.supremelaw.org/cc/hill/tort.claim/usms/ethics.team/chan/affidavit.refused.gif
http://www.supremelaw.org/cc/hill/tort.claim/usms/ethics.team/chan/foia.request.chan.verified.doc
http://www.supremelaw.org/cc/hill/tort.claim/usms/ethics.team/chan/foia.request.chan.verified.htm
http://www.supremelaw.org/cc/hill/tort.claim/usms/ethics.team/chan/foia.request.chan.verified.pdf
http://www.supremelaw.org/cc/hill/tort.claim/usms/ethics.team/chan/mailing.address.cobar.txt
http://www.supremelaw.org/cc/hill/tort.claim/usms/ethics.team/chan/photo.bmp
http://www.supremelaw.org/cc/hill/tort.claim/usms/ethics.team/chan/reservation.of.right.to.inspect.doc
http://www.supremelaw.org/cc/hill/tort.claim/usms/ethics.team/chan/reservation.of.right.to.inspect.htm
http://www.supremelaw.org/cc/hill/tort.claim/usms/ethics.team/chan/reservation.of.right.to.inspect.pdf
http://www.supremelaw.org/cc/hill/tort.claim/usms/ethics.team/chan/state.bar.record.cobar.doc
http://www.supremelaw.org/cc/hill/tort.claim/usms/ethics.team/chan/state.bar.record.cobar.htm
http://www.supremelaw.org/cc/hill/tort.claim/usms/ethics.team/chan/state.bar.record.cobar.pdf

http://www.supremelaw.org/cc/hill/tort.claim/usms/ethics.team/choi/letter.2016-08-29/page01.gif
http://www.supremelaw.org/cc/hill/tort.claim/usms/ethics.team/choi/letter.2016-08-29/page01.refused.gif
http://www.supremelaw.org/cc/hill/tort.claim/usms/ethics.team/choi/letter.2016-08-29/page02.gif
http://www.supremelaw.org/cc/hill/tort.claim/usms/ethics.team/choi/letter.2016-08-29/page02.refused.gif
http://www.supremelaw.org/cc/hill/tort.claim/usms/ethics.team/choi/letter.2016-08-29/page03.gif
http://www.supremelaw.org/cc/hill/tort.claim/usms/ethics.team/choi/letter.2016-09-12/page01.gif
http://www.supremelaw.org/cc/hill/tort.claim/usms/ethics.team/choi/letter.2016-09-12/page02.gif
http://www.supremelaw.org/cc/hill/tort.claim/usms/ethics.team/choi/letter.2016-09-12/page03.gif
http://www.supremelaw.org/cc/hill/tort.claim/usms/ethics.team/choi/letter.2016-09-26/page01.gif
http://www.supremelaw.org/cc/hill/tort.claim/usms/ethics.team/choi/letter.2016-09-26/page02.gif
http://www.supremelaw.org/cc/hill/tort.claim/usms/ethics.team/choi/letter.2016-09-28/page01.gif
http://www.supremelaw.org/cc/hill/tort.claim/usms/ethics.team/choi/letter.2016-09-28/page02.gif
http://www.supremelaw.org/cc/hill/tort.claim/usms/ethics.team/choi/affidavit.gif
http://www.supremelaw.org/cc/hill/tort.claim/usms/ethics.team/choi/affidavit.refused.gif
http://www.supremelaw.org/cc/hill/tort.claim/usms/ethics.team/choi/confinement-safe-protocol.pdf
http://www.supremelaw.org/cc/hill/tort.claim/usms/ethics.team/choi/foia.request.choi.verified.doc
http://www.supremelaw.org/cc/hill/tort.claim/usms/ethics.team/choi/foia.request.choi.verified.htm
http://www.supremelaw.org/cc/hill/tort.claim/usms/ethics.team/choi/foia.request.choi.verified.pdf
http://www.supremelaw.org/cc/hill/tort.claim/usms/ethics.team/choi/Gmail%20-%20FOIA%20Request%20DOJ-2016-004968%20Submitted.htm
http://www.supremelaw.org/cc/hill/tort.claim/usms/ethics.team/choi/Gmail%20-%20FOIA%20Request%20DOJ-2016-004968%20Submitted.pdf
http://www.supremelaw.org/cc/hill/tort.claim/usms/ethics.team/choi/mailing.address.ncbar.txt
http://www.supremelaw.org/cc/hill/tort.claim/usms/ethics.team/choi/mailing.address.txt
http://www.supremelaw.org/cc/hill/tort.claim/usms/ethics.team/choi/nad.affidavit.doc
http://www.supremelaw.org/cc/hill/tort.claim/usms/ethics.team/choi/nad.affidavit.htm
http://www.supremelaw.org/cc/hill/tort.claim/usms/ethics.team/choi/nad.affidavit.pdf
http://www.supremelaw.org/cc/hill/tort.claim/usms/ethics.team/choi/reservation.of.right.to.inspect.doc
http://www.supremelaw.org/cc/hill/tort.claim/usms/ethics.team/choi/reservation.of.right.to.inspect.htm
http://www.supremelaw.org/cc/hill/tort.claim/usms/ethics.team/choi/reservation.of.right.to.inspect.pdf
http://www.supremelaw.org/cc/hill/tort.claim/usms/ethics.team/choi/state.bar.record.ncbar.doc
http://www.supremelaw.org/cc/hill/tort.claim/usms/ethics.team/choi/state.bar.record.ncbar.htm
http://www.supremelaw.org/cc/hill/tort.claim/usms/ethics.team/choi/state.bar.record.ncbar.pdf

http://www.supremelaw.org/cc/hill/tort.claim/usms/ethics.team/code.of.professional.responsibility/page01.gif
http://www.supremelaw.org/cc/hill/tort.claim/usms/ethics.team/code.of.professional.responsibility/page02.gif
http://www.supremelaw.org/cc/hill/tort.claim/usms/ethics.team/code.of.professional.responsibility/page03.gif
http://www.supremelaw.org/cc/hill/tort.claim/usms/ethics.team/code.of.professional.responsibility/page04.gif

http://www.supremelaw.org/cc/hill/tort.claim/usms/ethics.team/day/letter.2016-09-27/page01.gif
http://www.supremelaw.org/cc/hill/tort.claim/usms/ethics.team/day/letter.2016-09-27/page02.gif
http://www.supremelaw.org/cc/hill/tort.claim/usms/ethics.team/day/20110129-issa.pdf
http://www.supremelaw.org/cc/hill/tort.claim/usms/ethics.team/day/affidavit.gif
http://www.supremelaw.org/cc/hill/tort.claim/usms/ethics.team/day/affidavit.refused.gif
http://www.supremelaw.org/cc/hill/tort.claim/usms/ethics.team/day/email.address.txt
http://www.supremelaw.org/cc/hill/tort.claim/usms/ethics.team/day/foia.request.day.verified.doc
http://www.supremelaw.org/cc/hill/tort.claim/usms/ethics.team/day/foia.request.day.verified.htm
http://www.supremelaw.org/cc/hill/tort.claim/usms/ethics.team/day/foia.request.day.verified.pdf
http://www.supremelaw.org/cc/hill/tort.claim/usms/ethics.team/day/mailing.address.txt
http://www.supremelaw.org/cc/hill/tort.claim/usms/ethics.team/day/reservation.of.right.to.inspect.doc
http://www.supremelaw.org/cc/hill/tort.claim/usms/ethics.team/day/reservation.of.right.to.inspect.htm
http://www.supremelaw.org/cc/hill/tort.claim/usms/ethics.team/day/reservation.of.right.to.inspect.pdf
http://www.supremelaw.org/cc/hill/tort.claim/usms/ethics.team/day/state.bar.record.dcbar.doc
http://www.supremelaw.org/cc/hill/tort.claim/usms/ethics.team/day/state.bar.record.dcbar.htm
http://www.supremelaw.org/cc/hill/tort.claim/usms/ethics.team/day/state.bar.record.dcbar.pdf

http://www.supremelaw.org/cc/hill/tort.claim/usms/ethics.team/dickinson/letter.2016-08-29/page01.gif
http://www.supremelaw.org/cc/hill/tort.claim/usms/ethics.team/dickinson/letter.2016-08-29/page01.refused.gif
http://www.supremelaw.org/cc/hill/tort.claim/usms/ethics.team/dickinson/letter.2016-08-29/page02.gif
http://www.supremelaw.org/cc/hill/tort.claim/usms/ethics.team/dickinson/letter.2016-08-29/page02.refused.gif
http://www.supremelaw.org/cc/hill/tort.claim/usms/ethics.team/dickinson/letter.2016-08-29/page03.gif
http://www.supremelaw.org/cc/hill/tort.claim/usms/ethics.team/dickinson/letter.2016-09-12/page01.gif
http://www.supremelaw.org/cc/hill/tort.claim/usms/ethics.team/dickinson/letter.2016-09-12/page02.gif
http://www.supremelaw.org/cc/hill/tort.claim/usms/ethics.team/dickinson/letter.2016-09-12/page03.gif
http://www.supremelaw.org/cc/hill/tort.claim/usms/ethics.team/dickinson/letter.2016-09-26/page01.gif
http://www.supremelaw.org/cc/hill/tort.claim/usms/ethics.team/dickinson/letter.2016-09-26/page02.gif
http://www.supremelaw.org/cc/hill/tort.claim/usms/ethics.team/dickinson/letter.2016-09-28/page01.gif
http://www.supremelaw.org/cc/hill/tort.claim/usms/ethics.team/dickinson/letter.2016-09-28/page02.gif
http://www.supremelaw.org/cc/hill/tort.claim/usms/ethics.team/dickinson/letter.2017-01-13/page01.gif
http://www.supremelaw.org/cc/hill/tort.claim/usms/ethics.team/dickinson/letter.2017-01-13/page02.gif
http://www.supremelaw.org/cc/hill/tort.claim/usms/ethics.team/dickinson/certificate.of.mailing.2017-01-13.1.gif
http://www.supremelaw.org/cc/hill/tort.claim/usms/ethics.team/dickinson/certificate.of.mailing.2017-01-13.2.gif
http://www.supremelaw.org/cc/hill/tort.claim/usms/ethics.team/dickinson/email.address.txt
http://www.supremelaw.org/cc/hill/tort.claim/usms/ethics.team/dickinson/foia.request.dickinson.verified.doc
http://www.supremelaw.org/cc/hill/tort.claim/usms/ethics.team/dickinson/foia.request.dickinson.verified.htm
http://www.supremelaw.org/cc/hill/tort.claim/usms/ethics.team/dickinson/foia.request.dickinson.verified.pdf
http://www.supremelaw.org/cc/hill/tort.claim/usms/ethics.team/dickinson/Gmail%20-%20FOIA%20Request%20DOJ-2016-004969%20Submitted.htm
http://www.supremelaw.org/cc/hill/tort.claim/usms/ethics.team/dickinson/Gmail%20-%20FOIA%20Request%20DOJ-2016-004969%20Submitted.pdf
http://www.supremelaw.org/cc/hill/tort.claim/usms/ethics.team/dickinson/nad.affidavit.doc
http://www.supremelaw.org/cc/hill/tort.claim/usms/ethics.team/dickinson/nad.affidavit.htm
http://www.supremelaw.org/cc/hill/tort.claim/usms/ethics.team/dickinson/nad.affidavit.pdf
http://www.supremelaw.org/cc/hill/tort.claim/usms/ethics.team/dickinson/reservation.of.right.to.inspect.doc
http://www.supremelaw.org/cc/hill/tort.claim/usms/ethics.team/dickinson/reservation.of.right.to.inspect.htm
http://www.supremelaw.org/cc/hill/tort.claim/usms/ethics.team/dickinson/reservation.of.right.to.inspect.pdf
http://www.supremelaw.org/cc/hill/tort.claim/usms/ethics.team/dickinson/state.bar.record.dcbar.doc
http://www.supremelaw.org/cc/hill/tort.claim/usms/ethics.team/dickinson/state.bar.record.dcbar.htm
http://www.supremelaw.org/cc/hill/tort.claim/usms/ethics.team/dickinson/state.bar.record.dcbar.pdf
http://www.supremelaw.org/cc/hill/tort.claim/usms/ethics.team/dickinson/usps.sales.receipt.2017-01-13.gif
http://www.supremelaw.org/cc/hill/tort.claim/usms/ethics.team/dickinson/usps.tracking.9505516498367023010189.htm

http://www.supremelaw.org/cc/hill/tort.claim/usms/ethics.team/forder/letter.2016-08-29/page01.gif
http://www.supremelaw.org/cc/hill/tort.claim/usms/ethics.team/forder/letter.2016-08-29/page01.refused.gif
http://www.supremelaw.org/cc/hill/tort.claim/usms/ethics.team/forder/letter.2016-08-29/page02.gif
http://www.supremelaw.org/cc/hill/tort.claim/usms/ethics.team/forder/letter.2016-08-29/page02.refused.gif
http://www.supremelaw.org/cc/hill/tort.claim/usms/ethics.team/forder/letter.2016-08-29/page03.gif
http://www.supremelaw.org/cc/hill/tort.claim/usms/ethics.team/forder/letter.2016-09-12/page01.gif
http://www.supremelaw.org/cc/hill/tort.claim/usms/ethics.team/forder/letter.2016-09-12/page02.gif
http://www.supremelaw.org/cc/hill/tort.claim/usms/ethics.team/forder/letter.2016-09-12/page03.gif
http://www.supremelaw.org/cc/hill/tort.claim/usms/ethics.team/forder/letter.2016-09-26/page01.gif
http://www.supremelaw.org/cc/hill/tort.claim/usms/ethics.team/forder/letter.2016-09-26/page02.gif
http://www.supremelaw.org/cc/hill/tort.claim/usms/ethics.team/forder/letter.2016-09-28/page01.gif
http://www.supremelaw.org/cc/hill/tort.claim/usms/ethics.team/forder/letter.2016-09-28/page02.gif
http://www.supremelaw.org/cc/hill/tort.claim/usms/ethics.team/forder/affidavit.gif
http://www.supremelaw.org/cc/hill/tort.claim/usms/ethics.team/forder/affidavit.refused.gif
http://www.supremelaw.org/cc/hill/tort.claim/usms/ethics.team/forder/email.address.txt
http://www.supremelaw.org/cc/hill/tort.claim/usms/ethics.team/forder/foia.request.forder.verified.doc
http://www.supremelaw.org/cc/hill/tort.claim/usms/ethics.team/forder/foia.request.forder.verified.htm
http://www.supremelaw.org/cc/hill/tort.claim/usms/ethics.team/forder/foia.request.forder.verified.pdf
http://www.supremelaw.org/cc/hill/tort.claim/usms/ethics.team/forder/Gmail%20-%20FOIA%20Request%20DOJ-2016-004970%20Submitted.htm
http://www.supremelaw.org/cc/hill/tort.claim/usms/ethics.team/forder/Gmail%20-%20FOIA%20Request%20DOJ-2016-004970%20Submitted.pdf
http://www.supremelaw.org/cc/hill/tort.claim/usms/ethics.team/forder/nad.affidavit.doc
http://www.supremelaw.org/cc/hill/tort.claim/usms/ethics.team/forder/nad.affidavit.htm
http://www.supremelaw.org/cc/hill/tort.claim/usms/ethics.team/forder/nad.affidavit.pdf
http://www.supremelaw.org/cc/hill/tort.claim/usms/ethics.team/forder/reservation.of.right.to.inspect.doc
http://www.supremelaw.org/cc/hill/tort.claim/usms/ethics.team/forder/reservation.of.right.to.inspect.htm
http://www.supremelaw.org/cc/hill/tort.claim/usms/ethics.team/forder/reservation.of.right.to.inspect.pdf
http://www.supremelaw.org/cc/hill/tort.claim/usms/ethics.team/forder/state.bar.record.dcbar.doc
http://www.supremelaw.org/cc/hill/tort.claim/usms/ethics.team/forder/state.bar.record.dcbar.htm
http://www.supremelaw.org/cc/hill/tort.claim/usms/ethics.team/forder/state.bar.record.dcbar.pdf

http://www.supremelaw.org/cc/hill/tort.claim/usms/ethics.team/kim/letter.2016-08-29/page01.gif
http://www.supremelaw.org/cc/hill/tort.claim/usms/ethics.team/kim/letter.2016-08-29/page01.refused.gif
http://www.supremelaw.org/cc/hill/tort.claim/usms/ethics.team/kim/letter.2016-08-29/page02.gif
http://www.supremelaw.org/cc/hill/tort.claim/usms/ethics.team/kim/letter.2016-08-29/page02.refused.gif
http://www.supremelaw.org/cc/hill/tort.claim/usms/ethics.team/kim/letter.2016-08-29/page03.gif
http://www.supremelaw.org/cc/hill/tort.claim/usms/ethics.team/kim/letter.2016-09-12/page01.gif
http://www.supremelaw.org/cc/hill/tort.claim/usms/ethics.team/kim/letter.2016-09-12/page02.gif
http://www.supremelaw.org/cc/hill/tort.claim/usms/ethics.team/kim/letter.2016-09-12/page03.gif
http://www.supremelaw.org/cc/hill/tort.claim/usms/ethics.team/kim/letter.2016-09-26/page01.gif
http://www.supremelaw.org/cc/hill/tort.claim/usms/ethics.team/kim/letter.2016-09-26/page02.gif
http://www.supremelaw.org/cc/hill/tort.claim/usms/ethics.team/kim/letter.2016-09-28/page01.gif
http://www.supremelaw.org/cc/hill/tort.claim/usms/ethics.team/kim/letter.2016-09-28/page02.gif
http://www.supremelaw.org/cc/hill/tort.claim/usms/ethics.team/kim/affidavit.gif
http://www.supremelaw.org/cc/hill/tort.claim/usms/ethics.team/kim/affidavit.refused.gif
http://www.supremelaw.org/cc/hill/tort.claim/usms/ethics.team/kim/email.address.txt
http://www.supremelaw.org/cc/hill/tort.claim/usms/ethics.team/kim/foia.request.kim.verified.doc
http://www.supremelaw.org/cc/hill/tort.claim/usms/ethics.team/kim/foia.request.kim.verified.htm
http://www.supremelaw.org/cc/hill/tort.claim/usms/ethics.team/kim/foia.request.kim.verified.pdf
http://www.supremelaw.org/cc/hill/tort.claim/usms/ethics.team/kim/Gmail%20-%20FOIA%20Request%20DOJ-2016-004971%20Submitted.htm
http://www.supremelaw.org/cc/hill/tort.claim/usms/ethics.team/kim/Gmail%20-%20FOIA%20Request%20DOJ-2016-004971%20Submitted.pdf
http://www.supremelaw.org/cc/hill/tort.claim/usms/ethics.team/kim/nad.affidavit.doc
http://www.supremelaw.org/cc/hill/tort.claim/usms/ethics.team/kim/nad.affidavit.htm
http://www.supremelaw.org/cc/hill/tort.claim/usms/ethics.team/kim/nad.affidavit.pdf
http://www.supremelaw.org/cc/hill/tort.claim/usms/ethics.team/kim/reservation.of.right.to.inspect.doc
http://www.supremelaw.org/cc/hill/tort.claim/usms/ethics.team/kim/reservation.of.right.to.inspect.htm
http://www.supremelaw.org/cc/hill/tort.claim/usms/ethics.team/kim/reservation.of.right.to.inspect.pdf
http://www.supremelaw.org/cc/hill/tort.claim/usms/ethics.team/kim/state.bar.record.dcbar.doc
http://www.supremelaw.org/cc/hill/tort.claim/usms/ethics.team/kim/state.bar.record.dcbar.htm
http://www.supremelaw.org/cc/hill/tort.claim/usms/ethics.team/kim/state.bar.record.dcbar.pdf
http://www.supremelaw.org/cc/hill/tort.claim/usms/ethics.team/kim/state.bar.record.msba.doc
http://www.supremelaw.org/cc/hill/tort.claim/usms/ethics.team/kim/state.bar.record.msba.htm
http://www.supremelaw.org/cc/hill/tort.claim/usms/ethics.team/kim/state.bar.record.msba.pdf

http://www.supremelaw.org/cc/hill/tort.claim/usms/ethics.team/letter.2016-08-29/page01.gif
http://www.supremelaw.org/cc/hill/tort.claim/usms/ethics.team/letter.2016-08-29/page01.refused.gif
http://www.supremelaw.org/cc/hill/tort.claim/usms/ethics.team/letter.2016-08-29/page02.gif
http://www.supremelaw.org/cc/hill/tort.claim/usms/ethics.team/letter.2016-08-29/page02.refused.gif
http://www.supremelaw.org/cc/hill/tort.claim/usms/ethics.team/letter.2016-08-29/page03.gif
http://www.supremelaw.org/cc/hill/tort.claim/usms/ethics.team/letter.2016-10-14/page01.gif
http://www.supremelaw.org/cc/hill/tort.claim/usms/ethics.team/letter.2016-10-14/page01.refused.gif
http://www.supremelaw.org/cc/hill/tort.claim/usms/ethics.team/letter.2016-10-14/page02.gif
http://www.supremelaw.org/cc/hill/tort.claim/usms/ethics.team/letter.2016-10-14/page03.gif
http://www.supremelaw.org/cc/hill/tort.claim/usms/ethics.team/letter.2016-10-21/page01.gif
http://www.supremelaw.org/cc/hill/tort.claim/usms/ethics.team/letter.2016-10-21/page01.refused.gif
http://www.supremelaw.org/cc/hill/tort.claim/usms/ethics.team/letter.2016-10-21/page02.gif
http://www.supremelaw.org/cc/hill/tort.claim/usms/ethics.team/letter.2016-10-21/page03.gif
http://www.supremelaw.org/cc/hill/tort.claim/usms/ethics.team/letter.2016-11-17/page01.gif
http://www.supremelaw.org/cc/hill/tort.claim/usms/ethics.team/letter.2016-11-17/page02.gif

http://www.supremelaw.org/cc/hill/tort.claim/usms/ethics.team/marcovici/letter.2016-08-29/page01.gif
http://www.supremelaw.org/cc/hill/tort.claim/usms/ethics.team/marcovici/letter.2016-08-29/page01.refused.gif
http://www.supremelaw.org/cc/hill/tort.claim/usms/ethics.team/marcovici/letter.2016-08-29/page02.gif
http://www.supremelaw.org/cc/hill/tort.claim/usms/ethics.team/marcovici/letter.2016-08-29/page02.refused.gif
http://www.supremelaw.org/cc/hill/tort.claim/usms/ethics.team/marcovici/letter.2016-08-29/page03.gif
http://www.supremelaw.org/cc/hill/tort.claim/usms/ethics.team/marcovici/letter.2016-09-12/page01.gif
http://www.supremelaw.org/cc/hill/tort.claim/usms/ethics.team/marcovici/letter.2016-09-12/page02.gif
http://www.supremelaw.org/cc/hill/tort.claim/usms/ethics.team/marcovici/letter.2016-09-12/page03.gif
http://www.supremelaw.org/cc/hill/tort.claim/usms/ethics.team/marcovici/letter.2016-09-26/page01.gif
http://www.supremelaw.org/cc/hill/tort.claim/usms/ethics.team/marcovici/letter.2016-09-26/page02.gif
http://www.supremelaw.org/cc/hill/tort.claim/usms/ethics.team/marcovici/letter.2016-09-28/page01.gif
http://www.supremelaw.org/cc/hill/tort.claim/usms/ethics.team/marcovici/letter.2016-09-28/page02.gif
http://www.supremelaw.org/cc/hill/tort.claim/usms/ethics.team/marcovici/affidavit.gif
http://www.supremelaw.org/cc/hill/tort.claim/usms/ethics.team/marcovici/affidavit.refused.gif
http://www.supremelaw.org/cc/hill/tort.claim/usms/ethics.team/marcovici/foia.request.marcovici.verified.doc
http://www.supremelaw.org/cc/hill/tort.claim/usms/ethics.team/marcovici/foia.request.marcovici.verified.htm
http://www.supremelaw.org/cc/hill/tort.claim/usms/ethics.team/marcovici/foia.request.marcovici.verified.pdf
http://www.supremelaw.org/cc/hill/tort.claim/usms/ethics.team/marcovici/Gmail%20-%20FOIA%20Request%20DOJ-2016-004972%20Submitted.htm
http://www.supremelaw.org/cc/hill/tort.claim/usms/ethics.team/marcovici/Gmail%20-%20FOIA%20Request%20DOJ-2016-004972%20Submitted.pdf
http://www.supremelaw.org/cc/hill/tort.claim/usms/ethics.team/marcovici/mailing.address.vsb.txt
http://www.supremelaw.org/cc/hill/tort.claim/usms/ethics.team/marcovici/nad.affidavit.doc
http://www.supremelaw.org/cc/hill/tort.claim/usms/ethics.team/marcovici/nad.affidavit.htm
http://www.supremelaw.org/cc/hill/tort.claim/usms/ethics.team/marcovici/nad.affidavit.pdf
http://www.supremelaw.org/cc/hill/tort.claim/usms/ethics.team/marcovici/reservation.of.right.to.inspect.doc
http://www.supremelaw.org/cc/hill/tort.claim/usms/ethics.team/marcovici/reservation.of.right.to.inspect.htm
http://www.supremelaw.org/cc/hill/tort.claim/usms/ethics.team/marcovici/reservation.of.right.to.inspect.pdf
http://www.supremelaw.org/cc/hill/tort.claim/usms/ethics.team/marcovici/state.bar.record.vsb.doc
http://www.supremelaw.org/cc/hill/tort.claim/usms/ethics.team/marcovici/state.bar.record.vsb.htm
http://www.supremelaw.org/cc/hill/tort.claim/usms/ethics.team/marcovici/state.bar.record.vsb.pdf

http://www.supremelaw.org/cc/hill/tort.claim/usms/ethics.team/radcliffe/letter.2016-09-27/page01.gif
http://www.supremelaw.org/cc/hill/tort.claim/usms/ethics.team/radcliffe/letter.2016-09-27/page02.gif
http://www.supremelaw.org/cc/hill/tort.claim/usms/ethics.team/radcliffe/affidavit.gif
http://www.supremelaw.org/cc/hill/tort.claim/usms/ethics.team/radcliffe/affidavit.refused.gif
http://www.supremelaw.org/cc/hill/tort.claim/usms/ethics.team/radcliffe/Bio.htm
http://www.supremelaw.org/cc/hill/tort.claim/usms/ethics.team/radcliffe/foia.request.radcliffe.verified.doc
http://www.supremelaw.org/cc/hill/tort.claim/usms/ethics.team/radcliffe/foia.request.radcliffe.verified.htm
http://www.supremelaw.org/cc/hill/tort.claim/usms/ethics.team/radcliffe/foia.request.radcliffe.verified.pdf
http://www.supremelaw.org/cc/hill/tort.claim/usms/ethics.team/radcliffe/mailing.address.nycourts.txt
http://www.supremelaw.org/cc/hill/tort.claim/usms/ethics.team/radcliffe/photo.bmp
http://www.supremelaw.org/cc/hill/tort.claim/usms/ethics.team/radcliffe/reservation.of.right.to.inspect.doc
http://www.supremelaw.org/cc/hill/tort.claim/usms/ethics.team/radcliffe/reservation.of.right.to.inspect.htm
http://www.supremelaw.org/cc/hill/tort.claim/usms/ethics.team/radcliffe/reservation.of.right.to.inspect.pdf
http://www.supremelaw.org/cc/hill/tort.claim/usms/ethics.team/radcliffe/state.bar.record.nysba.doc
http://www.supremelaw.org/cc/hill/tort.claim/usms/ethics.team/radcliffe/state.bar.record.nysba.htm
http://www.supremelaw.org/cc/hill/tort.claim/usms/ethics.team/radcliffe/state.bar.record.nysba.pdf

http://www.supremelaw.org/cc/hill/tort.claim/usms/ethics.team/certificate.of.mailing.2016-10-11.gif
http://www.supremelaw.org/cc/hill/tort.claim/usms/ethics.team/ethics.team.members.doc
http://www.supremelaw.org/cc/hill/tort.claim/usms/ethics.team/ethics.team.members.htm
http://www.supremelaw.org/cc/hill/tort.claim/usms/ethics.team/ethics.team.members.pdf
http://www.supremelaw.org/cc/hill/tort.claim/usms/ethics.team/ethics.team.members.txt
http://www.supremelaw.org/cc/hill/tort.claim/usms/ethics.team/foia.appeal.doc
http://www.supremelaw.org/cc/hill/tort.claim/usms/ethics.team/foia.appeal.htm
http://www.supremelaw.org/cc/hill/tort.claim/usms/ethics.team/foia.appeal.pdf
http://www.supremelaw.org/cc/hill/tort.claim/usms/ethics.team/foia.request.administers.doc
http://www.supremelaw.org/cc/hill/tort.claim/usms/ethics.team/foia.request.administers.htm
http://www.supremelaw.org/cc/hill/tort.claim/usms/ethics.team/foia.request.administers.pdf
http://www.supremelaw.org/cc/hill/tort.claim/usms/ethics.team/general_management.pdf
http://www.supremelaw.org/cc/hill/tort.claim/usms/ethics.team/mailing.addresses.txt
http://www.supremelaw.org/cc/hill/tort.claim/usms/ethics.team/U.S.Marshals.Service.Ethics.Index.htm
http://www.supremelaw.org/cc/hill/tort.claim/usms/ethics.team/U.S.Marshals.Service.Ethics.Index.pdf
http://www.supremelaw.org/cc/hill/tort.claim/usms/ethics.team/usps.tracking.9505521388116217000431.htm
http://www.supremelaw.org/cc/hill/tort.claim/usms/ethics.team/usps.tracking.9505521388116242000338.htm

http://www.supremelaw.org/cc/hill/tort.claim/usms/letter.2016-09-12/page01.gif
http://www.supremelaw.org/cc/hill/tort.claim/usms/letter.2016-09-12/page02.gif
http://www.supremelaw.org/cc/hill/tort.claim/usms/letter.2016-09-12/page03.gif
http://www.supremelaw.org/cc/hill/tort.claim/usms/letter.2016-09-28/page01.gif
http://www.supremelaw.org/cc/hill/tort.claim/usms/letter.2016-09-28/page02.gif
http://www.supremelaw.org/cc/hill/tort.claim/usms/letter.2016-11-01/page01.gif
http://www.supremelaw.org/cc/hill/tort.claim/usms/letter.2016-11-01/page01.refused.gif
http://www.supremelaw.org/cc/hill/tort.claim/usms/letter.2016-11-01/page02.gif
http://www.supremelaw.org/cc/hill/tort.claim/usms/FOIA.Appeal.DOJ-AP-2016-004925.pdf
http://www.supremelaw.org/cc/hill/tort.claim/usms/foia.request.1.doc
http://www.supremelaw.org/cc/hill/tort.claim/usms/foia.request.1.htm
http://www.supremelaw.org/cc/hill/tort.claim/usms/foia.request.1.pdf
http://www.supremelaw.org/cc/hill/tort.claim/usms/foia.request.1.verified.doc
http://www.supremelaw.org/cc/hill/tort.claim/usms/foia.request.1.verified.htm
http://www.supremelaw.org/cc/hill/tort.claim/usms/foia.request.1.verified.pdf
http://www.supremelaw.org/cc/hill/tort.claim/usms/Gmail%20-%20FOIA%20Appeal%20DOJ-AP-2016-004925%20Submitted.htm
http://www.supremelaw.org/cc/hill/tort.claim/usms/Gmail%20-%20FOIA%20Appeal%20DOJ-AP-2016-004925%20Submitted.pdf
http://www.supremelaw.org/cc/hill/tort.claim/usms/usps.green.card.70092820000232581391.gif
http://www.supremelaw.org/cc/hill/tort.claim/usms/usps.sales.receipt.2017-01-11.gif
http://www.supremelaw.org/cc/hill/tort.claim/usms/usps.tracking.70092820000232581391.htm
http://www.supremelaw.org/cc/hill/tort.claim/usms/usps.tracking.9505521388116191000632.htm

http://www.supremelaw.org/cc/hill/tort.claim/werfel/certificate.of.mailing.2017-03-06.gif
http://www.supremelaw.org/cc/hill/tort.claim/werfel/foia.request.doc
http://www.supremelaw.org/cc/hill/tort.claim/werfel/foia.request.htm
http://www.supremelaw.org/cc/hill/tort.claim/werfel/foia.request.pdf
http://www.supremelaw.org/cc/hill/tort.claim/werfel/nad.affidavit.doc
http://www.supremelaw.org/cc/hill/tort.claim/werfel/nad.affidavit.htm
http://www.supremelaw.org/cc/hill/tort.claim/werfel/nad.affidavit.pdf
http://www.supremelaw.org/cc/hill/tort.claim/werfel/usps.sales.receipt.2017-03-06.gif
http://www.supremelaw.org/cc/hill/tort.claim/werfel/usps.tracking.9505515456187065052322.htm

http://www.supremelaw.org/cc/hill/tort.claim/wilkins/letter.2016-08-17/page01.gif
http://www.supremelaw.org/cc/hill/tort.claim/wilkins/letter.2016-08-17/page02.gif
http://www.supremelaw.org/cc/hill/tort.claim/wilkins/letter.2016-09-02/Mitchell,%20Paul%20A.%2016-004926%20-004927%20-004928%20-004964-5.pdf
http://www.supremelaw.org/cc/hill/tort.claim/wilkins/letter.2016-09-20/page01.gif
http://www.supremelaw.org/cc/hill/tort.claim/wilkins/letter.2016-09-20/page02.gif
http://www.supremelaw.org/cc/hill/tort.claim/wilkins/letter.2016-09-20/page03.gif
http://www.supremelaw.org/cc/hill/tort.claim/wilkins/letter.2016-09-20/page04.gif
http://www.supremelaw.org/cc/hill/tort.claim/wilkins/letter.2016-09-20/page05.gif
http://www.supremelaw.org/cc/hill/tort.claim/wilkins/letter.2016-09-20/page06.gif
http://www.supremelaw.org/cc/hill/tort.claim/wilkins/letter.2016-09-20/page07.gif
http://www.supremelaw.org/cc/hill/tort.claim/wilkins/letter.2016-12-29/page01.gif
http://www.supremelaw.org/cc/hill/tort.claim/wilkins/letter.2016-12-29/page02.gif
http://www.supremelaw.org/cc/hill/tort.claim/wilkins/letter.2016-12-29/page03.gif
http://www.supremelaw.org/cc/hill/tort.claim/wilkins/letter.2016-12-29/page04.gif
http://www.supremelaw.org/cc/hill/tort.claim/wilkins/letter.2016-12-29/page05.gif
http://www.supremelaw.org/cc/hill/tort.claim/wilkins/affidavit.gif
http://www.supremelaw.org/cc/hill/tort.claim/wilkins/affidavit.refused.gif
http://www.supremelaw.org/cc/hill/tort.claim/wilkins/certificate.of.mailing.2016-10-11.gif
http://www.supremelaw.org/cc/hill/tort.claim/wilkins/certificate.of.mailing.2017-01-11.1.gif
http://www.supremelaw.org/cc/hill/tort.claim/wilkins/certificate.of.mailing.2017-01-11.2.gif
http://www.supremelaw.org/cc/hill/tort.claim/wilkins/FOIA.Appeal.DOJ-AP-2016-004928.pdf
http://www.supremelaw.org/cc/hill/tort.claim/wilkins/foia.request.wilkins.doc
http://www.supremelaw.org/cc/hill/tort.claim/wilkins/foia.request.wilkins.htm
http://www.supremelaw.org/cc/hill/tort.claim/wilkins/foia.request.wilkins.pdf
http://www.supremelaw.org/cc/hill/tort.claim/wilkins/Gmail%20-%20FOIA%20Appeal%20DOJ-AP-2016-004928%20Submitted.htm
http://www.supremelaw.org/cc/hill/tort.claim/wilkins/Gmail%20-%20FOIA%20Appeal%20DOJ-AP-2016-004928%20Submitted.pdf
http://www.supremelaw.org/cc/hill/tort.claim/wilkins/mailing.address.txt
http://www.supremelaw.org/cc/hill/tort.claim/wilkins/nad.affidavit.doc
http://www.supremelaw.org/cc/hill/tort.claim/wilkins/nad.affidavit.htm
http://www.supremelaw.org/cc/hill/tort.claim/wilkins/nad.affidavit.pdf
http://www.supremelaw.org/cc/hill/tort.claim/wilkins/reservation.of.right.to.inspect.doc
http://www.supremelaw.org/cc/hill/tort.claim/wilkins/reservation.of.right.to.inspect.htm
http://www.supremelaw.org/cc/hill/tort.claim/wilkins/reservation.of.right.to.inspect.pdf
http://www.supremelaw.org/cc/hill/tort.claim/wilkins/resignation.2017-01-20.pdf
http://www.supremelaw.org/cc/hill/tort.claim/wilkins/state.bar.record.dcbar.doc
http://www.supremelaw.org/cc/hill/tort.claim/wilkins/state.bar.record.dcbar.htm
http://www.supremelaw.org/cc/hill/tort.claim/wilkins/state.bar.record.dcbar.pdf
http://www.supremelaw.org/cc/hill/tort.claim/wilkins/usps.green.card.70092820000232581384.gif
http://www.supremelaw.org/cc/hill/tort.claim/wilkins/usps.green.card.70092820000232581483.gif
http://www.supremelaw.org/cc/hill/tort.claim/wilkins/usps.sales.receipt.2017-01-11.gif
http://www.supremelaw.org/cc/hill/tort.claim/wilkins/usps.sales.receipt.2017-01-13.gif
http://www.supremelaw.org/cc/hill/tort.claim/wilkins/usps.tracking.70092820000232581292.htm
http://www.supremelaw.org/cc/hill/tort.claim/wilkins/usps.tracking.70092820000232581384.htm
http://www.supremelaw.org/cc/hill/tort.claim/wilkins/usps.tracking.70092820000232581483.htm
http://www.supremelaw.org/cc/hill/tort.claim/wilkins/usps.tracking.9505516498367013004648.htm

http://www.supremelaw.org/cc/hill/tort.claim/yates/affidavit.gif
http://www.supremelaw.org/cc/hill/tort.claim/yates/affidavit.refused.gif
http://www.supremelaw.org/cc/hill/tort.claim/yates/dag_yates_appointment_affidavit.pdf

http://www.supremelaw.org/cc/hill/tort.claim/chief.counsel.mailing.address.txt

http://www.supremelaw.org/cc/hill/tort.claim/cover.page.supplements.doc
http://www.supremelaw.org/cc/hill/tort.claim/cover.page.supplements.htm
http://www.supremelaw.org/cc/hill/tort.claim/cover.page.supplements.pdf

http://www.supremelaw.org/cc/hill/tort.claim/dc.bar.counsel.doc
http://www.supremelaw.org/cc/hill/tort.claim/dc.bar.counsel.htm
http://www.supremelaw.org/cc/hill/tort.claim/dc.bar.counsel.pdf

http://www.supremelaw.org/cc/hill/tort.claim/dcobc.email.addresses.doc

http://www.supremelaw.org/cc/hill/tort.claim/IRSDirectory-Fall2010.PDF

http://www.supremelaw.org/cc/hill/tort.claim/lerner.scandal.group.one.doc
http://www.supremelaw.org/cc/hill/tort.claim/lerner.scandal.group.one.htm
http://www.supremelaw.org/cc/hill/tort.claim/lerner.scandal.group.one.pdf
http://www.supremelaw.org/cc/hill/tort.claim/lerner.scandal.group.two.doc
http://www.supremelaw.org/cc/hill/tort.claim/lerner.scandal.group.two.htm
http://www.supremelaw.org/cc/hill/tort.claim/lerner.scandal.group.two.pdf

http://www.supremelaw.org/cc/hill/tort.claim/martinez.doc
http://www.supremelaw.org/cc/hill/tort.claim/martinez.htm
http://www.supremelaw.org/cc/hill/tort.claim/martinez.pdf

http://www.supremelaw.org/cc/hill/tort.claim/New.DOJ.Policy.doc

http://www.supremelaw.org/cc/hill/tort.claim/NOBC.Membership.Directory.10.26.2015.pdf

http://www.supremelaw.org/cc/hill/tort.claim/page01.gif
http://www.supremelaw.org/cc/hill/tort.claim/page02.gif
http://www.supremelaw.org/cc/hill/tort.claim/page03.gif

http://www.supremelaw.org/cc/hill/tort.claim/SF-95.doc
http://www.supremelaw.org/cc/hill/tort.claim/SF-95.htm
http://www.supremelaw.org/cc/hill/tort.claim/SF-95.html
http://www.supremelaw.org/cc/hill/tort.claim/SF-95.pdf
http://www.supremelaw.org/cc/hill/tort.claim/SF95-07.pdf

http://www.supremelaw.org/cc/hill/tort.claim/tax.court.suspects.doc
http://www.supremelaw.org/cc/hill/tort.claim/tax.court.suspects.htm
http://www.supremelaw.org/cc/hill/tort.claim/tax.court.suspects.pdf

http://www.supremelaw.org/cc/hill/tort.claim/toc.tort.claim.supplements.doc
http://www.supremelaw.org/cc/hill/tort.claim/toc.tort.claim.supplements.htm

http://www.supremelaw.org/cc/hill/tort.claim/usdc.dc.suspects.doc
http://www.supremelaw.org/cc/hill/tort.claim/usdc.dc.suspects.htm
http://www.supremelaw.org/cc/hill/tort.claim/usdc.dc.suspects.pdf

http://www.supremelaw.org/cc/hill/tort.claim/usps.green.card.70092820000232581414.gif
http://www.supremelaw.org/cc/hill/tort.claim/usps.green.card.70092820000232581421.gif
http://www.supremelaw.org/cc/hill/tort.claim/usps.green.card.70092820000232581445.gif
http://www.supremelaw.org/cc/hill/tort.claim/usps.tracking.70092820000232581414.htm
http://www.supremelaw.org/cc/hill/tort.claim/usps.tracking.70092820000232581421.htm
http://www.supremelaw.org/cc/hill/tort.claim/usps.tracking.70092820000232581445.htm
http://www.supremelaw.org/cc/hill/tort.claim/usps.tracking.9505521388116222000433.htm
http://www.supremelaw.org/cc/hill/tort.claim/usps.tracking.9505521388116250000801.htm
http://www.supremelaw.org/cc/hill/tort.claim/usps.tracking.9505521388116292000142.htm


http://www.supremelaw.org/cc/hill/tort.claim.bop/baime/letter.2017-02-21/2017-02579%20response%20letter.docx
http://www.supremelaw.org/cc/hill/tort.claim.bop/baime/letter.2017-02-21/2017-02579%20response%20letter.pdf
http://www.supremelaw.org/cc/hill/tort.claim.bop/baime/letter.2017-02-21/page01.refused.gif
http://www.supremelaw.org/cc/hill/tort.claim.bop/baime/letter.2017-02-21/page02.refused.gif
http://www.supremelaw.org/cc/hill/tort.claim.bop/baime/letter.2017-02-21/usps.sales.receipt.2017-02-22.gif

http://www.supremelaw.org/cc/hill/tort.claim.bop/cvra/certificate.of.mailing.2017-02-24.gif
http://www.supremelaw.org/cc/hill/tort.claim.bop/cvra/complaintformpublic.pdf
http://www.supremelaw.org/cc/hill/tort.claim.bop/cvra/exhibits.doc
http://www.supremelaw.org/cc/hill/tort.claim.bop/cvra/exhibits.htm
http://www.supremelaw.org/cc/hill/tort.claim.bop/cvra/exhibits.pdf
http://www.supremelaw.org/cc/hill/tort.claim.bop/cvra/mailing.addess.txt
http://www.supremelaw.org/cc/hill/tort.claim.bop/cvra/mailing.address.txt
http://www.supremelaw.org/cc/hill/tort.claim.bop/cvra/page01.gif
http://www.supremelaw.org/cc/hill/tort.claim.bop/cvra/page02.gif
http://www.supremelaw.org/cc/hill/tort.claim.bop/cvra/page03.gif
http://www.supremelaw.org/cc/hill/tort.claim.bop/cvra/page04.gif

http://www.supremelaw.org/cc/hill/tort.claim.bop/kane/letter.2016-12-20/page01.gif
http://www.supremelaw.org/cc/hill/tort.claim.bop/kane/letter.2016-12-20/page02.gif
http://www.supremelaw.org/cc/hill/tort.claim.bop/kane/letter.2016-12-20/page03.gif
http://www.supremelaw.org/cc/hill/tort.claim.bop/kane/letter.2016-12-20/page04.gif
http://www.supremelaw.org/cc/hill/tort.claim.bop/kane/letter.2017-01-25/page01.gif
http://www.supremelaw.org/cc/hill/tort.claim.bop/kane/letter.2017-01-25/page01.refused.gif
http://www.supremelaw.org/cc/hill/tort.claim.bop/kane/letter.2017-01-25/usps.sales.receipt.2017-01-31.gif
http://www.supremelaw.org/cc/hill/tort.claim.bop/kane/letter.2017-01-25/usps.tracking.9505516498367031014995.htm
http://www.supremelaw.org/cc/hill/tort.claim.bop/kane/letter.2017-01-25/usps.tracking.9505516498367031015008.htm
http://www.supremelaw.org/cc/hill/tort.claim.bop/kane/certificate.of.mailing.2017-01-02.2.gif
http://www.supremelaw.org/cc/hill/tort.claim.bop/kane/certificate.of.mailing.2017-01-02.gif
http://www.supremelaw.org/cc/hill/tort.claim.bop/kane/foia.request.kane.doc
http://www.supremelaw.org/cc/hill/tort.claim.bop/kane/foia.request.kane.htm
http://www.supremelaw.org/cc/hill/tort.claim.bop/kane/foia.request.kane.pdf
http://www.supremelaw.org/cc/hill/tort.claim.bop/kane/nad.affidavit.doc
http://www.supremelaw.org/cc/hill/tort.claim.bop/kane/nad.affidavit.htm
http://www.supremelaw.org/cc/hill/tort.claim.bop/kane/nad.affidavit.pdf
http://www.supremelaw.org/cc/hill/tort.claim.bop/kane/reservation.of.right.to.inspect.doc
http://www.supremelaw.org/cc/hill/tort.claim.bop/kane/reservation.of.right.to.inspect.htm
http://www.supremelaw.org/cc/hill/tort.claim.bop/kane/reservation.of.right.to.inspect.pdf
http://www.supremelaw.org/cc/hill/tort.claim.bop/kane/usps.sales.receipt.2017-01-02.gif

http://www.supremelaw.org/cc/hill/tort.claim.bop/letter.2016-12-07/certificate.of.mailing.2.gif
http://www.supremelaw.org/cc/hill/tort.claim.bop/letter.2016-12-07/certificate.of.mailing.gif
http://www.supremelaw.org/cc/hill/tort.claim.bop/letter.2016-12-07/request.for.case.number.doc
http://www.supremelaw.org/cc/hill/tort.claim.bop/letter.2016-12-07/request.for.case.number.htm
http://www.supremelaw.org/cc/hill/tort.claim.bop/letter.2016-12-07/request.for.case.number.pdf
http://www.supremelaw.org/cc/hill/tort.claim.bop/letter.2016-12-07/usps.sales.receipt.gif
http://www.supremelaw.org/cc/hill/tort.claim.bop/letter.2016-12-23/reconsideration.doc
http://www.supremelaw.org/cc/hill/tort.claim.bop/letter.2016-12-23/reconsideration.htm
http://www.supremelaw.org/cc/hill/tort.claim.bop/letter.2016-12-23/reconsideration.pdf
http://www.supremelaw.org/cc/hill/tort.claim.bop/letter.2016-12-23/usps.sales.receipt.gif
http://www.supremelaw.org/cc/hill/tort.claim.bop/letter.2016-12-23/usps.tracking.9505521388116358000505.htm
http://www.supremelaw.org/cc/hill/tort.claim.bop/letter.2017-01-25/page01.annotated.gif
http://www.supremelaw.org/cc/hill/tort.claim.bop/letter.2017-01-25/page01.gif
http://www.supremelaw.org/cc/hill/tort.claim.bop/letter.2017-01-25/usps.sales.receipt.2017-01-31.gif
http://www.supremelaw.org/cc/hill/tort.claim.bop/letter.2017-01-25/usps.tracking.9505516498367031014995.htm
http://www.supremelaw.org/cc/hill/tort.claim.bop/letter.2017-01-25/usps.tracking.9505516498367031015008.htm
http://www.supremelaw.org/cc/hill/tort.claim.bop/letter.2017-01-26/page01.gif
http://www.supremelaw.org/cc/hill/tort.claim.bop/letter.2017-01-26/page01.refused.gif
http://www.supremelaw.org/cc/hill/tort.claim.bop/letter.2017-01-26/page02.gif
http://www.supremelaw.org/cc/hill/tort.claim.bop/letter.2017-03-07/page01.gif
http://www.supremelaw.org/cc/hill/tort.claim.bop/letter.2017-03-07/page01.refused.gif
http://www.supremelaw.org/cc/hill/tort.claim.bop/letter.2017-03-07/page02.gif
http://www.supremelaw.org/cc/hill/tort.claim.bop/letter.2017-03-07.2/refusal.for.cause.doc
http://www.supremelaw.org/cc/hill/tort.claim.bop/letter.2017-03-07.2/refusal.for.cause.htm
http://www.supremelaw.org/cc/hill/tort.claim.bop/letter.2017-03-07.2/refusal.for.cause.pdf

http://www.supremelaw.org/cc/hill/tort.claim.bop/winter/letter.2017-02-17/page01.gif
http://www.supremelaw.org/cc/hill/tort.claim.bop/winter/letter.2017-02-17/page02.gif
http://www.supremelaw.org/cc/hill/tort.claim.bop/winter/letter.2017-02-17/refusal.for.cause.doc
http://www.supremelaw.org/cc/hill/tort.claim.bop/winter/letter.2017-02-17/refusal.for.cause.htm
http://www.supremelaw.org/cc/hill/tort.claim.bop/winter/letter.2017-02-17/refusal.for.cause.pdf
http://www.supremelaw.org/cc/hill/tort.claim.bop/winter/letter.2017-03-07/certificate.of.mailing.2017-03-06.gif
http://www.supremelaw.org/cc/hill/tort.claim.bop/winter/letter.2017-03-07/refusal.for.cause.doc
http://www.supremelaw.org/cc/hill/tort.claim.bop/winter/letter.2017-03-07/refusal.for.cause.htm
http://www.supremelaw.org/cc/hill/tort.claim.bop/winter/letter.2017-03-07/refusal.for.cause.pdf
http://www.supremelaw.org/cc/hill/tort.claim.bop/winter/letter.2017-03-15/certificate.of.mailing.2017-03-15.gif
http://www.supremelaw.org/cc/hill/tort.claim.bop/winter/letter.2017-03-15/refusal.for.cause.doc
http://www.supremelaw.org/cc/hill/tort.claim.bop/winter/letter.2017-03-15/refusal.for.cause.htm
http://www.supremelaw.org/cc/hill/tort.claim.bop/winter/letter.2017-03-15/refusal.for.cause.pdf
http://www.supremelaw.org/cc/hill/tort.claim.bop/winter/letter.2017-03-15/usps.sales.receipt.2017-03-15.gif
http://www.supremelaw.org/cc/hill/tort.claim.bop/winter/certificate.of.mailing.2017-03-06.gif
http://www.supremelaw.org/cc/hill/tort.claim.bop/winter/foia.request.winter.doc
http://www.supremelaw.org/cc/hill/tort.claim.bop/winter/foia.request.winter.htm
http://www.supremelaw.org/cc/hill/tort.claim.bop/winter/foia.request.winter.pdf

http://www.supremelaw.org/cc/hill/tort.claim.bop/wong/letter.2017-01-26/mailing.address.txt
http://www.supremelaw.org/cc/hill/tort.claim.bop/wong/letter.2017-01-26/usps.tracking.70111150000199264005.htm
http://www.supremelaw.org/cc/hill/tort.claim.bop/wong/letter.2017-02-02.1/email.2017-02-02.1.htm
http://www.supremelaw.org/cc/hill/tort.claim.bop/wong/letter.2017-02-02.2/email.2017-02-02.2.htm
http://www.supremelaw.org/cc/hill/tort.claim.bop/wong/letter.2017-02-03.1/email.2017-02-03.1.htm
http://www.supremelaw.org/cc/hill/tort.claim.bop/wong/letter.2017-02-03.1/mailing.address.txt
http://www.supremelaw.org/cc/hill/tort.claim.bop/wong/letter.2017-02-03.2/email.2017-02-03.2.htm
http://www.supremelaw.org/cc/hill/tort.claim.bop/wong/letter.2017-02-03.2/mailing.address.txt
http://www.supremelaw.org/cc/hill/tort.claim.bop/wong/letter.2017-02-21/2017-02579%20response%20letter.docx
http://www.supremelaw.org/cc/hill/tort.claim.bop/wong/letter.2017-02-21/2017-02579%20response%20letter.pdf
http://www.supremelaw.org/cc/hill/tort.claim.bop/wong/letter.2017-02-21/page01.refused.gif
http://www.supremelaw.org/cc/hill/tort.claim.bop/wong/letter.2017-02-21/page02.refused.gif
http://www.supremelaw.org/cc/hill/tort.claim.bop/wong/letter.2017-02-21/usps.sales.receipt.2017-02-22.gif
http://www.supremelaw.org/cc/hill/tort.claim.bop/wong/certificate.of.mailing.2017-03-06.1.gif
http://www.supremelaw.org/cc/hill/tort.claim.bop/wong/certificate.of.mailing.2017-03-06.2.gif
http://www.supremelaw.org/cc/hill/tort.claim.bop/wong/foia.request.wong.doc
http://www.supremelaw.org/cc/hill/tort.claim.bop/wong/foia.request.wong.htm
http://www.supremelaw.org/cc/hill/tort.claim.bop/wong/foia.request.wong.pdf
http://www.supremelaw.org/cc/hill/tort.claim.bop/wong/mailing.address.txt
http://www.supremelaw.org/cc/hill/tort.claim.bop/wong/nad.certificate.doc
http://www.supremelaw.org/cc/hill/tort.claim.bop/wong/nad.certificate.htm
http://www.supremelaw.org/cc/hill/tort.claim.bop/wong/nad.certificate.pdf
http://www.supremelaw.org/cc/hill/tort.claim.bop/wong/reservation.of.right.to.inspect.doc
http://www.supremelaw.org/cc/hill/tort.claim.bop/wong/reservation.of.right.to.inspect.htm
http://www.supremelaw.org/cc/hill/tort.claim.bop/wong/reservation.of.right.to.inspect.pdf
http://www.supremelaw.org/cc/hill/tort.claim.bop/wong/state.bar.record.doc
http://www.supremelaw.org/cc/hill/tort.claim.bop/wong/state.bar.record.htm
http://www.supremelaw.org/cc/hill/tort.claim.bop/wong/state.bar.record.pdf

http://www.supremelaw.org/cc/hill/tort.claim.bop/alphabetical.suspects.doc
http://www.supremelaw.org/cc/hill/tort.claim.bop/alphabetical.suspects.htm
http://www.supremelaw.org/cc/hill/tort.claim.bop/applicable.statutes.doc
http://www.supremelaw.org/cc/hill/tort.claim.bop/applicable.statutes.htm
http://www.supremelaw.org/cc/hill/tort.claim.bop/certificate.of.mailing.2017-03-06.gif
http://www.supremelaw.org/cc/hill/tort.claim.bop/cover.page.supplements.doc
http://www.supremelaw.org/cc/hill/tort.claim.bop/four.principals.nine.accessories.doc
http://www.supremelaw.org/cc/hill/tort.claim.bop/four.principals.nine.accessories.htm
http://www.supremelaw.org/cc/hill/tort.claim.bop/mailing.addresses.2.txt
http://www.supremelaw.org/cc/hill/tort.claim.bop/mailing.addresses.txt
http://www.supremelaw.org/cc/hill/tort.claim.bop/page01.gif
http://www.supremelaw.org/cc/hill/tort.claim.bop/page02.gif
http://www.supremelaw.org/cc/hill/tort.claim.bop/SF-95-BOP.pdf
http://www.supremelaw.org/cc/hill/tort.claim.bop/SF-95.doc
http://www.supremelaw.org/cc/hill/tort.claim.bop/SF-95.htm
http://www.supremelaw.org/cc/hill/tort.claim.bop/SF-95.html
http://www.supremelaw.org/cc/hill/tort.claim.bop/SF-95.pdf
http://www.supremelaw.org/cc/hill/tort.claim.bop/SF95-07.pdf
http://www.supremelaw.org/cc/hill/tort.claim.bop/standards.employee.conduct.pdf
http://www.supremelaw.org/cc/hill/tort.claim.bop/usps.sales.receipt.2017-01-09.gif
http://www.supremelaw.org/cc/hill/tort.claim.bop/usps.sales.receipt.2017-02-03.gif
http://www.supremelaw.org/cc/hill/tort.claim.bop/usps.tracking.9505515456166235007997.htm
http://www.supremelaw.org/cc/hill/tort.claim.bop/usps.tracking.9505515456176187003657.htm
http://www.supremelaw.org/cc/hill/tort.claim.bop/usps.tracking.9505515456186190003377.htm
http://www.supremelaw.org/cc/hill/tort.claim.bop/usps.tracking.9505521388116222000419.htm
http://www.supremelaw.org/cc/hill/tort.claim.bop/usps.tracking.numbers.txt


http://www.supremelaw.org/cc/hill/tort.claim.eousa/letter.2016-12-07/certificate.of.mailing.2.gif
http://www.supremelaw.org/cc/hill/tort.claim.eousa/letter.2016-12-07/certificate.of.mailing.gif
http://www.supremelaw.org/cc/hill/tort.claim.eousa/letter.2016-12-07/request.for.case.number.doc
http://www.supremelaw.org/cc/hill/tort.claim.eousa/letter.2016-12-07/request.for.case.number.htm
http://www.supremelaw.org/cc/hill/tort.claim.eousa/letter.2016-12-07/request.for.case.number.pdf
http://www.supremelaw.org/cc/hill/tort.claim.eousa/letter.2016-12-07/usps.sales.receipt.gif
http://www.supremelaw.org/cc/hill/tort.claim.eousa/letter.2016-12-23/reconsideration.doc
http://www.supremelaw.org/cc/hill/tort.claim.eousa/letter.2016-12-23/reconsideration.htm
http://www.supremelaw.org/cc/hill/tort.claim.eousa/letter.2016-12-23/reconsideration.pdf
http://www.supremelaw.org/cc/hill/tort.claim.eousa/letter.2016-12-23/usps.sales.receipt.gif
http://www.supremelaw.org/cc/hill/tort.claim.eousa/letter.2016-12-23/usps.tracking.9505521388116358000512.htm

http://www.supremelaw.org/cc/hill/tort.claim.eousa/wilkinson/letter.2017-02-07/page01.gif
http://www.supremelaw.org/cc/hill/tort.claim.eousa/wilkinson/letter.2017-02-07/page02.gif
http://www.supremelaw.org/cc/hill/tort.claim.eousa/wilkinson/letter.2017-02-07/page03.gif
http://www.supremelaw.org/cc/hill/tort.claim.eousa/wilkinson/letter.2017-02-07/page04.gif
http://www.supremelaw.org/cc/hill/tort.claim.eousa/wilkinson/letter.2017-02-07/refusal.for.fraud.doc
http://www.supremelaw.org/cc/hill/tort.claim.eousa/wilkinson/letter.2017-02-07/refusal.for.fraud.htm
http://www.supremelaw.org/cc/hill/tort.claim.eousa/wilkinson/letter.2017-02-07/refusal.for.fraud.pdf
http://www.supremelaw.org/cc/hill/tort.claim.eousa/wilkinson/letter.2017-02-07/usps.sales.receipt.2017-02-22.GIF
http://www.supremelaw.org/cc/hill/tort.claim.eousa/wilkinson/certificate.of.mailing.2017-01-02.2.gif
http://www.supremelaw.org/cc/hill/tort.claim.eousa/wilkinson/certificate.of.mailing.2017-01-02.gif
http://www.supremelaw.org/cc/hill/tort.claim.eousa/wilkinson/foia.request.wilkinson.doc
http://www.supremelaw.org/cc/hill/tort.claim.eousa/wilkinson/foia.request.wilkinson.htm
http://www.supremelaw.org/cc/hill/tort.claim.eousa/wilkinson/foia.request.wilkinson.pdf
http://www.supremelaw.org/cc/hill/tort.claim.eousa/wilkinson/nad.affidavit.doc
http://www.supremelaw.org/cc/hill/tort.claim.eousa/wilkinson/nad.affidavit.htm
http://www.supremelaw.org/cc/hill/tort.claim.eousa/wilkinson/nad.affidavit.pdf
http://www.supremelaw.org/cc/hill/tort.claim.eousa/wilkinson/reservation.of.right.to.inspect.doc
http://www.supremelaw.org/cc/hill/tort.claim.eousa/wilkinson/reservation.of.right.to.inspect.htm
http://www.supremelaw.org/cc/hill/tort.claim.eousa/wilkinson/reservation.of.right.to.inspect.pdf
http://www.supremelaw.org/cc/hill/tort.claim.eousa/wilkinson/usps.sales.receipt.2017-01-02.gif

http://www.supremelaw.org/cc/hill/tort.claim.eousa/alphabetical.suspects.doc
http://www.supremelaw.org/cc/hill/tort.claim.eousa/alphabetical.suspects.htm
http://www.supremelaw.org/cc/hill/tort.claim.eousa/applicable.statutes.doc
http://www.supremelaw.org/cc/hill/tort.claim.eousa/applicable.statutes.htm
http://www.supremelaw.org/cc/hill/tort.claim.eousa/cover.page.supplements.doc
http://www.supremelaw.org/cc/hill/tort.claim.eousa/mailing.addresses.txt
http://www.supremelaw.org/cc/hill/tort.claim.eousa/page01.gif
http://www.supremelaw.org/cc/hill/tort.claim.eousa/page02.gif
http://www.supremelaw.org/cc/hill/tort.claim.eousa/SF-95-EOUSA.pdf
http://www.supremelaw.org/cc/hill/tort.claim.eousa/SF-95.doc
http://www.supremelaw.org/cc/hill/tort.claim.eousa/SF-95.htm
http://www.supremelaw.org/cc/hill/tort.claim.eousa/SF-95.html
http://www.supremelaw.org/cc/hill/tort.claim.eousa/SF-95.pdf
http://www.supremelaw.org/cc/hill/tort.claim.eousa/SF95-07.pdf
http://www.supremelaw.org/cc/hill/tort.claim.eousa/three.principals.doc
http://www.supremelaw.org/cc/hill/tort.claim.eousa/three.principals.htm
http://www.supremelaw.org/cc/hill/tort.claim.eousa/three.principals.pdf
http://www.supremelaw.org/cc/hill/tort.claim.eousa/usps.tracking.9505515456176187003664.htm
http://www.supremelaw.org/cc/hill/tort.claim.eousa/usps.tracking.9505515456186190003384.htm
http://www.supremelaw.org/cc/hill/tort.claim.eousa/usps.tracking.9505521388116222000426.htm
http://www.supremelaw.org/cc/hill/tort.claim.eousa/usps.tracking.numbers.txt


http://www.supremelaw.org/cc/hill/tort.claim.irs/letter.2016-12-07/certificate.of.mailing.2.gif
http://www.supremelaw.org/cc/hill/tort.claim.irs/letter.2016-12-07/certificate.of.mailing.gif
http://www.supremelaw.org/cc/hill/tort.claim.irs/letter.2016-12-07/request.for.case.number.doc
http://www.supremelaw.org/cc/hill/tort.claim.irs/letter.2016-12-07/request.for.case.number.htm
http://www.supremelaw.org/cc/hill/tort.claim.irs/letter.2016-12-07/request.for.case.number.pdf
http://www.supremelaw.org/cc/hill/tort.claim.irs/letter.2016-12-07/usps.sales.receipt.gif
http://www.supremelaw.org/cc/hill/tort.claim.irs/letter.2016-12-23/reconsideration.doc
http://www.supremelaw.org/cc/hill/tort.claim.irs/letter.2016-12-23/reconsideration.htm
http://www.supremelaw.org/cc/hill/tort.claim.irs/letter.2016-12-23/reconsideration.pdf
http://www.supremelaw.org/cc/hill/tort.claim.irs/letter.2016-12-23/usps.sales.receipt.gif
http://www.supremelaw.org/cc/hill/tort.claim.irs/letter.2016-12-23/usps.tracking.9505521388116358000529.htm
http://www.supremelaw.org/cc/hill/tort.claim.irs/letter.2017-03-13/transmittal.doc
http://www.supremelaw.org/cc/hill/tort.claim.irs/letter.2017-03-13/transmittal.htm
http://www.supremelaw.org/cc/hill/tort.claim.irs/letter.2017-03-13/transmittal.pdf
http://www.supremelaw.org/cc/hill/tort.claim.irs/letter.2017-03-13/usps.sales.receipt.2017-03-13.gif
http://www.supremelaw.org/cc/hill/tort.claim.irs/letter.2017-03-13/usps.tracking.9505515456167072041144.htm

http://www.supremelaw.org/cc/hill/tort.claim.irs/moe/at-a-glance.doc
http://www.supremelaw.org/cc/hill/tort.claim.irs/moe/at-a-glance.htm
http://www.supremelaw.org/cc/hill/tort.claim.irs/moe/at-a-glance.pdf
http://www.supremelaw.org/cc/hill/tort.claim.irs/moe/mailing.address.txt

http://www.supremelaw.org/cc/hill/tort.claim.irs/paul/at-a-glance.doc
http://www.supremelaw.org/cc/hill/tort.claim.irs/paul/at-a-glance.htm
http://www.supremelaw.org/cc/hill/tort.claim.irs/paul/at-a-glance.pdf
http://www.supremelaw.org/cc/hill/tort.claim.irs/paul/mailing.address.txt

http://www.supremelaw.org/cc/hill/tort.claim.irs/alphabetical.suspects.doc
http://www.supremelaw.org/cc/hill/tort.claim.irs/alphabetical.suspects.htm
http://www.supremelaw.org/cc/hill/tort.claim.irs/applicable.statutes.doc
http://www.supremelaw.org/cc/hill/tort.claim.irs/applicable.statutes.htm
http://www.supremelaw.org/cc/hill/tort.claim.irs/cover.page.supplements.doc
http://www.supremelaw.org/cc/hill/tort.claim.irs/irs_organization_chart_october_2016.pdf
http://www.supremelaw.org/cc/hill/tort.claim.irs/mailing.addresses.txt
http://www.supremelaw.org/cc/hill/tort.claim.irs/page01.gif
http://www.supremelaw.org/cc/hill/tort.claim.irs/page02.gif
http://www.supremelaw.org/cc/hill/tort.claim.irs/SF-95-IRS.pdf
http://www.supremelaw.org/cc/hill/tort.claim.irs/SF-95.doc
http://www.supremelaw.org/cc/hill/tort.claim.irs/SF-95.htm
http://www.supremelaw.org/cc/hill/tort.claim.irs/SF-95.html
http://www.supremelaw.org/cc/hill/tort.claim.irs/SF-95.pdf
http://www.supremelaw.org/cc/hill/tort.claim.irs/SF95-07.pdf
http://www.supremelaw.org/cc/hill/tort.claim.irs/two.principals.doc
http://www.supremelaw.org/cc/hill/tort.claim.irs/two.principals.htm
http://www.supremelaw.org/cc/hill/tort.claim.irs/two.principals.pdf
http://www.supremelaw.org/cc/hill/tort.claim.irs/usps.tracking.9505515456176187003688.htm
http://www.supremelaw.org/cc/hill/tort.claim.irs/usps.tracking.9505515456186190003407.htm
http://www.supremelaw.org/cc/hill/tort.claim.irs/usps.tracking.9505521388116222000457.htm
http://www.supremelaw.org/cc/hill/tort.claim.irs/usps.tracking.numbers.txt


http://www.supremelaw.org/cc/hill/tort.claim.usdcs/duff/certificate.of.mailing.2017-01-02.2.gif
http://www.supremelaw.org/cc/hill/tort.claim.usdcs/duff/certificate.of.mailing.2017-01-02.gif
http://www.supremelaw.org/cc/hill/tort.claim.usdcs/duff/foia.request.duff.doc
http://www.supremelaw.org/cc/hill/tort.claim.usdcs/duff/foia.request.duff.htm
http://www.supremelaw.org/cc/hill/tort.claim.usdcs/duff/foia.request.duff.pdf
http://www.supremelaw.org/cc/hill/tort.claim.usdcs/duff/nad.affidavit.doc
http://www.supremelaw.org/cc/hill/tort.claim.usdcs/duff/nad.affidavit.htm
http://www.supremelaw.org/cc/hill/tort.claim.usdcs/duff/nad.affidavit.pdf
http://www.supremelaw.org/cc/hill/tort.claim.usdcs/duff/reservation.of.right.to.inspect.doc
http://www.supremelaw.org/cc/hill/tort.claim.usdcs/duff/reservation.of.right.to.inspect.htm
http://www.supremelaw.org/cc/hill/tort.claim.usdcs/duff/reservation.of.right.to.inspect.pdf
http://www.supremelaw.org/cc/hill/tort.claim.usdcs/duff/usps.sales.receipt.2017-01-02.gif

http://www.supremelaw.org/cc/hill/tort.claim.usdcs/letter.2016-12-07/certificate.of.mailing.2.gif
http://www.supremelaw.org/cc/hill/tort.claim.usdcs/letter.2016-12-07/certificate.of.mailing.gif
http://www.supremelaw.org/cc/hill/tort.claim.usdcs/letter.2016-12-07/request.for.case.number.doc
http://www.supremelaw.org/cc/hill/tort.claim.usdcs/letter.2016-12-07/request.for.case.number.htm
http://www.supremelaw.org/cc/hill/tort.claim.usdcs/letter.2016-12-07/request.for.case.number.pdf
http://www.supremelaw.org/cc/hill/tort.claim.usdcs/letter.2016-12-07/usps.sales.receipt.gif
http://www.supremelaw.org/cc/hill/tort.claim.usdcs/letter.2016-12-23/reconsideration.doc
http://www.supremelaw.org/cc/hill/tort.claim.usdcs/letter.2016-12-23/reconsideration.htm
http://www.supremelaw.org/cc/hill/tort.claim.usdcs/letter.2016-12-23/reconsideration.pdf
http://www.supremelaw.org/cc/hill/tort.claim.usdcs/letter.2016-12-23/usps.sales.receipt.gif
http://www.supremelaw.org/cc/hill/tort.claim.usdcs/letter.2016-12-23/usps.tracking.9505521388116358000536.htm
http://www.supremelaw.org/cc/hill/tort.claim.usdcs/usps.tracking.9505515456186190003391/mailing.addresses.txt
http://www.supremelaw.org/cc/hill/tort.claim.usdcs/usps.tracking.9505515456186190003391/page01.gif
http://www.supremelaw.org/cc/hill/tort.claim.usdcs/usps.tracking.9505515456186190003391/page02.gif
http://www.supremelaw.org/cc/hill/tort.claim.usdcs/usps.tracking.9505515456186190003391/page03.gif
http://www.supremelaw.org/cc/hill/tort.claim.usdcs/usps.tracking.9505515456186190003391/page04.gif
http://www.supremelaw.org/cc/hill/tort.claim.usdcs/usps.tracking.9505515456186190003391/page05.gif
http://www.supremelaw.org/cc/hill/tort.claim.usdcs/usps.tracking.9505515456186190003391/page06.gif
http://www.supremelaw.org/cc/hill/tort.claim.usdcs/usps.tracking.9505515456186190003391/page07.gif
http://www.supremelaw.org/cc/hill/tort.claim.usdcs/alphabetical.suspects.doc
http://www.supremelaw.org/cc/hill/tort.claim.usdcs/alphabetical.suspects.htm
http://www.supremelaw.org/cc/hill/tort.claim.usdcs/applicable.statutes.doc
http://www.supremelaw.org/cc/hill/tort.claim.usdcs/applicable.statutes.htm
http://www.supremelaw.org/cc/hill/tort.claim.usdcs/cover.page.supplements.doc
http://www.supremelaw.org/cc/hill/tort.claim.usdcs/mailing.addresses.txt
http://www.supremelaw.org/cc/hill/tort.claim.usdcs/page01.gif
http://www.supremelaw.org/cc/hill/tort.claim.usdcs/page02.gif
http://www.supremelaw.org/cc/hill/tort.claim.usdcs/seven.principals.five.accessories.doc
http://www.supremelaw.org/cc/hill/tort.claim.usdcs/seven.principals.five.accessories.htm
http://www.supremelaw.org/cc/hill/tort.claim.usdcs/seven.principals.five.accessories.pdf
http://www.supremelaw.org/cc/hill/tort.claim.usdcs/SF-95-AO.pdf
http://www.supremelaw.org/cc/hill/tort.claim.usdcs/SF-95.doc
http://www.supremelaw.org/cc/hill/tort.claim.usdcs/SF-95.htm
http://www.supremelaw.org/cc/hill/tort.claim.usdcs/SF-95.html
http://www.supremelaw.org/cc/hill/tort.claim.usdcs/SF-95.pdf
http://www.supremelaw.org/cc/hill/tort.claim.usdcs/SF95-07.pdf
http://www.supremelaw.org/cc/hill/tort.claim.usdcs/usps.escalation.9505515456186190003391.htm
http://www.supremelaw.org/cc/hill/tort.claim.usdcs/usps.green.card.70092820000232581315.gif
http://www.supremelaw.org/cc/hill/tort.claim.usdcs/usps.tracking.70092820000232581315.htm
http://www.supremelaw.org/cc/hill/tort.claim.usdcs/usps.tracking.9505515456176187003671.htm
http://www.supremelaw.org/cc/hill/tort.claim.usdcs/usps.tracking.9505515456186190003391.htm
http://www.supremelaw.org/cc/hill/tort.claim.usdcs/usps.tracking.9505521388116222000440.htm
http://www.supremelaw.org/cc/hill/tort.claim.usdcs/usps.tracking.numbers.txt


http://www.supremelaw.org/cc/hill/tully/subpoena.completion.enterprises/SOS/Ariz.%20Corp.%20Comm.%20--%20Corporations%20Division.htm
http://www.supremelaw.org/cc/hill/tully/subpoena.completion.enterprises/Completion-LLC-Tully%20nad.affidavit-Harris%201-7-13.2.doc
http://www.supremelaw.org/cc/hill/tully/subpoena.completion.enterprises/Completion-LLC-Tully%20nad.affidavit-Harris%201-7-13.doc
http://www.supremelaw.org/cc/hill/tully/subpoena.completion.enterprises/page01.gif
http://www.supremelaw.org/cc/hill/tully/subpoena.completion.enterprises/page02.gif
http://www.supremelaw.org/cc/hill/tully/subpoena.completion.enterprises/page03.gif
http://www.supremelaw.org/cc/hill/tully/subpoena.completion.enterprises/usps.tracking.2013-01-10.htm
http://www.supremelaw.org/cc/hill/tully/subpoena.completion.enterprises/usps.tracking.2013-01-22.htm
http://www.supremelaw.org/cc/hill/tully/subpoena.completion.group/Completion-Hill%20nad.affidavit-Harris%201-7-13.2.doc
http://www.supremelaw.org/cc/hill/tully/subpoena.completion.group/Completion-Hill%20nad.affidavit-Harris%201-7-13.doc
http://www.supremelaw.org/cc/hill/tully/subpoena.completion.group/Contact.Referral.htm
http://www.supremelaw.org/cc/hill/tully/subpoena.completion.group/page01.gif
http://www.supremelaw.org/cc/hill/tully/subpoena.completion.group/page02.gif
http://www.supremelaw.org/cc/hill/tully/subpoena.completion.group/page03.gif
http://www.supremelaw.org/cc/hill/tully/subpoena.completion.group/usps.tracking.2013-01-08.htm
http://www.supremelaw.org/cc/hill/tully/subpoena.completion.group/usps.tracking.2013-01-16.htm
http://www.supremelaw.org/cc/hill/tully/Sups-2%201-BT%201-LLC%20-%20MFP-Hill%20-%20MA-Mgr-Tully.pdf

http://www.supremelaw.org/cc/hill/vogel/letter.2015-04-08/page01.gif
http://www.supremelaw.org/cc/hill/vogel/letter.2015-04-15/page01.gif
http://www.supremelaw.org/cc/hill/vogel/letter.2015-09-30/affidavit.gif
http://www.supremelaw.org/cc/hill/vogel/letter.2015-09-30/affidavit.refused.gif
http://www.supremelaw.org/cc/hill/vogel/letter.2015-09-30/page01.gif
http://www.supremelaw.org/cc/hill/vogel/letter.2015-09-30/page02.gif
http://www.supremelaw.org/cc/hill/vogel/letter.2015-09-30/page03.gif
http://www.supremelaw.org/cc/hill/vogel/letter.2015-09-30/page04.gif
http://www.supremelaw.org/cc/hill/vogel/letter.2015-09-30/page04.landscape.gif
http://www.supremelaw.org/cc/hill/vogel/letter.2015-10-28/page01.gif
http://www.supremelaw.org/cc/hill/vogel/letter.2015-12-18/page01.gif
http://www.supremelaw.org/cc/hill/vogel/letter.2015-12-18/page02.gif
http://www.supremelaw.org/cc/hill/vogel/letter.2016-08-10/page01.gif
http://www.supremelaw.org/cc/hill/vogel/letter.2016-08-10/page02.gif
http://www.supremelaw.org/cc/hill/vogel/letter.2016-08-10/page03.gif
http://www.supremelaw.org/cc/hill/vogel/letter.2016-08-10/page04.gif
http://www.supremelaw.org/cc/hill/vogel/letter.2016-08-10/page05.gif
http://www.supremelaw.org/cc/hill/vogel/letter.2016-08-10/page06.gif
http://www.supremelaw.org/cc/hill/vogel/pleading.07/page01.gif
http://www.supremelaw.org/cc/hill/vogel/pleading.07/PAMPleading#7.pdf
http://www.supremelaw.org/cc/hill/vogel/contact.address.txt
http://www.supremelaw.org/cc/hill/vogel/foia.appeal.doc
http://www.supremelaw.org/cc/hill/vogel/foia.appeal.htm
http://www.supremelaw.org/cc/hill/vogel/mailing.address.eousa.txt
http://www.supremelaw.org/cc/hill/vogel/mailing.addresses.txt
http://www.supremelaw.org/cc/hill/vogel/state.bar.record.htm
http://www.supremelaw.org/cc/hill/vogel/USAO.Org.Chart.pdf

http://www.supremelaw.org/cc/hill/DOJ.FOIA.Reference.Guide.excerpt.doc

http://www.supremelaw.org/cc/hill/Hill%20-%20IRS%20Update%20for%20Clients%2010-11-12.doc

http://www.supremelaw.org/cc/hill/org.law.referral.template.doc

http://www.supremelaw.org/cc/hill/Please.explain.2013-01-24.txt

http://www.supremelaw.org/cc/hill/Sedona%20Subpoena%20Responses%20Shipping%20Info%201-16-13.doc

http://www.supremelaw.org/cc/hill/tort.claim.summary.doc
http://www.supremelaw.org/cc/hill/tort.claim.summary.htm
http://www.supremelaw.org/cc/hill/tort.claim.summary.html
http://www.supremelaw.org/cc/hill/tort.claim.summary.pdf

http://www.supremelaw.org/cc/hill/vcc.list.doc
http://www.supremelaw.org/cc/hill/vcc.list.htm
http://www.supremelaw.org/cc/hill/vcc.list.html
http://www.supremelaw.org/cc/hill/vcc.matrix.2.doc
http://www.supremelaw.org/cc/hill/vcc.matrix.doc
http://www.supremelaw.org/cc/hill/vcc.matrix.htm
http://www.supremelaw.org/cc/hill/vcc.matrix.html

http://www.supremelaw.org/cc/hill/WY%20Grand%20Jury%20Letter%20-%20Kathy%2010-2-12.pdf
http://www.supremelaw.org/cc/hill/WY%20Grand%20Jury%20Letter%20-%20Mandy%209-28-12.pdf